Get the free Annual Performance Review for Exempt Positions - hsc
Show details
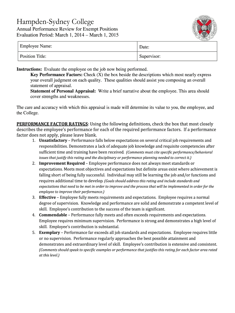
HampdenSydney College Annual Performance Review for Exempt Positions Evaluation Period: March 1, 2014, March 1, 2015, Employee Name: Date: Position Title: Supervisor: Instructions: Evaluate the employee
We are not affiliated with any brand or entity on this form
Get, Create, Make and Sign annual performance review for
Edit your annual performance review for form online
Type text, complete fillable fields, insert images, highlight or blackout data for discretion, add comments, and more.
Add your legally-binding signature
Draw or type your signature, upload a signature image, or capture it with your digital camera.
Share your form instantly
Email, fax, or share your annual performance review for form via URL. You can also download, print, or export forms to your preferred cloud storage service.
Editing annual performance review for online
Here are the steps you need to follow to get started with our professional PDF editor:
1
Create an account. Begin by choosing Start Free Trial and, if you are a new user, establish a profile.
2
Prepare a file. Use the Add New button to start a new project. Then, using your device, upload your file to the system by importing it from internal mail, the cloud, or adding its URL.
3
Edit annual performance review for. Add and replace text, insert new objects, rearrange pages, add watermarks and page numbers, and more. Click Done when you are finished editing and go to the Documents tab to merge, split, lock or unlock the file.
4
Get your file. Select the name of your file in the docs list and choose your preferred exporting method. You can download it as a PDF, save it in another format, send it by email, or transfer it to the cloud.
With pdfFiller, it's always easy to work with documents. Check it out!
Uncompromising security for your PDF editing and eSignature needs
Your private information is safe with pdfFiller. We employ end-to-end encryption, secure cloud storage, and advanced access control to protect your documents and maintain regulatory compliance.
How to fill out annual performance review for
How to fill out annual performance review for:
01
Start by reviewing your goals and objectives for the past year. Assess whether you have achieved them or not, and provide specific examples to support your evaluation.
02
Evaluate your strengths and weaknesses. Highlight your accomplishments and areas where you have excelled. Be honest about areas where improvement is needed and suggest steps to address them.
03
Assess your overall performance. Consider the feedback received from supervisors and colleagues throughout the year. Identify areas where you have consistently performed well and areas that may require additional attention.
04
Reflect on your professional development. Discuss any new skills or knowledge you have acquired and how they have contributed to your performance. Also, identify any training or development opportunities that may be beneficial for your growth.
05
Provide examples and evidence to support your claims. Use specific instances where you have demonstrated your skills and abilities. This will make your review more credible and impactful.
06
Set goals for the upcoming year. Establish clear and measurable objectives that align with your role and the organization's objectives. Ensure that your goals are challenging yet attainable.
07
Seek feedback and input from others. Don't hesitate to gather feedback from your supervisors, peers, and subordinates. This will show your commitment to improve and grow professionally.
08
Be constructive and open-minded. Acknowledge areas where you could have performed better and be receptive to suggestions for improvement. Remember that the review is a two-way communication process aimed at enhancing performance.
09
Summarize your overall performance and goals in a concise and clear manner. Use positive language to highlight your achievements and forward-thinking attitude. Conclude your review by expressing your commitment to continuous improvement.
Who needs annual performance review:
01
Employees: Annual performance reviews are typically conducted to evaluate an employee's performance over a specific period of time. It provides an opportunity for employees to reflect on their accomplishments, receive feedback, and set new goals for their professional development.
02
Employers: Annual performance reviews help employers assess the overall performance of their workforce and identify areas of strength and improvement. It assists in determining rewards, promotions, and career development opportunities for employees.
03
Human Resources: HR professionals play a vital role in facilitating and managing the annual performance review process. They ensure that reviews are conducted fairly and consistently, and they often provide training and guidelines to both employees and managers on how to effectively complete the reviews. Human Resources also uses performance reviews to gather data for talent management and succession planning purposes.
Fill
form
: Try Risk Free
For pdfFiller’s FAQs
Below is a list of the most common customer questions. If you can’t find an answer to your question, please don’t hesitate to reach out to us.
How do I modify my annual performance review for in Gmail?
In your inbox, you may use pdfFiller's add-on for Gmail to generate, modify, fill out, and eSign your annual performance review for and any other papers you receive, all without leaving the program. Install pdfFiller for Gmail from the Google Workspace Marketplace by visiting this link. Take away the need for time-consuming procedures and handle your papers and eSignatures with ease.
How do I make changes in annual performance review for?
With pdfFiller, the editing process is straightforward. Open your annual performance review for in the editor, which is highly intuitive and easy to use. There, you’ll be able to blackout, redact, type, and erase text, add images, draw arrows and lines, place sticky notes and text boxes, and much more.
How do I fill out annual performance review for on an Android device?
Use the pdfFiller app for Android to finish your annual performance review for. The application lets you do all the things you need to do with documents, like add, edit, and remove text, sign, annotate, and more. There is nothing else you need except your smartphone and an internet connection to do this.
What is annual performance review for?
The annual performance review is typically conducted to evaluate an employee's performance over the past year and provide feedback for improvement.
Who is required to file annual performance review for?
Employees are typically required to fill out an annual performance review, which is then reviewed by their supervisors or managers.
How to fill out annual performance review for?
Employees usually fill out an annual performance review by answering questions about their accomplishments, goals, strengths, weaknesses, and areas for development.
What is the purpose of annual performance review for?
The purpose of an annual performance review is to assess an employee's performance, set goals for the upcoming year, and provide feedback for improvement.
What information must be reported on annual performance review for?
Information such as accomplishments, goals, strengths, weaknesses, areas for development, and feedback from supervisors or managers must typically be reported on an annual performance review.
Fill out your annual performance review for online with pdfFiller!
pdfFiller is an end-to-end solution for managing, creating, and editing documents and forms in the cloud. Save time and hassle by preparing your tax forms online.
Annual Performance Review For is not the form you're looking for?Search for another form here.
Relevant keywords
Related Forms
If you believe that this page should be taken down, please follow our DMCA take down process
here
.
This form may include fields for payment information. Data entered in these fields is not covered by PCI DSS compliance.