
Get the free REQUIREMENTS FOR OBTAINING A MARRIAGE LICENSE
Show details
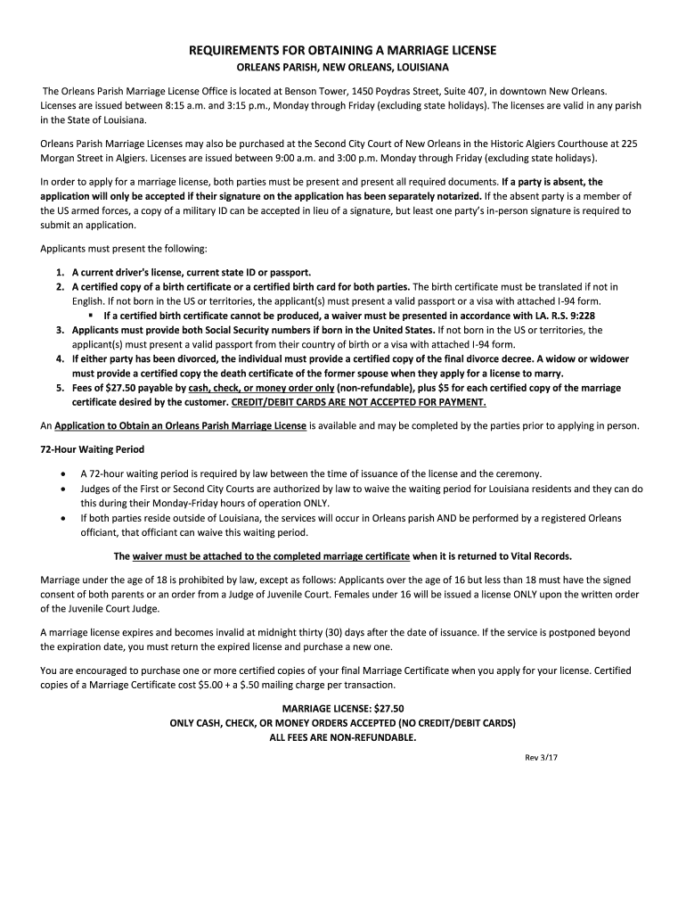
This document outlines the requirements and procedures for obtaining a marriage license in Orleans Parish, New Orleans, Louisiana, including necessary documents and fees.
We are not affiliated with any brand or entity on this form
Get, Create, Make and Sign requirements for obtaining a

Edit your requirements for obtaining a form online
Type text, complete fillable fields, insert images, highlight or blackout data for discretion, add comments, and more.

Add your legally-binding signature
Draw or type your signature, upload a signature image, or capture it with your digital camera.

Share your form instantly
Email, fax, or share your requirements for obtaining a form via URL. You can also download, print, or export forms to your preferred cloud storage service.
Editing requirements for obtaining a online
To use the services of a skilled PDF editor, follow these steps below:
1
Log in. Click Start Free Trial and create a profile if necessary.
2
Upload a document. Select Add New on your Dashboard and transfer a file into the system in one of the following ways: by uploading it from your device or importing from the cloud, web, or internal mail. Then, click Start editing.
3
Edit requirements for obtaining a. Text may be added and replaced, new objects can be included, pages can be rearranged, watermarks and page numbers can be added, and so on. When you're done editing, click Done and then go to the Documents tab to combine, divide, lock, or unlock the file.
4
Get your file. Select your file from the documents list and pick your export method. You may save it as a PDF, email it, or upload it to the cloud.
It's easier to work with documents with pdfFiller than you can have ever thought. You may try it out for yourself by signing up for an account.
Uncompromising security for your PDF editing and eSignature needs
Your private information is safe with pdfFiller. We employ end-to-end encryption, secure cloud storage, and advanced access control to protect your documents and maintain regulatory compliance.
Fill
form
: Try Risk Free
For pdfFiller’s FAQs
Below is a list of the most common customer questions. If you can’t find an answer to your question, please don’t hesitate to reach out to us.
How do I execute requirements for obtaining a online?
pdfFiller has made it simple to fill out and eSign requirements for obtaining a. The application has capabilities that allow you to modify and rearrange PDF content, add fillable fields, and eSign the document. Begin a free trial to discover all of the features of pdfFiller, the best document editing solution.
How do I make edits in requirements for obtaining a without leaving Chrome?
Add pdfFiller Google Chrome Extension to your web browser to start editing requirements for obtaining a and other documents directly from a Google search page. The service allows you to make changes in your documents when viewing them in Chrome. Create fillable documents and edit existing PDFs from any internet-connected device with pdfFiller.
Can I create an eSignature for the requirements for obtaining a in Gmail?
You may quickly make your eSignature using pdfFiller and then eSign your requirements for obtaining a right from your mailbox using pdfFiller's Gmail add-on. Please keep in mind that in order to preserve your signatures and signed papers, you must first create an account.
What is requirements for obtaining a?
The requirements for obtaining A may vary depending on the specific context and industry. In general, requirements for obtaining A may include submitting an application, providing relevant documentation or evidence, meeting specific eligibility criteria, and paying any applicable fees.
Who is required to file requirements for obtaining a?
The individual or entity that wants to obtain A is typically required to file the requirements. This may include individuals, businesses, organizations, or other relevant parties.
How to fill out requirements for obtaining a?
To fill out the requirements for obtaining A, you should carefully review the provided instructions or guidelines. Gather all the necessary information and supporting documents. Complete the application form or any other required forms accurately, ensuring that all relevant details are included. Finally, submit the requirements as per the specified submission method.
What is the purpose of requirements for obtaining a?
The purpose of requirements for obtaining A is to establish a standardized process that ensures individuals or entities meet specific criteria or conditions before being granted A. These requirements help regulate and control the issuance of A, ensuring that only eligible and qualified individuals or entities are granted the privilege or authorization.
What information must be reported on requirements for obtaining a?
The information that must be reported on requirements for obtaining A may vary depending on the specific context. However, it generally includes personal or business details such as name, address, contact information, identification documents, financial information, relevant experience or qualifications, and any other information required to demonstrate eligibility for A.
Fill out your requirements for obtaining a online with pdfFiller!
pdfFiller is an end-to-end solution for managing, creating, and editing documents and forms in the cloud. Save time and hassle by preparing your tax forms online.

Requirements For Obtaining A is not the form you're looking for?Search for another form here.
Relevant keywords
Related Forms
If you believe that this page should be taken down, please follow our DMCA take down process
here
.
This form may include fields for payment information. Data entered in these fields is not covered by PCI DSS compliance.