Form preview

Get the free Indemnification of Surety by Subcontractor on Contractor's Bond template

Get Form
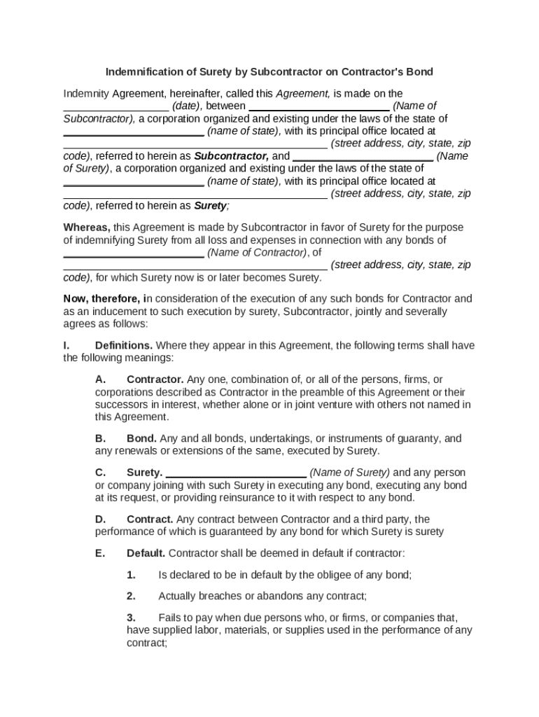
An indemnity agreement is where one party to an agreement or contract agrees to pay the costs and liabilities associated with a certain event.
We are not affiliated with any brand or entity on this form
Illustration
Fill out
Complete the form online in a simple drag-and-drop editor.
Illustration
eSign
Add your legally binding signature or send the form for signing.
Illustration
Share
Share the form via a link, letting anyone fill it out from any device.
Illustration
Export
Download, print, email, or move the form to your cloud storage.

Why choose pdfFiller for your legal forms?

GDPR
AICPA SOC 2
PCI
HIPAA
CCPA
FDA

All-in-one solution

pdfFiller offers a PDF editor, eSignatures, file sharing, collaboration tools, and secure storage—all in one place.

Easy to use

pdfFiller is simple, cloud-based, has a mobile app, and requires no downloads or a steep learning curve.

Secure and compliant

With encryption, user authentication, and certifications like HIPAA, SOC 2 Type II, and PCI DSS, pdfFiller keeps sensitive legal forms secure.
Form preview

What is indemnification of surety by

Indemnification of surety by is a legal agreement that protects the surety from financial loss due to the principal's default or failure to perform contractual obligations.

pdfFiller scores top ratings on review platforms

Users Most Likely To Recommend - Summer 2025
Grid Leader in Small-Business - Summer 2025
High Performer - Summer 2025
Regional Leader - Summer 2025
EXCELLENT PROGRAM. MADE FILLING PDF'S EASY.
KARLA
Saves time when issuing a W-9 to have the form available for emailing.
Sharon W M
Easy to use. Once a form is completed it is easy to same, print, open up again and modify.
Ken
excellent forms and precise document files for easy access
Joe
not a computer savvy person but was able to follow the instructions
Cindy C
4/5 solid... I was pretty much able to do almost everything I needed
Anonymous Customer
Show more Show less
Fill fillable indemnification of surety by form: Try Risk Free
Rate free indemnification of surety by form
4.3
satisfied
42 votes

Who needs indemnification of surety by?

Explore how professionals across industries use pdfFiller.
Picture
Indemnification of surety by is needed by:
  • Contractors who need financial backing for projects.
  • Property owners requiring bonding for construction work.
  • Businesses seeking to protect against default on contracts.
  • Sureties looking for legal remedies and compensations.

How to fill out the indemnification of surety by

  1. 1.
    Access the pdfFiller platform by logging into your account or creating a new one.
  2. 2.
    Locate the 'Indemnification of Surety' form in the template section or upload your own if needed.
  3. 3.
    Begin filling out the form by entering the necessary information such as the name of the principal, surety, and indemnitor in the designated fields.
  4. 4.
    Provide a detailed description of the obligations that the surety is ensuring, ensuring clarity and accuracy.
  5. 5.
    Include any relevant dates, contract numbers, or project details to provide context for the indemnification agreement.
  6. 6.
    Review the entire form for completeness, checking that all fields are filled out and that the information provided is accurate.
  7. 7.
    Use the 'Save' or 'Submit' options to store a copy of the completed form; you may also opt to print or share it directly from the platform.
Regular content decoration
If you believe that this page should be taken down, please follow our DMCA take down process here .
This form may include fields for payment information. Data entered in these fields is not covered by PCI DSS compliance.