Get the free Chem101f00syl1.PDF. Detailed demographics report for students enrolled at Texas A&am...
Show details
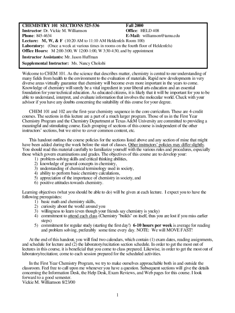
CHEMISTRY 101 SECTIONS 525536Fall 2000Instructor: Dr. Vickie M. Williamson Office: HELD 408 Phone : 8454634 EMail: williamson@tamu.edu Lecture: M, W, & F (10:20 AM to 11:10 AM Heldenfels Room 100)
We are not affiliated with any brand or entity on this form
Get, Create, Make and Sign chem101f00syl1pdf detailed demographics report
Edit your chem101f00syl1pdf detailed demographics report form online
Type text, complete fillable fields, insert images, highlight or blackout data for discretion, add comments, and more.
Add your legally-binding signature
Draw or type your signature, upload a signature image, or capture it with your digital camera.
Share your form instantly
Email, fax, or share your chem101f00syl1pdf detailed demographics report form via URL. You can also download, print, or export forms to your preferred cloud storage service.
Editing chem101f00syl1pdf detailed demographics report online
Here are the steps you need to follow to get started with our professional PDF editor:
1
Create an account. Begin by choosing Start Free Trial and, if you are a new user, establish a profile.
2
Upload a file. Select Add New on your Dashboard and upload a file from your device or import it from the cloud, online, or internal mail. Then click Edit.
3
Edit chem101f00syl1pdf detailed demographics report. Rearrange and rotate pages, insert new and alter existing texts, add new objects, and take advantage of other helpful tools. Click Done to apply changes and return to your Dashboard. Go to the Documents tab to access merging, splitting, locking, or unlocking functions.
4
Save your file. Select it from your list of records. Then, move your cursor to the right toolbar and choose one of the exporting options. You can save it in multiple formats, download it as a PDF, send it by email, or store it in the cloud, among other things.
It's easier to work with documents with pdfFiller than you can have believed. You can sign up for an account to see for yourself.
Uncompromising security for your PDF editing and eSignature needs
Your private information is safe with pdfFiller. We employ end-to-end encryption, secure cloud storage, and advanced access control to protect your documents and maintain regulatory compliance.
How to fill out chem101f00syl1pdf detailed demographics report
How to fill out chem101f00syl1pdf detailed demographics report
01
Start by downloading the chem101f00syl1pdf file from the designated website.
02
Open the file and review any instructions provided in the introduction section.
03
Locate the demographics section, usually near the beginning of the document.
04
Fill in your personal information such as name, age, and gender as requested.
05
Provide your academic background, including previous courses taken relevant to chemistry.
06
Indicate your current academic status (e.g., undergraduate, graduate).
07
If required, include additional information such as ethnicity or nationality, following any specific guidelines.
08
Review all entered information for accuracy before submission.
09
Save the completed document in the necessary format as stated in the instructions.
10
Submit the filled-out report through the specified channels outlined in the document.
Who needs chem101f00syl1pdf detailed demographics report?
01
Students enrolled in the CHEM 101 course.
02
Instructors and faculty members requiring demographic data for course evaluation.
03
University administration for tracking enrollment diversity and trends.
04
Research teams analyzing academic performance across demographic groups.
Fill
form
: Try Risk Free
For pdfFiller’s FAQs
Below is a list of the most common customer questions. If you can’t find an answer to your question, please don’t hesitate to reach out to us.
How do I modify my chem101f00syl1pdf detailed demographics report in Gmail?
You may use pdfFiller's Gmail add-on to change, fill out, and eSign your chem101f00syl1pdf detailed demographics report as well as other documents directly in your inbox by using the pdfFiller add-on for Gmail. pdfFiller for Gmail may be found on the Google Workspace Marketplace. Use the time you would have spent dealing with your papers and eSignatures for more vital tasks instead.
How can I modify chem101f00syl1pdf detailed demographics report without leaving Google Drive?
You can quickly improve your document management and form preparation by integrating pdfFiller with Google Docs so that you can create, edit and sign documents directly from your Google Drive. The add-on enables you to transform your chem101f00syl1pdf detailed demographics report into a dynamic fillable form that you can manage and eSign from any internet-connected device.
Can I edit chem101f00syl1pdf detailed demographics report on an iOS device?
You certainly can. You can quickly edit, distribute, and sign chem101f00syl1pdf detailed demographics report on your iOS device with the pdfFiller mobile app. Purchase it from the Apple Store and install it in seconds. The program is free, but in order to purchase a subscription or activate a free trial, you must first establish an account.
What is chem101f00syl1pdf detailed demographics report?
The chem101f00syl1pdf detailed demographics report is a document that collects and presents demographic data related to participants or subjects in a specific study or program associated with the course Chem 101.
Who is required to file chem101f00syl1pdf detailed demographics report?
The chem101f00syl1pdf detailed demographics report must be filed by instructors, researchers, or program coordinators involved in the Chem 101 course or related studies that require demographic documentation.
How to fill out chem101f00syl1pdf detailed demographics report?
To fill out the chem101f00syl1pdf detailed demographics report, follow the provided guidelines, enter accurate demographic information for each participant, ensure all fields are completed, and submit it by the specified deadline.
What is the purpose of chem101f00syl1pdf detailed demographics report?
The purpose of the chem101f00syl1pdf detailed demographics report is to gather essential demographic information for analysis, ensuring that the study population is representative and to facilitate targeted instruction and support within the Chem 101 course.
What information must be reported on chem101f00syl1pdf detailed demographics report?
The information that must be reported on the chem101f00syl1pdf detailed demographics report includes participant age, gender, ethnicity, educational background, and any other relevant demographic factors specified in the report guidelines.
Fill out your chem101f00syl1pdf detailed demographics report online with pdfFiller!
pdfFiller is an end-to-end solution for managing, creating, and editing documents and forms in the cloud. Save time and hassle by preparing your tax forms online.
Chem101F00Syl1Pdf Detailed Demographics Report is not the form you're looking for?Search for another form here.
Relevant keywords
Related Forms
If you believe that this page should be taken down, please follow our DMCA take down process
here
.
This form may include fields for payment information. Data entered in these fields is not covered by PCI DSS compliance.