Get the free Mental Health Services Act (MHSA) Housing Program Semi-Annual Update - dhcs ca
Show details
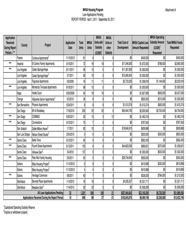
This document serves as a semi-annual update on the Mental Health Services Act Housing Program, detailing financial activities, approved and pending applications, and the progress made towards creating
We are not affiliated with any brand or entity on this form
Get, Create, Make and Sign mental health services act
Edit your mental health services act form online
Type text, complete fillable fields, insert images, highlight or blackout data for discretion, add comments, and more.
Add your legally-binding signature
Draw or type your signature, upload a signature image, or capture it with your digital camera.
Share your form instantly
Email, fax, or share your mental health services act form via URL. You can also download, print, or export forms to your preferred cloud storage service.
How to edit mental health services act online
To use the services of a skilled PDF editor, follow these steps below:
1
Log in. Click Start Free Trial and create a profile if necessary.
2
Simply add a document. Select Add New from your Dashboard and import a file into the system by uploading it from your device or importing it via the cloud, online, or internal mail. Then click Begin editing.
3
Edit mental health services act. Text may be added and replaced, new objects can be included, pages can be rearranged, watermarks and page numbers can be added, and so on. When you're done editing, click Done and then go to the Documents tab to combine, divide, lock, or unlock the file.
4
Save your file. Select it from your list of records. Then, move your cursor to the right toolbar and choose one of the exporting options. You can save it in multiple formats, download it as a PDF, send it by email, or store it in the cloud, among other things.
It's easier to work with documents with pdfFiller than you could have ever thought. You may try it out for yourself by signing up for an account.
Uncompromising security for your PDF editing and eSignature needs
Your private information is safe with pdfFiller. We employ end-to-end encryption, secure cloud storage, and advanced access control to protect your documents and maintain regulatory compliance.
How to fill out mental health services act
How to fill out Mental Health Services Act (MHSA) Housing Program Semi-Annual Update
01
Gather relevant information from the previous report.
02
Review the program's performance data for the past six months.
03
Fill out the demographic information accurately.
04
Provide detailed descriptions of housing activities and achievements.
05
Update financial information related to expenditures and budget.
06
Include any changes in the program or service delivery model.
07
Detail participant outcomes and success stories.
08
Review and revise the document for clarity and completeness.
09
Submit the completed update by the required deadline.
Who needs Mental Health Services Act (MHSA) Housing Program Semi-Annual Update?
01
Local government agencies responsible for mental health programs.
02
Mental health service providers involved in the MHSA Housing Program.
03
Stakeholders and community organizations focused on housing and mental health.
04
State oversight agencies monitoring the implementation of MHSA funding.
05
Individuals and groups advocating for mental health services and housing accessibility.
Fill
form
: Try Risk Free
For pdfFiller’s FAQs
Below is a list of the most common customer questions. If you can’t find an answer to your question, please don’t hesitate to reach out to us.
What is Mental Health Services Act (MHSA) Housing Program Semi-Annual Update?
The MHSA Housing Program Semi-Annual Update is a report that monitors the progress and outcomes of housing projects funded under the Mental Health Services Act, ensuring accountability and transparency.
Who is required to file Mental Health Services Act (MHSA) Housing Program Semi-Annual Update?
Entities that receive funding through the MHSA Housing Program, including county mental health departments and housing developers, are required to file the Semi-Annual Update.
How to fill out Mental Health Services Act (MHSA) Housing Program Semi-Annual Update?
To fill out the MHSA Housing Program Semi-Annual Update, organizations must collect relevant data on housing projects, complete the designated forms detailing program activities, and submit the update as per the guidelines provided by the overseeing agency.
What is the purpose of Mental Health Services Act (MHSA) Housing Program Semi-Annual Update?
The purpose of the MHSA Housing Program Semi-Annual Update is to evaluate the effectiveness of funded projects, ensuring they meet the needs of individuals with mental health conditions and to facilitate continuous improvement in service delivery.
What information must be reported on Mental Health Services Act (MHSA) Housing Program Semi-Annual Update?
Information that must be reported includes project status, financial expenditures, number of beneficiaries served, service effectiveness, and any barriers encountered during the reporting period.
Fill out your mental health services act online with pdfFiller!
pdfFiller is an end-to-end solution for managing, creating, and editing documents and forms in the cloud. Save time and hassle by preparing your tax forms online.
Mental Health Services Act is not the form you're looking for?Search for another form here.
Relevant keywords
Related Forms
If you believe that this page should be taken down, please follow our DMCA take down process
here
.
This form may include fields for payment information. Data entered in these fields is not covered by PCI DSS compliance.