Form preview

Get the free IGNOU Assignment Submission Form

Get Form
We are not affiliated with any brand or entity on this form
Illustration
Fill out
Complete the form online in a simple drag-and-drop editor.
Illustration
eSign
Add your legally binding signature or send the form for signing.
Illustration
Share
Share the form via a link, letting anyone fill it out from any device.
Illustration
Export
Download, print, email, or move the form to your cloud storage.

Why pdfFiller is the best tool for your documents and forms

GDPR
AICPA SOC 2
PCI
HIPAA
CCPA
FDA

End-to-end document management

From editing and signing to collaboration and tracking, pdfFiller has everything you need to get your documents done quickly and efficiently.

Accessible from anywhere

pdfFiller is fully cloud-based. This means you can edit, sign, and share documents from anywhere using your computer, smartphone, or tablet.

Secure and compliant

pdfFiller lets you securely manage documents following global laws like ESIGN, CCPA, and GDPR. It's also HIPAA and SOC 2 compliant.
Form preview

What is ignou assignment submission form

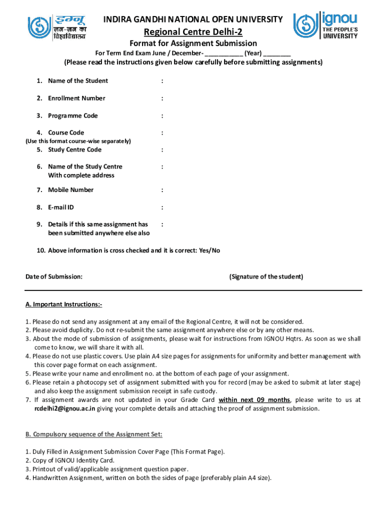
The IGNOU Assignment Submission Form is a document used by students enrolled in IGNOU programs to submit their assignments for evaluation.

pdfFiller scores top ratings on review platforms

Users Most Likely To Recommend - Summer 2025
Grid Leader in Small-Business - Summer 2025
High Performer - Summer 2025
Regional Leader - Summer 2025
Show more Show less
Fill fillable ignou assignment submission form: Try Risk Free
Rate free ignou assignment submission form
4.6
satisfied
49 votes

Who needs ignou assignment submission form?

Explore how professionals across industries use pdfFiller.
Picture
Ignou assignment submission form is needed by:
  • IGNOU students completing their courses.
  • Distance learning students who require assignment submission.
  • Academic counselors supporting students with assignments.
  • Educational institutions managing IGNOU programs.
  • Students seeking proper evaluation of their course work.

Comprehensive Guide to ignou assignment submission form

What is the IGNOU Assignment Submission Form?

The IGNOU Assignment Submission Form is a crucial document designed specifically for students enrolled at the Indira Gandhi National Open University (IGNOU). Its primary purpose is to facilitate the official submission of student assignments, ensuring that submissions are organized and formalized. For students, this form serves as a vital component of their academic journey, enabling them to maintain a record of submissions and deadlines. The form plays an integral role in the academic process, as it is directly linked to assignment evaluation and grading.

Benefits of Using the IGNOU Assignment Submission Form

Using the IGNOU Assignment Submission Form offers multiple advantages for students. Firstly, it enhances the efficiency of assignment submissions, allowing for online submission capabilities that streamline the process. The form's ease of use provides students with a straightforward interface to complete assignments without unnecessary complexity. Additionally, utilizing this form can save time, providing access to secure submission avenues that protect students' work and minimize the risk of loss.

Key Features of the IGNOU Assignment Submission Form

Among the notable features of the IGNOU Assignment Submission Form are its online accessibility and fillable fields that simplify the completion process. Users can expect an enhanced form-filling experience thanks to tools like pdfFiller, which allows for editing, saving, and sharing of the form efficiently. Furthermore, the form is designed with user-friendly navigation to ensure that students can easily locate and fill out the required information.

Who Needs the IGNOU Assignment Submission Form?

The primary users of the IGNOU Assignment Submission Form are current students enrolled in various programs offered by IGNOU. The form is required in specific scenarios, such as when students submit assignments for evaluation. To effectively use the form, students should be aware of any prerequisites, such as enrollment verification and understanding submission deadlines to ensure timely submission.

How to Fill Out the IGNOU Assignment Submission Form Online (Step-by-Step)

Filling out the IGNOU Assignment Submission Form online involves a straightforward process. Follow these steps:
  • Prepare necessary information, including personal details like your name and roll number.
  • Access the form through the designated online portal.
  • Enter all required fields accurately, such as assignment details and submission date.
  • Review the form to ensure all information is complete and correct.
  • Submit the form electronically and save a confirmation receipt for your records.

Common Errors and How to Avoid Them with the IGNOU Assignment Submission Form

Students often encounter several common errors when completing the IGNOU Assignment Submission Form. These mistakes can include missing information or incorrectly filled fields. To avoid such issues, it is essential to perform thorough checks before final submission. Following best practices, such as double-checking each section for accuracy and ensuring all necessary documents are attached, can greatly enhance the likelihood of a successful submission.

Submission Methods and Delivery for the IGNOU Assignment Submission Form

There are various methods available for submitting the completed IGNOU Assignment Submission Form. Students can opt for digital submission via the university's online platform or choose alternative delivery options such as postal services. After submission, students can expect confirmation of their submission and may also have tracking capabilities to monitor the status of their assignment.

What Happens After You Submit the IGNOU Assignment Submission Form?

Once the IGNOU Assignment Submission Form is submitted, students can anticipate a specific post-submission process. They may check the status of their submissions through the official portal or contact academic officials for follow-up inquiries. The processing time for assignments can vary, and students should remain attentive for feedback as it is essential for their academic performance.

Security and Privacy of the IGNOU Assignment Submission Form

Ensuring the security and privacy of the IGNOU Assignment Submission Form is a priority, especially when using platforms like pdfFiller. With advanced measures in place, submissions are safeguarded through features like 256-bit encryption and GDPR compliance. Protecting sensitive information is paramount for maintaining academic integrity and trust, allowing students to submit their assignments without concerns over data breaches.

Maximize Your Experience with the IGNOU Assignment Submission Form Using pdfFiller

To enhance the overall experience of using the IGNOU Assignment Submission Form, students are encouraged to leverage pdfFiller's capabilities. This platform provides easy access to essential tools for PDF editing, eSigning, and sharing. User testimonials and success stories highlight how utilizing pdfFiller can improve submission efficiency and contribute to a smoother form completion experience.
Last updated on Mar 31, 2026

How to fill out the ignou assignment submission form

  1. 1.
    To access the IGNOU Assignment Submission Form, visit pdfFiller and log in to your account. If you do not have an account, create one from the home page.
  2. 2.
    Once logged in, use the search bar to type 'IGNOU Assignment Submission Form' and select it from the results to open the form.
  3. 3.
    Before filling in the form, collect necessary information like your student ID, course details, and assignment specifics, ensuring you have all the required documents at hand.
  4. 4.
    With the form open, navigate through the fields by clicking on each section to enter your information. Use pdfFiller's text tool to add text where required, ensuring clarity and accuracy.
  5. 5.
    Pay close attention to any mandatory fields marked with an asterisk. Ensure all information is entered correctly, as inaccuracies may delay processing.
  6. 6.
    Once you have filled out all sections of the form, review for completeness. Use the preview feature to ensure the presentation is as intended and that all details are correct.
  7. 7.
    After reviewing, you can save your progress or finalize the form. To save, select the 'Save' option; to submit directly through pdfFiller, look for the 'Submit' button at the top.
  8. 8.
    If you prefer to download the completed form for personal records or submission elsewhere, click on the 'Download' button to save it in your desired format.
Regular content decoration

FAQs

If you can't find what you're looking for, please contact us anytime!
All students enrolled in any program under the Indira Gandhi National Open University (IGNOU) are eligible to use this form for assignment submissions.
Deadlines for assignment submissions vary by course. It's crucial to check the specific deadlines announced by IGNOU or consult your course material for this information.
You can submit the completed IGNOU Assignment Submission Form directly through pdfFiller by clicking the 'Submit' button, or download it and submit it to your tutor manually, following your course's submission guidelines.
Typically, you may be required to attach a copy of your identity proof and completed assignments. Check specific course requirements for additional documentation.
Common mistakes include missing mandatory fields, incorrect personal information, and submission after the deadline. Always double-check all entries before finalizing.
Processing times for assignment evaluations can vary. Generally, you can expect feedback within a few weeks, but it's best to check with your specific program for precise timelines.
There is typically no direct fee for submitting assignments through the IGNOU Assignment Submission Form. However, check with IGNOU for any course-specific fees.
If you believe that this page should be taken down, please follow our DMCA take down process here .
This form may include fields for payment information. Data entered in these fields is not covered by PCI DSS compliance.