Get the free OPPOSING VIEWPOINTS in CONTEXT ASSIGNMENT - library sullivan
Show details
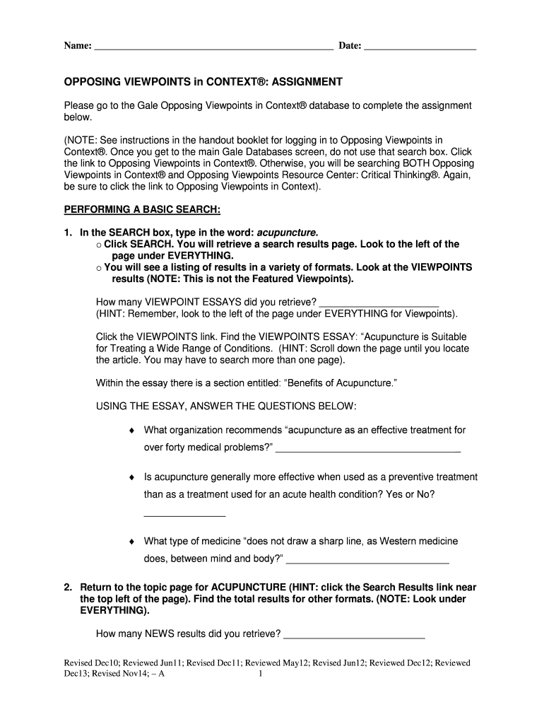
Name: Date: OPPOSING VIEWPOINTS in CONTEXT : ASSIGNMENT Please go to the Gale Opposing Viewpoints in Context database to complete the assignment below. (NOTE: See instructions in the handout booklet
We are not affiliated with any brand or entity on this form
Get, Create, Make and Sign opposing viewpoints in context
Edit your opposing viewpoints in context form online
Type text, complete fillable fields, insert images, highlight or blackout data for discretion, add comments, and more.
Add your legally-binding signature
Draw or type your signature, upload a signature image, or capture it with your digital camera.
Share your form instantly
Email, fax, or share your opposing viewpoints in context form via URL. You can also download, print, or export forms to your preferred cloud storage service.
How to edit opposing viewpoints in context online
In order to make advantage of the professional PDF editor, follow these steps:
1
Register the account. Begin by clicking Start Free Trial and create a profile if you are a new user.
2
Upload a document. Select Add New on your Dashboard and transfer a file into the system in one of the following ways: by uploading it from your device or importing from the cloud, web, or internal mail. Then, click Start editing.
3
Edit opposing viewpoints in context. Rearrange and rotate pages, add and edit text, and use additional tools. To save changes and return to your Dashboard, click Done. The Documents tab allows you to merge, divide, lock, or unlock files.
4
Get your file. When you find your file in the docs list, click on its name and choose how you want to save it. To get the PDF, you can save it, send an email with it, or move it to the cloud.
It's easier to work with documents with pdfFiller than you can have ever thought. You may try it out for yourself by signing up for an account.
Uncompromising security for your PDF editing and eSignature needs
Your private information is safe with pdfFiller. We employ end-to-end encryption, secure cloud storage, and advanced access control to protect your documents and maintain regulatory compliance.
How to fill out opposing viewpoints in context
01
To fill out opposing viewpoints in context, start by thoroughly researching and understanding the topic or issue at hand. This will help provide a comprehensive perspective on the subject and enable you to identify different viewpoints.
02
Identify the main arguments or positions related to the topic. This could involve reading articles, books, or reputable sources to gain a broader understanding of the different viewpoints held by experts or individuals involved in the debate.
03
Take notes on each viewpoint, summarizing the main arguments, supporting evidence, and any counterarguments presented. This will allow you to organize and analyze the information effectively.
04
Consider the context in which these opposing viewpoints exist. Evaluate the historical, cultural, and social factors that might influence the different perspectives on the topic. Understanding the context will help you grasp the motivations and reasoning behind each viewpoint.
05
Analyze the strengths and weaknesses of each viewpoint. Identify the key points that support or refute each position, looking for logical fallacies, bias, or incomplete information. This critical evaluation will enrich your understanding of the topic and enable you to present a balanced view.
06
Take into account the specific purpose or audience for whom you are filling out opposing viewpoints in context. Consider the level of knowledge or understanding your readers may have, so you can present the information in a clear and accessible manner.
07
To address the question of who needs opposing viewpoints in context, it is essential to recognize that anyone seeking a comprehensive understanding of a complex issue can benefit from considering multiple perspectives. Academics, researchers, journalists, policymakers, and students are among those who can gain valuable insights from exploring opposing viewpoints within the appropriate context.
Overall, filling out opposing viewpoints in context requires thorough research, critical evaluation, and consideration of the varying factors that shape different perspectives. It is a valuable approach for anyone seeking a well-rounded understanding of complex issues and can benefit individuals from a variety of backgrounds and professions.
Fill
form
: Try Risk Free
For pdfFiller’s FAQs
Below is a list of the most common customer questions. If you can’t find an answer to your question, please don’t hesitate to reach out to us.
Where do I find opposing viewpoints in context?
The premium subscription for pdfFiller provides you with access to an extensive library of fillable forms (over 25M fillable templates) that you can download, fill out, print, and sign. You won’t have any trouble finding state-specific opposing viewpoints in context and other forms in the library. Find the template you need and customize it using advanced editing functionalities.
How do I edit opposing viewpoints in context on an iOS device?
No, you can't. With the pdfFiller app for iOS, you can edit, share, and sign opposing viewpoints in context right away. At the Apple Store, you can buy and install it in a matter of seconds. The app is free, but you will need to set up an account if you want to buy a subscription or start a free trial.
How can I fill out opposing viewpoints in context on an iOS device?
Make sure you get and install the pdfFiller iOS app. Next, open the app and log in or set up an account to use all of the solution's editing tools. If you want to open your opposing viewpoints in context, you can upload it from your device or cloud storage, or you can type the document's URL into the box on the right. After you fill in all of the required fields in the document and eSign it, if that is required, you can save or share it with other people.
What is opposing viewpoints in context?
Opposing viewpoints in context refer to providing different perspectives or arguments on a certain topic or issue.
Who is required to file opposing viewpoints in context?
Individuals or organizations involved in a debate or discussion may be required to file opposing viewpoints in context.
How to fill out opposing viewpoints in context?
Opposing viewpoints in context can be filled out by presenting counterarguments, providing evidence, and supporting your position.
What is the purpose of opposing viewpoints in context?
The purpose of opposing viewpoints in context is to ensure a balanced and fair presentation of different perspectives on an issue.
What information must be reported on opposing viewpoints in context?
Opposing viewpoints in context should include relevant arguments, evidence, and sources to support the opposing perspective.
Fill out your opposing viewpoints in context online with pdfFiller!
pdfFiller is an end-to-end solution for managing, creating, and editing documents and forms in the cloud. Save time and hassle by preparing your tax forms online.
Opposing Viewpoints In Context is not the form you're looking for?Search for another form here.
Relevant keywords
Related Forms
If you believe that this page should be taken down, please follow our DMCA take down process
here
.
This form may include fields for payment information. Data entered in these fields is not covered by PCI DSS compliance.