Get the free Teaching Load Policy
Show details
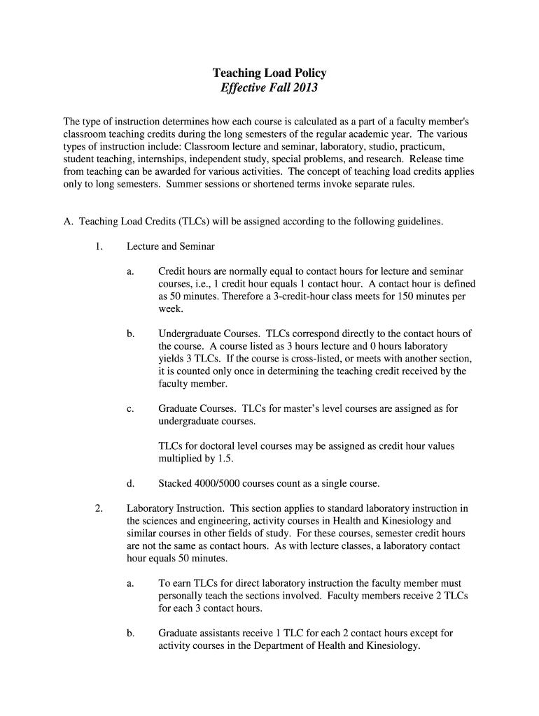
This policy outlines the guidelines for assigning teaching load credits (TLCs) for faculty members based on the type of instruction and various teaching activities during the academic year.
We are not affiliated with any brand or entity on this form
Get, Create, Make and Sign teaching load policy
Edit your teaching load policy form online
Type text, complete fillable fields, insert images, highlight or blackout data for discretion, add comments, and more.
Add your legally-binding signature
Draw or type your signature, upload a signature image, or capture it with your digital camera.
Share your form instantly
Email, fax, or share your teaching load policy form via URL. You can also download, print, or export forms to your preferred cloud storage service.
Editing teaching load policy online
To use our professional PDF editor, follow these steps:
1
Register the account. Begin by clicking Start Free Trial and create a profile if you are a new user.
2
Prepare a file. Use the Add New button to start a new project. Then, using your device, upload your file to the system by importing it from internal mail, the cloud, or adding its URL.
3
Edit teaching load policy. Rearrange and rotate pages, insert new and alter existing texts, add new objects, and take advantage of other helpful tools. Click Done to apply changes and return to your Dashboard. Go to the Documents tab to access merging, splitting, locking, or unlocking functions.
4
Save your file. Select it from your records list. Then, click the right toolbar and select one of the various exporting options: save in numerous formats, download as PDF, email, or cloud.
Dealing with documents is always simple with pdfFiller.
Uncompromising security for your PDF editing and eSignature needs
Your private information is safe with pdfFiller. We employ end-to-end encryption, secure cloud storage, and advanced access control to protect your documents and maintain regulatory compliance.
How to fill out teaching load policy
How to fill out Teaching Load Policy
01
Review the institution's Teaching Load Policy document to understand its requirements.
02
Gather necessary information about your courses, including course titles, enrollment numbers, and instructional hours.
03
Fill out the designated sections of the Teaching Load Policy form, providing accurate and complete information for each course.
04
Include any additional responsibilities such as advising, research, or service that may affect your teaching load.
05
Double-check your entries for accuracy to avoid discrepancies.
06
Submit the completed Teaching Load Policy form to the appropriate department head or administrative office by the specified deadline.
Who needs Teaching Load Policy?
01
Faculty members who are involved in teaching at the institution.
02
Department heads and administrative staff who manage teaching assignments and workloads.
03
Academic deans and program directors who need to evaluate and approve teaching loads.
Fill
form
: Try Risk Free
People Also Ask about
What is considered a full teaching load?
For faculty, a full teaching load is two three-semester-hour courses per year or equivalent. For faculty administrators (associate deans and department heads), a full load is one three- semester-hour course per year or equivalent. Equivalent may be addressed by co-teaching.
What is the standard teaching load?
The standard teaching load per semester for full-time, 9-month, tenure-track, or tenured undergraduate faculty is approximately 12 or 15 credit hours or equivalent; a total of 27 credit hours, or its equivalent, should be taught in one academic year (defined as fall and spring semesters).
What is a 3 2 teaching load?
refers to how many courses you teach over the course of a year, broken down by the number of courses each semester. So 4/4 means you teach 4 courses Fall and Spring semesters, 3/2 means you teach 3 courses one semester and 2 courses the other semester, etc.
What is a 4 4 teaching load?
The teaching load refers to the extent of the teaching obligations of professors or research assistants. The unit of measurement for the teaching load is the lecture hour (LVS). One LVS comprises one lesson per week in a semester. One LVS corresponds to a teaching time of at least 45 minutes.
What is considered a full load of classes?
A college student is considered to be enrolled on a full-time basis for student financial aid purposes if they are enrolled for at least 12 credits a semester. Since a class typically requires at least three credits, 12 credits will require four classes per semester.
What is equivalent to 1 teaching load?
Six actual teaching loads a day is equivalent to 360 minutes of actual teaching a day. Note that 1 hour = 1 load; but NOT necessarily 1 subject = 1 load.
What is considered full-time teaching?
Full-Time Teacher means a teacher who is employed for a full week each week of the school year, in any one school.
For pdfFiller’s FAQs
Below is a list of the most common customer questions. If you can’t find an answer to your question, please don’t hesitate to reach out to us.
What is Teaching Load Policy?
Teaching Load Policy is a framework that outlines the distribution of teaching responsibilities and workloads among faculty members within an educational institution.
Who is required to file Teaching Load Policy?
Typically, all faculty members, including full-time and part-time instructors, are required to file the Teaching Load Policy.
How to fill out Teaching Load Policy?
To fill out the Teaching Load Policy, faculty members must provide details about their course assignments, student enrollment numbers, and any additional responsibilities such as advising or committee service.
What is the purpose of Teaching Load Policy?
The purpose of the Teaching Load Policy is to ensure equitable distribution of teaching responsibilities, promote transparency, and facilitate effective academic planning within the institution.
What information must be reported on Teaching Load Policy?
The information that must be reported includes course titles, credit hours, enrollment figures, and any non-teaching duties undertaken by the faculty member.
Fill out your teaching load policy online with pdfFiller!
pdfFiller is an end-to-end solution for managing, creating, and editing documents and forms in the cloud. Save time and hassle by preparing your tax forms online.
Teaching Load Policy is not the form you're looking for?Search for another form here.
Relevant keywords
Related Forms
If you believe that this page should be taken down, please follow our DMCA take down process
here
.
This form may include fields for payment information. Data entered in these fields is not covered by PCI DSS compliance.