Get the free Handout 3 Guidelines for Drafting an Effective Letter - wastatepta
Show details
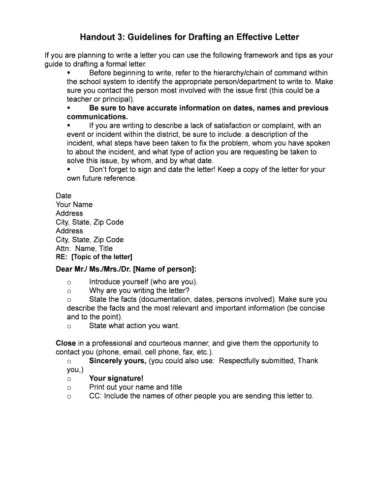
Handout 3: Guidelines for Drafting an Effective Letter If you are planning to write a letter you can use the following framework and tips as your guide to drafting a formal letter. Before beginning
We are not affiliated with any brand or entity on this form
Get, Create, Make and Sign handout 3 guidelines for
Edit your handout 3 guidelines for form online
Type text, complete fillable fields, insert images, highlight or blackout data for discretion, add comments, and more.
Add your legally-binding signature
Draw or type your signature, upload a signature image, or capture it with your digital camera.
Share your form instantly
Email, fax, or share your handout 3 guidelines for form via URL. You can also download, print, or export forms to your preferred cloud storage service.
Editing handout 3 guidelines for online
Here are the steps you need to follow to get started with our professional PDF editor:
1
Sign into your account. If you don't have a profile yet, click Start Free Trial and sign up for one.
2
Simply add a document. Select Add New from your Dashboard and import a file into the system by uploading it from your device or importing it via the cloud, online, or internal mail. Then click Begin editing.
3
Edit handout 3 guidelines for. Rearrange and rotate pages, add new and changed texts, add new objects, and use other useful tools. When you're done, click Done. You can use the Documents tab to merge, split, lock, or unlock your files.
4
Get your file. Select the name of your file in the docs list and choose your preferred exporting method. You can download it as a PDF, save it in another format, send it by email, or transfer it to the cloud.
pdfFiller makes working with documents easier than you could ever imagine. Try it for yourself by creating an account!
Uncompromising security for your PDF editing and eSignature needs
Your private information is safe with pdfFiller. We employ end-to-end encryption, secure cloud storage, and advanced access control to protect your documents and maintain regulatory compliance.
Fill
form
: Try Risk Free
For pdfFiller’s FAQs
Below is a list of the most common customer questions. If you can’t find an answer to your question, please don’t hesitate to reach out to us.
How can I send handout 3 guidelines for to be eSigned by others?
handout 3 guidelines for is ready when you're ready to send it out. With pdfFiller, you can send it out securely and get signatures in just a few clicks. PDFs can be sent to you by email, text message, fax, USPS mail, or notarized on your account. You can do this right from your account. Become a member right now and try it out for yourself!
How do I make changes in handout 3 guidelines for?
The editing procedure is simple with pdfFiller. Open your handout 3 guidelines for in the editor, which is quite user-friendly. You may use it to blackout, redact, write, and erase text, add photos, draw arrows and lines, set sticky notes and text boxes, and much more.
How do I complete handout 3 guidelines for on an iOS device?
Install the pdfFiller iOS app. Log in or create an account to access the solution's editing features. Open your handout 3 guidelines for by uploading it from your device or online storage. After filling in all relevant fields and eSigning if required, you may save or distribute the document.
What is handout 3 guidelines for?
Handout 3 guidelines provide instructions for completing a specific form or document.
Who is required to file handout 3 guidelines for?
Those individuals or entities who are mandated by law or regulation to do so.
How to fill out handout 3 guidelines for?
Handout 3 guidelines can be filled out by following the step-by-step instructions provided in the document.
What is the purpose of handout 3 guidelines for?
The purpose of handout 3 guidelines is to ensure that the required information is accurately reported and submitted in a timely manner.
What information must be reported on handout 3 guidelines for?
The specific information that needs to be reported will vary depending on the type of form or document in question.
Fill out your handout 3 guidelines for online with pdfFiller!
pdfFiller is an end-to-end solution for managing, creating, and editing documents and forms in the cloud. Save time and hassle by preparing your tax forms online.
Handout 3 Guidelines For is not the form you're looking for?Search for another form here.
Relevant keywords
Related Forms
If you believe that this page should be taken down, please follow our DMCA take down process
here
.
This form may include fields for payment information. Data entered in these fields is not covered by PCI DSS compliance.