Get the free Inspector requirement visit the facility and use the day labor business requirements...
Show details
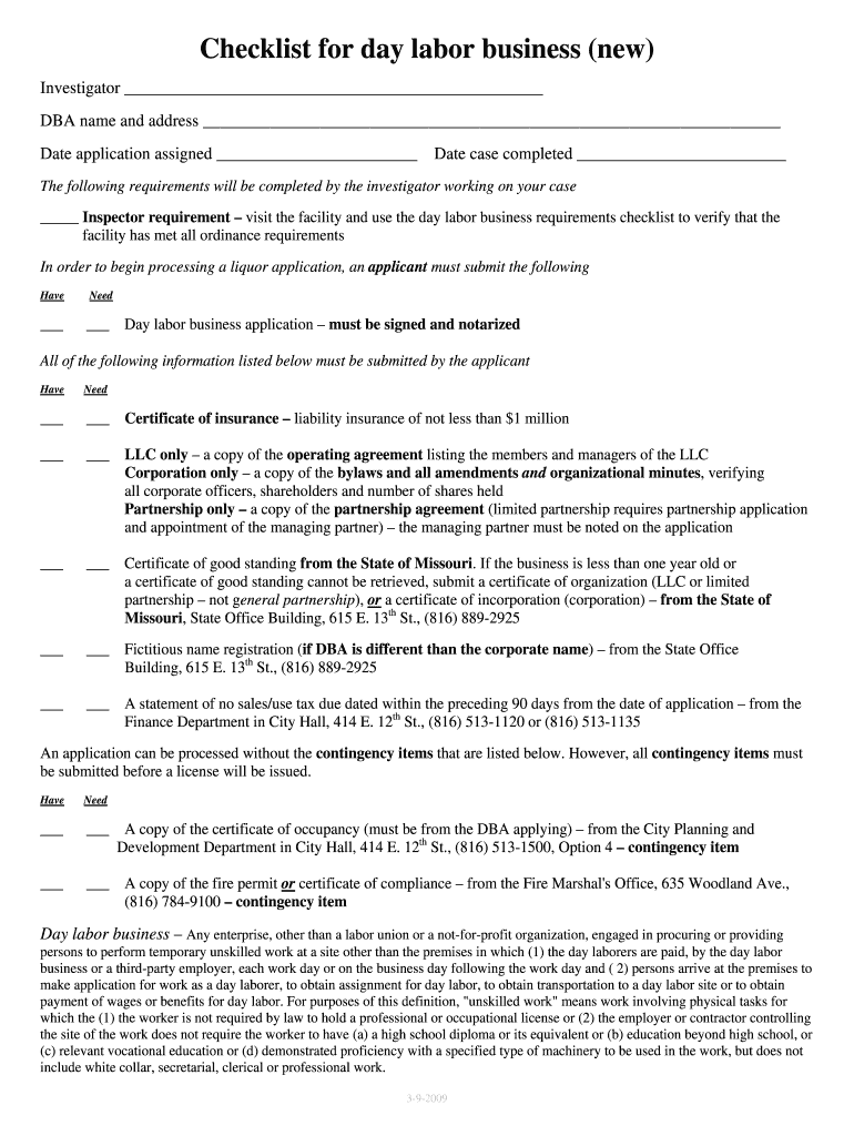
Checklist for day labor business (new) Investigator DBA name and address Date application assigned Date case completed The following requirements will be completed by the investigator working on your
We are not affiliated with any brand or entity on this form
Get, Create, Make and Sign inspector requirement visit form
Edit your inspector requirement visit form form online
Type text, complete fillable fields, insert images, highlight or blackout data for discretion, add comments, and more.
Add your legally-binding signature
Draw or type your signature, upload a signature image, or capture it with your digital camera.
Share your form instantly
Email, fax, or share your inspector requirement visit form form via URL. You can also download, print, or export forms to your preferred cloud storage service.
Editing inspector requirement visit form online
To use our professional PDF editor, follow these steps:
1
Register the account. Begin by clicking Start Free Trial and create a profile if you are a new user.
2
Prepare a file. Use the Add New button to start a new project. Then, using your device, upload your file to the system by importing it from internal mail, the cloud, or adding its URL.
3
Edit inspector requirement visit form. Text may be added and replaced, new objects can be included, pages can be rearranged, watermarks and page numbers can be added, and so on. When you're done editing, click Done and then go to the Documents tab to combine, divide, lock, or unlock the file.
4
Save your file. Select it from your list of records. Then, move your cursor to the right toolbar and choose one of the exporting options. You can save it in multiple formats, download it as a PDF, send it by email, or store it in the cloud, among other things.
With pdfFiller, it's always easy to work with documents. Check it out!
Uncompromising security for your PDF editing and eSignature needs
Your private information is safe with pdfFiller. We employ end-to-end encryption, secure cloud storage, and advanced access control to protect your documents and maintain regulatory compliance.
How to fill out inspector requirement visit form
How to fill out inspector requirement visit form:
01
Begin by obtaining a copy of the inspector requirement visit form. This form is usually provided by the organization or agency responsible for inspections.
02
Carefully read and understand the instructions provided on the form. These instructions will guide you through the process of filling out the form correctly.
03
Start by providing your personal information in the designated fields. This may include your name, contact details, and identification number if applicable.
04
Next, specify the purpose of the inspection visit and the date it is scheduled for. It's important to accurately record this information to ensure that the visit is properly documented.
05
Describe the premises or area that will be inspected. Include details such as the address, building name, or any other relevant information that helps identify the location.
06
Indicate whether any special access arrangements are required for the inspection. This could involve requesting keys, access codes, or coordination with other individuals.
07
Provide a brief overview of the inspection requirements or objectives. This may involve identifying specific regulations, codes, or standards that need to be assessed during the visit.
08
If there are any specific areas or aspects that require extra attention, mention them in the appropriate section of the form. This ensures that the inspector is aware of any particular concerns or focus areas.
09
Finally, review the completed form to ensure accuracy and completeness. Make any necessary corrections or additions before submitting the form to the appropriate authority.
Who needs inspector requirement visit form:
01
Organizations or businesses that require inspections to ensure compliance with regulations or standards.
02
Owners or managers of facilities or properties that need to be assessed for safety, hygiene, or any other requirements.
03
Government agencies or regulatory bodies responsible for overseeing inspections and enforcing compliance in specific industries or sectors.
Fill
form
: Try Risk Free
For pdfFiller’s FAQs
Below is a list of the most common customer questions. If you can’t find an answer to your question, please don’t hesitate to reach out to us.
How do I edit inspector requirement visit form online?
The editing procedure is simple with pdfFiller. Open your inspector requirement visit form in the editor, which is quite user-friendly. You may use it to blackout, redact, write, and erase text, add photos, draw arrows and lines, set sticky notes and text boxes, and much more.
How do I edit inspector requirement visit form straight from my smartphone?
The pdfFiller mobile applications for iOS and Android are the easiest way to edit documents on the go. You may get them from the Apple Store and Google Play. More info about the applications here. Install and log in to edit inspector requirement visit form.
Can I edit inspector requirement visit form on an iOS device?
Use the pdfFiller app for iOS to make, edit, and share inspector requirement visit form from your phone. Apple's store will have it up and running in no time. It's possible to get a free trial and choose a subscription plan that fits your needs.
What is inspector requirement visit form?
The inspector requirement visit form is a document used to report information about visits conducted by inspectors to ensure compliance with regulations or requirements.
Who is required to file inspector requirement visit form?
Any individual or entity that conducts inspections and is required to report the findings to regulatory authorities.
How to fill out inspector requirement visit form?
The form must be completed with details of the inspection, including date, location, findings, and any corrective actions taken.
What is the purpose of inspector requirement visit form?
The purpose of the form is to ensure transparency and accountability in inspections, as well as to document compliance with regulations.
What information must be reported on inspector requirement visit form?
Information such as date of visit, location, inspection findings, corrective actions taken, and any additional notes or recommendations.
Fill out your inspector requirement visit form online with pdfFiller!
pdfFiller is an end-to-end solution for managing, creating, and editing documents and forms in the cloud. Save time and hassle by preparing your tax forms online.
Inspector Requirement Visit Form is not the form you're looking for?Search for another form here.
Relevant keywords
Related Forms
If you believe that this page should be taken down, please follow our DMCA take down process
here
.
This form may include fields for payment information. Data entered in these fields is not covered by PCI DSS compliance.