Get the free Kinesiology Supplemental Application Checklist - csulb
Show details
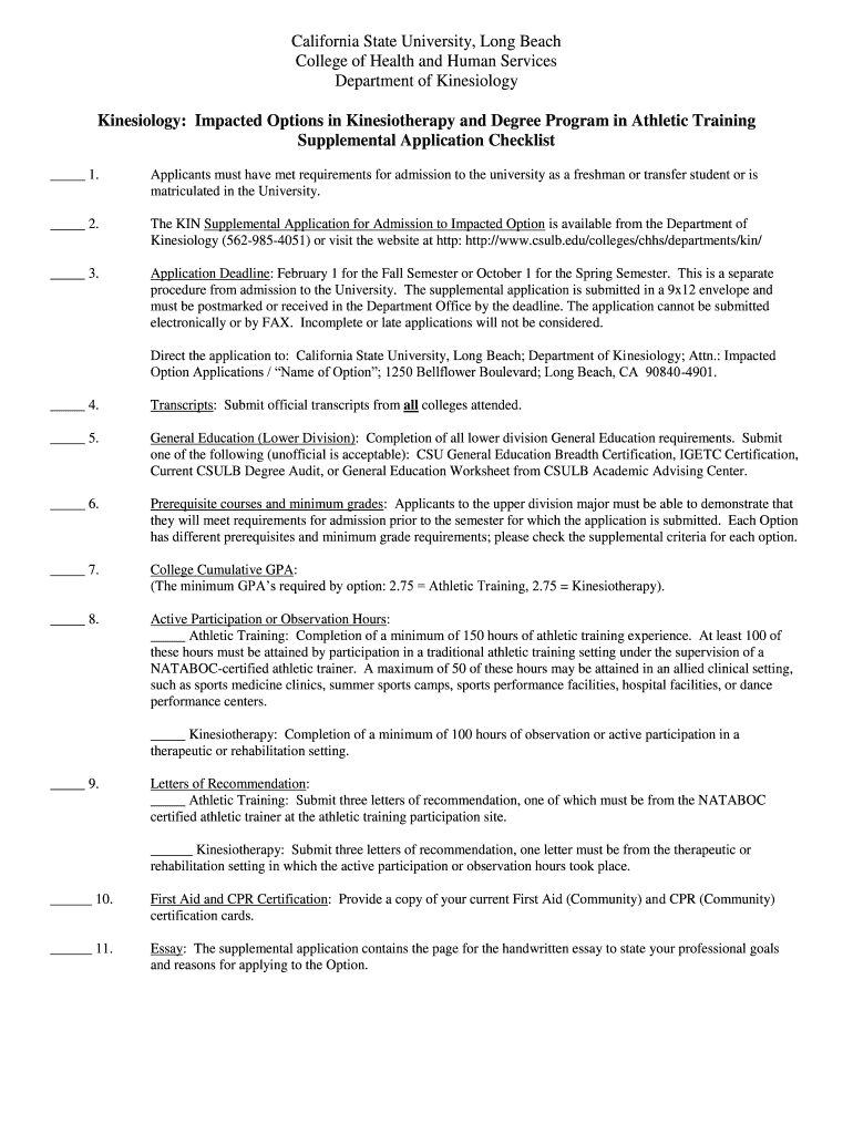
A checklist outlining the requirements and steps for applying to the Kinesiology impacted options at California State University, Long Beach, with specific instructions for submission and prerequisite
We are not affiliated with any brand or entity on this form
Get, Create, Make and Sign kinesiology supplemental application checklist
Edit your kinesiology supplemental application checklist form online
Type text, complete fillable fields, insert images, highlight or blackout data for discretion, add comments, and more.
Add your legally-binding signature
Draw or type your signature, upload a signature image, or capture it with your digital camera.
Share your form instantly
Email, fax, or share your kinesiology supplemental application checklist form via URL. You can also download, print, or export forms to your preferred cloud storage service.
How to edit kinesiology supplemental application checklist online
To use our professional PDF editor, follow these steps:
1
Create an account. Begin by choosing Start Free Trial and, if you are a new user, establish a profile.
2
Prepare a file. Use the Add New button to start a new project. Then, using your device, upload your file to the system by importing it from internal mail, the cloud, or adding its URL.
3
Edit kinesiology supplemental application checklist. Rearrange and rotate pages, add new and changed texts, add new objects, and use other useful tools. When you're done, click Done. You can use the Documents tab to merge, split, lock, or unlock your files.
4
Get your file. When you find your file in the docs list, click on its name and choose how you want to save it. To get the PDF, you can save it, send an email with it, or move it to the cloud.
pdfFiller makes working with documents easier than you could ever imagine. Try it for yourself by creating an account!
Uncompromising security for your PDF editing and eSignature needs
Your private information is safe with pdfFiller. We employ end-to-end encryption, secure cloud storage, and advanced access control to protect your documents and maintain regulatory compliance.
How to fill out kinesiology supplemental application checklist
How to fill out Kinesiology Supplemental Application Checklist
01
Obtain the Kinesiology Supplemental Application Checklist from the official university website.
02
Review all required documents and materials listed on the checklist.
03
Gather transcripts from all post-secondary institutions attended.
04
Prepare a personal statement that addresses your interest in kinesiology.
05
Collect letters of recommendation from qualified individuals.
06
Complete any additional requirements specific to the kinesiology program.
07
Double-check that all sections of the checklist are filled in correctly.
08
Submit the completed checklist along with your application by the deadline.
Who needs Kinesiology Supplemental Application Checklist?
01
Prospective students applying to the Kinesiology program at the university.
Fill
form
: Try Risk Free
For pdfFiller’s FAQs
Below is a list of the most common customer questions. If you can’t find an answer to your question, please don’t hesitate to reach out to us.
What is Kinesiology Supplemental Application Checklist?
The Kinesiology Supplemental Application Checklist is a document or form that outlines the necessary components and documents required for applying to a kinesiology program.
Who is required to file Kinesiology Supplemental Application Checklist?
Prospective students who wish to apply for admission to a kinesiology program are required to file the Kinesiology Supplemental Application Checklist.
How to fill out Kinesiology Supplemental Application Checklist?
To fill out the Kinesiology Supplemental Application Checklist, applicants must complete all required sections, provide the necessary documentation, and ensure that all information is accurate prior to submission.
What is the purpose of Kinesiology Supplemental Application Checklist?
The purpose of the Kinesiology Supplemental Application Checklist is to ensure that applicants provide all required materials in a structured manner to streamline the admission process.
What information must be reported on Kinesiology Supplemental Application Checklist?
The Kinesiology Supplemental Application Checklist typically requires applicants to report personal information, academic history, relevant experience, and any supplemental documents such as letters of recommendation or personal statements.
Fill out your kinesiology supplemental application checklist online with pdfFiller!
pdfFiller is an end-to-end solution for managing, creating, and editing documents and forms in the cloud. Save time and hassle by preparing your tax forms online.
Kinesiology Supplemental Application Checklist is not the form you're looking for?Search for another form here.
Relevant keywords
Related Forms
If you believe that this page should be taken down, please follow our DMCA take down process
here
.
This form may include fields for payment information. Data entered in these fields is not covered by PCI DSS compliance.