
Get the free Assessment of Non-Academic Outcomes - unt
Show details
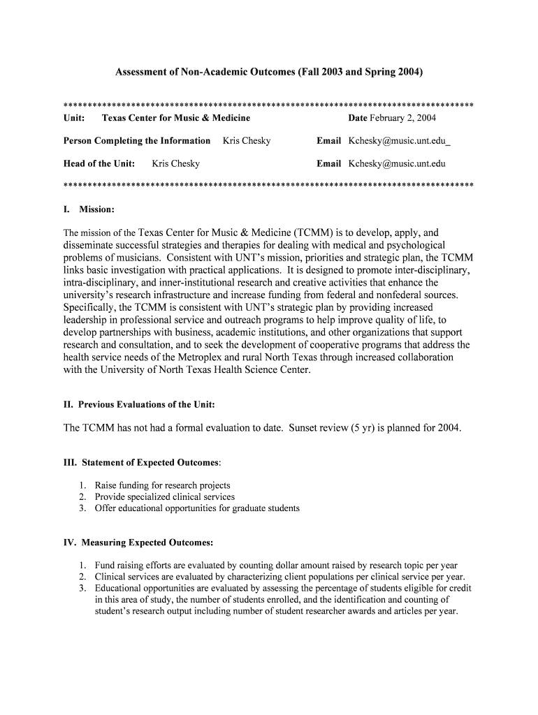
This document outlines the mission, expected outcomes, evaluation methods, and changes implemented by the Texas Center for Music & Medicine for the assessment of non-academic outcomes.
We are not affiliated with any brand or entity on this form
Get, Create, Make and Sign assessment of non-academic outcomes

Edit your assessment of non-academic outcomes form online
Type text, complete fillable fields, insert images, highlight or blackout data for discretion, add comments, and more.

Add your legally-binding signature
Draw or type your signature, upload a signature image, or capture it with your digital camera.

Share your form instantly
Email, fax, or share your assessment of non-academic outcomes form via URL. You can also download, print, or export forms to your preferred cloud storage service.
Editing assessment of non-academic outcomes online
Follow the guidelines below to take advantage of the professional PDF editor:
1
Check your account. In case you're new, it's time to start your free trial.
2
Prepare a file. Use the Add New button to start a new project. Then, using your device, upload your file to the system by importing it from internal mail, the cloud, or adding its URL.
3
Edit assessment of non-academic outcomes. Replace text, adding objects, rearranging pages, and more. Then select the Documents tab to combine, divide, lock or unlock the file.
4
Get your file. Select the name of your file in the docs list and choose your preferred exporting method. You can download it as a PDF, save it in another format, send it by email, or transfer it to the cloud.
pdfFiller makes working with documents easier than you could ever imagine. Register for an account and see for yourself!
Uncompromising security for your PDF editing and eSignature needs
Your private information is safe with pdfFiller. We employ end-to-end encryption, secure cloud storage, and advanced access control to protect your documents and maintain regulatory compliance.
How to fill out assessment of non-academic outcomes

How to fill out Assessment of Non-Academic Outcomes
01
Start with personal identification details such as name, student ID, and date.
02
Identify and list the specific non-academic outcomes you are being assessed on.
03
Provide evidence or examples that demonstrate your achievements related to each outcome.
04
Reflect on your experiences and provide a brief narrative for each outcome.
05
Use clear and concise language, ensuring that your statements are specific and measurable.
06
Review and edit your responses for clarity and completeness.
07
Submit the assessment as per the provided guidelines or deadline.
Who needs Assessment of Non-Academic Outcomes?
01
Students participating in programs that emphasize personal development and non-academic skills.
02
Educational institutions aiming to evaluate the overall development of their students.
03
Employers looking for candidates with well-rounded skills beyond academic achievements.
Fill
form
: Try Risk Free
People Also Ask about
What are non-academic outcomes?
Non-academic outcomes are similar to key performance indicators (KPIs) in that they help you measure the most important work being done at your institution.
What are examples of non-academic goals?
Here are five back-to-school goals you should add to your list that have absolutely nothing to do with school! Make a new friend outside your "group." Finish a book that wasn't assigned to you. Catch some serious zzzz's. Learn something new outside the classroom. Eat breakfast.
What is an example of academic writing?
The simplest type of academic writing is descriptive. Its purpose is to provide facts or information. An example would be a summary of an article or a report of the results of an experiment. The kinds of instructions for a purely descriptive assignment include: 'identify', 'report', 'record', 'summarise' and 'define'.
What is an example of non-academic writing?
The language used in nonacademic writing is not usually technical and is considered to be accessible to a wider audience. Examples of nonacademic writing include newspaper articles, blog posts, and creative writing, such as fiction and poetry.
What is an example of a non academic subject?
Non-Academic Subjects include physical education, music, art, and livelihood education.
Which is not an academic writing?
Non academic writing focuses on lay audience or the mass public. These types of articles are mostly personal, impressionistic, emotional, or subjective in nature. It includes magazine articles, personal or business letters, novels, websites, text messages, etc. are some examples of non academic writing.
What is the meaning of non-academic in English?
(ˌnɒnækəˈdɛmɪk ) adjective. not related to, involved in, or trained in academic disciplines.
For pdfFiller’s FAQs
Below is a list of the most common customer questions. If you can’t find an answer to your question, please don’t hesitate to reach out to us.
What is Assessment of Non-Academic Outcomes?
Assessment of Non-Academic Outcomes refers to the evaluation and measurement of students' skills and competencies that are not directly related to academic performance, such as social skills, leadership, and community engagement.
Who is required to file Assessment of Non-Academic Outcomes?
Institutions of higher education, such as universities and colleges, are typically required to file Assessment of Non-Academic Outcomes to demonstrate their effectiveness in promoting holistic student development.
How to fill out Assessment of Non-Academic Outcomes?
Filling out Assessment of Non-Academic Outcomes usually involves collecting data through surveys, interviews, or focus groups, analyzing the results, and documenting findings in a structured format as outlined by the reporting guidelines.
What is the purpose of Assessment of Non-Academic Outcomes?
The purpose of the Assessment of Non-Academic Outcomes is to gauge the impact of educational programs on students' personal growth, facilitate program improvement, and ensure that student services align with institutional goals.
What information must be reported on Assessment of Non-Academic Outcomes?
Information that must be reported may include specific non-academic skills assessed, methods of assessment used, demographic information of participants, results and outcomes, and action plans for program improvements based on the findings.
Fill out your assessment of non-academic outcomes online with pdfFiller!
pdfFiller is an end-to-end solution for managing, creating, and editing documents and forms in the cloud. Save time and hassle by preparing your tax forms online.

Assessment Of Non-Academic Outcomes is not the form you're looking for?Search for another form here.
Relevant keywords
Related Forms
If you believe that this page should be taken down, please follow our DMCA take down process
here
.
This form may include fields for payment information. Data entered in these fields is not covered by PCI DSS compliance.