Get the free Beneficiary's Representation Affidavit Reference is made to that ...
Show details
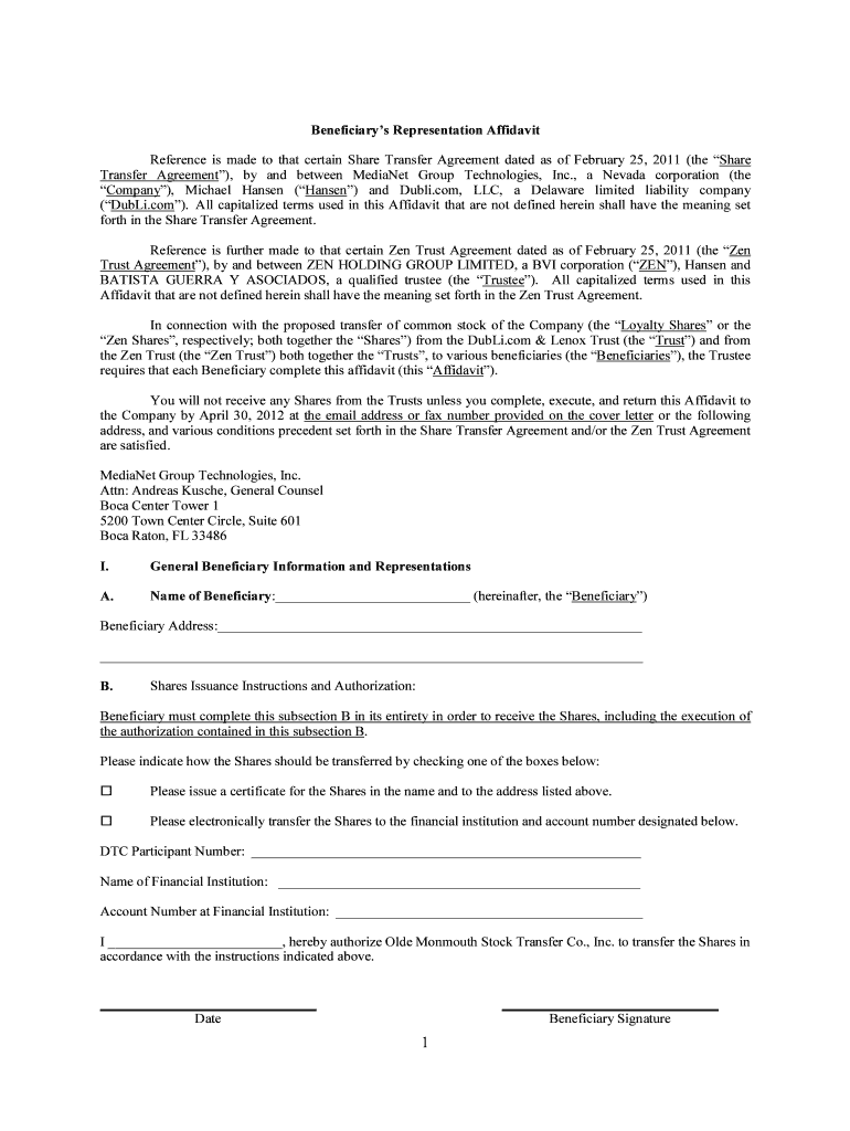
Beneficiaries Representation Affidavit
Reference is made to that certain Share Transfer Agreement dated as of February 25, 2011 (the Share
Transfer Agreement), by and between Median Group Technologies,
We are not affiliated with any brand or entity on this form
Get, Create, Make and Sign beneficiary39s representation affidavit reference
Edit your beneficiary39s representation affidavit reference form online
Type text, complete fillable fields, insert images, highlight or blackout data for discretion, add comments, and more.
Add your legally-binding signature
Draw or type your signature, upload a signature image, or capture it with your digital camera.
Share your form instantly
Email, fax, or share your beneficiary39s representation affidavit reference form via URL. You can also download, print, or export forms to your preferred cloud storage service.
How to edit beneficiary39s representation affidavit reference online
To use our professional PDF editor, follow these steps:
1
Log in. Click Start Free Trial and create a profile if necessary.
2
Prepare a file. Use the Add New button to start a new project. Then, using your device, upload your file to the system by importing it from internal mail, the cloud, or adding its URL.
3
Edit beneficiary39s representation affidavit reference. Add and replace text, insert new objects, rearrange pages, add watermarks and page numbers, and more. Click Done when you are finished editing and go to the Documents tab to merge, split, lock or unlock the file.
4
Save your file. Choose it from the list of records. Then, shift the pointer to the right toolbar and select one of the several exporting methods: save it in multiple formats, download it as a PDF, email it, or save it to the cloud.
Dealing with documents is always simple with pdfFiller. Try it right now
Uncompromising security for your PDF editing and eSignature needs
Your private information is safe with pdfFiller. We employ end-to-end encryption, secure cloud storage, and advanced access control to protect your documents and maintain regulatory compliance.
Fill
form
: Try Risk Free
For pdfFiller’s FAQs
Below is a list of the most common customer questions. If you can’t find an answer to your question, please don’t hesitate to reach out to us.
How can I manage my beneficiary39s representation affidavit reference directly from Gmail?
You may use pdfFiller's Gmail add-on to change, fill out, and eSign your beneficiary39s representation affidavit reference as well as other documents directly in your inbox by using the pdfFiller add-on for Gmail. pdfFiller for Gmail may be found on the Google Workspace Marketplace. Use the time you would have spent dealing with your papers and eSignatures for more vital tasks instead.
How do I complete beneficiary39s representation affidavit reference on an iOS device?
Make sure you get and install the pdfFiller iOS app. Next, open the app and log in or set up an account to use all of the solution's editing tools. If you want to open your beneficiary39s representation affidavit reference, you can upload it from your device or cloud storage, or you can type the document's URL into the box on the right. After you fill in all of the required fields in the document and eSign it, if that is required, you can save or share it with other people.
How do I fill out beneficiary39s representation affidavit reference on an Android device?
Use the pdfFiller mobile app to complete your beneficiary39s representation affidavit reference on an Android device. The application makes it possible to perform all needed document management manipulations, like adding, editing, and removing text, signing, annotating, and more. All you need is your smartphone and an internet connection.
What is beneficiary39s representation affidavit reference?
The beneficiary's representation affidavit reference is a legal document that validates the authority of an individual to act on behalf of a beneficiary in a legal matter.
Who is required to file beneficiary39s representation affidavit reference?
The beneficiary's representation affidavit reference is typically filed by an individual who has been appointed as a representative for a beneficiary, such as an executor or trustee of a will.
How to fill out beneficiary39s representation affidavit reference?
To fill out the beneficiary's representation affidavit reference, you will need to provide information about the beneficiary, the representative, and the legal matter at hand. This may include names, addresses, case numbers, and any relevant supporting documentation.
What is the purpose of beneficiary39s representation affidavit reference?
The purpose of the beneficiary's representation affidavit reference is to establish the legal authority of the representative and ensure that they have the necessary permissions to act on behalf of the beneficiary.
What information must be reported on beneficiary39s representation affidavit reference?
The beneficiary's representation affidavit reference typically includes information about the beneficiary, such as their name, date of birth, and contact information. It may also include details about the representative, the legal matter, and any supporting documentation.
Fill out your beneficiary39s representation affidavit reference online with pdfFiller!
pdfFiller is an end-to-end solution for managing, creating, and editing documents and forms in the cloud. Save time and hassle by preparing your tax forms online.
beneficiary39s Representation Affidavit Reference is not the form you're looking for?Search for another form here.
Relevant keywords
Related Forms
If you believe that this page should be taken down, please follow our DMCA take down process
here
.
This form may include fields for payment information. Data entered in these fields is not covered by PCI DSS compliance.