 
Get the free This IRS Audit Notice Letter 3541-A sample is provided by TaxAudit
                                Show details
                            
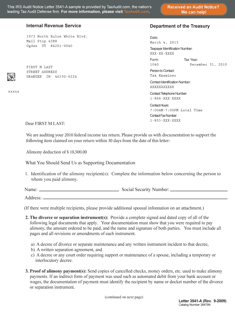
                            This IRS Audit Notice Letter 3541A sample is provided by TaxAudit.com, the nations
leading Tax Audit Defense firm. For more information, please visit TaxAudit.com. Received an Audit Notice?
We can
                            We are not affiliated with any brand or entity on this form
                                    Get, Create, Make and Sign this irs audit notice
 
                    Edit your this irs audit notice form online
                    Type text, complete fillable fields, insert images, highlight or blackout data for discretion, add comments, and more.
                 
                    Add your legally-binding signature
                    Draw or type your signature, upload a signature image, or capture it with your digital camera.
                 
                    Share your form instantly
                    Email, fax, or share your this irs audit notice form via URL. You can also download, print, or export forms to your preferred cloud storage service.
                How to edit this irs audit notice online
In order to make advantage of the professional PDF editor, follow these steps below:
                                                                                                                            1
                                        Log in. Click Start Free Trial and create a profile if necessary.
                                                                                    2
                                        Upload a document. Select Add New on your Dashboard and transfer a file into the system in one of the following ways: by uploading it from your device or importing from the cloud, web, or internal mail. Then, click Start editing.
                                                                                    3
                                        Edit this irs audit notice. Rearrange and rotate pages, insert new and alter existing texts, add new objects, and take advantage of other helpful tools. Click Done to apply changes and return to your Dashboard. Go to the Documents tab to access merging, splitting, locking, or unlocking functions.
                                                                                    4
                                        Save your file. Select it from your records list. Then, click the right toolbar and select one of the various exporting options: save in numerous formats, download as PDF, email, or cloud.
                                                                                    With pdfFiller, it's always easy to work with documents.
                                                                                        Uncompromising security for your PDF editing and eSignature needs
Your private information is safe with pdfFiller. We employ end-to-end encryption, secure cloud storage, and advanced access control to protect your documents and maintain regulatory compliance.
        
        
    How to fill out this irs audit notice
 
                        How to fill out this IRS audit notice:
01
                                     Read the notice carefully: Begin by thoroughly reading through the IRS audit notice you have received. Make sure you understand the reason for the audit and what specific information or documents the IRS is requesting from you.
                                
                                                                            
                                        02
                                     Gather all necessary documents: Collect all the required documents, such as tax returns, financial records, receipts, and any supporting documentation that the IRS has requested in the notice. Ensure that you have organized these documents in a manner that corresponds with the information requested.
                                
                                                                            
                                        03
                                     Review your tax return: Take the time to review your tax return for the year in question. This will help you identify any potential errors or discrepancies that the IRS may be questioning. It is advisable to consult with a tax professional or accountant if you need assistance in understanding your tax return or identifying potential issues.
                                
                                                                            
                                        04
                                     Respond within the given timeline: The IRS audit notice will specify a deadline for your response. It is crucial to adhere to this timeline and provide the requested information within the given time frame. If you require additional time or certain documents are not readily available, contact the IRS promptly to discuss your situation and request an extension if necessary.
                                
                                                                            
                                        05
                                     Be thorough and accurate in your response: When filling out the IRS audit notice, make sure to provide all the requested information in a clear and organized manner. Answer each question accurately and truthfully, ensuring that you provide any supporting documentation that validates your claims or deductions.
                                
                                                                            
                                        06
                                     Seek professional assistance if needed: If you find the audit notice overwhelming or complex, consider seeking help from a tax professional or certified public accountant. They can guide you through the process, review your responses, and provide advice on how to handle the audit effectively.
                                
                                                                            
                                        Who needs this IRS audit notice?
01
                                     Individuals who have been selected for an IRS audit: The IRS conducts audits to ensure that taxpayers are accurately reporting their income, deductions, credits, and compliance with tax laws. If you have received an audit notice, it means that your tax return has been flagged for further review.
                                
                                                                            
                                        02
                                     Those who want to comply with tax regulations: The IRS audit notice is essential for individuals who want to cooperate with the IRS and demonstrate their compliance with tax regulations. By filling out the audit notice accurately and providing the requested information, you can show the IRS that you are cooperating and willing to resolve any potential issues.
                                
                                                                            
                                        03
                                     Individuals who aim to resolve any potential discrepancies: The audit notice allows individuals to address any discrepancies or discrepancies in their tax returns. By providing the necessary information and supporting documentation, you can clarify any misunderstandings or errors that the IRS may have identified in your original tax return.
                                
                                                                            
                                        Fill
                                    form
                                : Try Risk Free
                For pdfFiller’s FAQs
Below is a list of the most common customer questions. If you can’t find an answer to your question, please don’t hesitate to reach out to us.
How do I make edits in this irs audit notice without leaving Chrome?
this irs audit notice can be edited, filled out, and signed with the pdfFiller Google Chrome Extension. You can open the editor right from a Google search page with just one click. Fillable documents can be done on any web-connected device without leaving Chrome.
                                    Can I edit this irs audit notice on an iOS device?
Use the pdfFiller mobile app to create, edit, and share this irs audit notice from your iOS device. Install it from the Apple Store in seconds. You can benefit from a free trial and choose a subscription that suits your needs.
                                    How can I fill out this irs audit notice on an iOS device?
Install the pdfFiller iOS app. Log in or create an account to access the solution's editing features. Open your this irs audit notice by uploading it from your device or online storage. After filling in all relevant fields and eSigning if required, you may save or distribute the document.
                                    What is this irs audit notice?
This IRS audit notice is a formal communication from the Internal Revenue Service informing taxpayers that their tax return has been selected for examination or audit.
                                    Who is required to file this irs audit notice?
Taxpayers who have been selected for an audit by the IRS are required to file this IRS audit notice.
                                    How to fill out this irs audit notice?
Taxpayers must carefully review the notice and follow the instructions provided by the IRS on how to respond and provide the requested information.
                                    What is the purpose of this irs audit notice?
The purpose of this IRS audit notice is to verify the accuracy and completeness of the taxpayer's reported income and deductions.
                                    What information must be reported on this irs audit notice?
Taxpayers must report all income, deductions, credits, and other relevant information related to the tax return under audit.
                                    Fill out your this irs audit notice online with pdfFiller!
                    pdfFiller is an end-to-end solution for managing, creating, and editing documents and forms in the cloud. Save time and hassle by preparing your tax forms online.
 
This Irs Audit Notice is not the form you're looking for?Search for another form here.
Relevant keywords
Related Forms
If you believe that this page should be taken down, please follow our DMCA take down process
                here
                .
            
        This form may include fields for payment information. Data entered in these fields is not covered by PCI DSS compliance.
         
                     
                         
                         
                         
                         
                        