
Get the free Release of Liability for Use of CAD Drawings - des wa
Show details
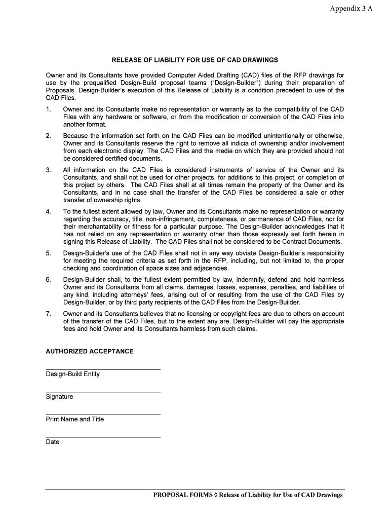
Appendix 3 A RELEASE OF LIABILITY FOR USE OF CAD DRAWINGS Owner and its Consultants have provided Computer Aided Drafting (CAD) files of the RFP drawings for use by the prequalified DesignBuild proposal
We are not affiliated with any brand or entity on this form
Get, Create, Make and Sign release of liability for

Edit your release of liability for form online
Type text, complete fillable fields, insert images, highlight or blackout data for discretion, add comments, and more.

Add your legally-binding signature
Draw or type your signature, upload a signature image, or capture it with your digital camera.

Share your form instantly
Email, fax, or share your release of liability for form via URL. You can also download, print, or export forms to your preferred cloud storage service.
Editing release of liability for online
To use the professional PDF editor, follow these steps:
1
Create an account. Begin by choosing Start Free Trial and, if you are a new user, establish a profile.
2
Prepare a file. Use the Add New button to start a new project. Then, using your device, upload your file to the system by importing it from internal mail, the cloud, or adding its URL.
3
Edit release of liability for. Add and replace text, insert new objects, rearrange pages, add watermarks and page numbers, and more. Click Done when you are finished editing and go to the Documents tab to merge, split, lock or unlock the file.
4
Save your file. Select it from your list of records. Then, move your cursor to the right toolbar and choose one of the exporting options. You can save it in multiple formats, download it as a PDF, send it by email, or store it in the cloud, among other things.
pdfFiller makes working with documents easier than you could ever imagine. Try it for yourself by creating an account!
Uncompromising security for your PDF editing and eSignature needs
Your private information is safe with pdfFiller. We employ end-to-end encryption, secure cloud storage, and advanced access control to protect your documents and maintain regulatory compliance.
How to fill out release of liability for

How to fill out release of liability form:
Start by entering your personal information:
01
Provide your full name, address, and contact information.
02
Include your date of birth and any other relevant identification details.
Specify the details of the party being released:
01
Write down the name and contact information of the person or organization being released from liability.
02
Provide any additional identifying details, such as their address or business registration number.
Describe the nature of the release:
01
Clearly state the reason for the release of liability, including any specific incidents or activities involved.
02
Be specific about the potential risks or hazards associated with the particular situation.
State the extent of the release:
01
Clearly state that you are releasing the other party from any claims, damages, or injuries that may arise from the situation specified.
02
Specify the time period during which the release is applicable, if necessary.
Include any additional terms or conditions:
01
If there are any specific conditions or requirements for the release to take effect, mention them clearly.
02
Specify any limitations or exclusions to the release, if applicable.
Sign and date the form:
01
Ensure that you sign the release of liability form in the presence of a witness, if required by law.
02
Date the form to indicate the specific date on which the release is being granted.
Who needs release of liability form?
Individuals participating in potentially risky activities:
01
For example, if you are joining a sports event, renting equipment, or engaging in adventure sports, a release of liability form may be required.
02
This helps protect the organizers or equipment providers from any claims or lawsuits arising from accidents or injuries.
Businesses and organizations:
01
Companies providing services or hosting events that involve potential risks may require participants or customers to sign a release of liability.
02
This ensures they are not held responsible for any damages, injuries, or legal issues that might occur during the event or as a result of their services.
Property owners:
01
Property owners who allow others to use their premises, facilities, or equipment may ask individuals to sign a release of liability.
02
This protects the owner from being held liable for accidents, injuries, or property damage that may occur on their premises.
Employers:
01
Some employers may require employees to sign a release of liability, particularly in professions involving physical risks or hazardous conditions.
02
This protects the employer from being sued by employees who may be injured or face negative consequences while performing their job duties.
Remember, it is always advisable to consult with a legal professional to ensure that the release of liability form complies with local laws and regulations.
Fill
form
: Try Risk Free
For pdfFiller’s FAQs
Below is a list of the most common customer questions. If you can’t find an answer to your question, please don’t hesitate to reach out to us.
How can I get release of liability for?
It’s easy with pdfFiller, a comprehensive online solution for professional document management. Access our extensive library of online forms (over 25M fillable forms are available) and locate the release of liability for in a matter of seconds. Open it right away and start customizing it using advanced editing features.
Can I create an electronic signature for signing my release of liability for in Gmail?
You can easily create your eSignature with pdfFiller and then eSign your release of liability for directly from your inbox with the help of pdfFiller’s add-on for Gmail. Please note that you must register for an account in order to save your signatures and signed documents.
Can I edit release of liability for on an Android device?
You can make any changes to PDF files, like release of liability for, with the help of the pdfFiller Android app. Edit, sign, and send documents right from your phone or tablet. You can use the app to make document management easier wherever you are.
What is release of liability for?
The release of liability is used to inform the relevant authorities that you are no longer responsible for a vehicle you have sold or transferred.
Who is required to file release of liability for?
The seller or transferor of a vehicle is required to file a release of liability.
How to fill out release of liability for?
You can fill out a release of liability form online or by mail, providing information about the vehicle and the new owner.
What is the purpose of release of liability for?
The purpose of release of liability is to protect the seller from any further legal or financial responsibility for the vehicle after it has been sold or transferred.
What information must be reported on release of liability for?
The release of liability form typically requires information such as the vehicle identification number (VIN), buyer's information, and date of sale.
Fill out your release of liability for online with pdfFiller!
pdfFiller is an end-to-end solution for managing, creating, and editing documents and forms in the cloud. Save time and hassle by preparing your tax forms online.

Release Of Liability For is not the form you're looking for?Search for another form here.
Relevant keywords
Related Forms
If you believe that this page should be taken down, please follow our DMCA take down process
here
.
This form may include fields for payment information. Data entered in these fields is not covered by PCI DSS compliance.