Get the free History EOI Sample Test Questions
Show details
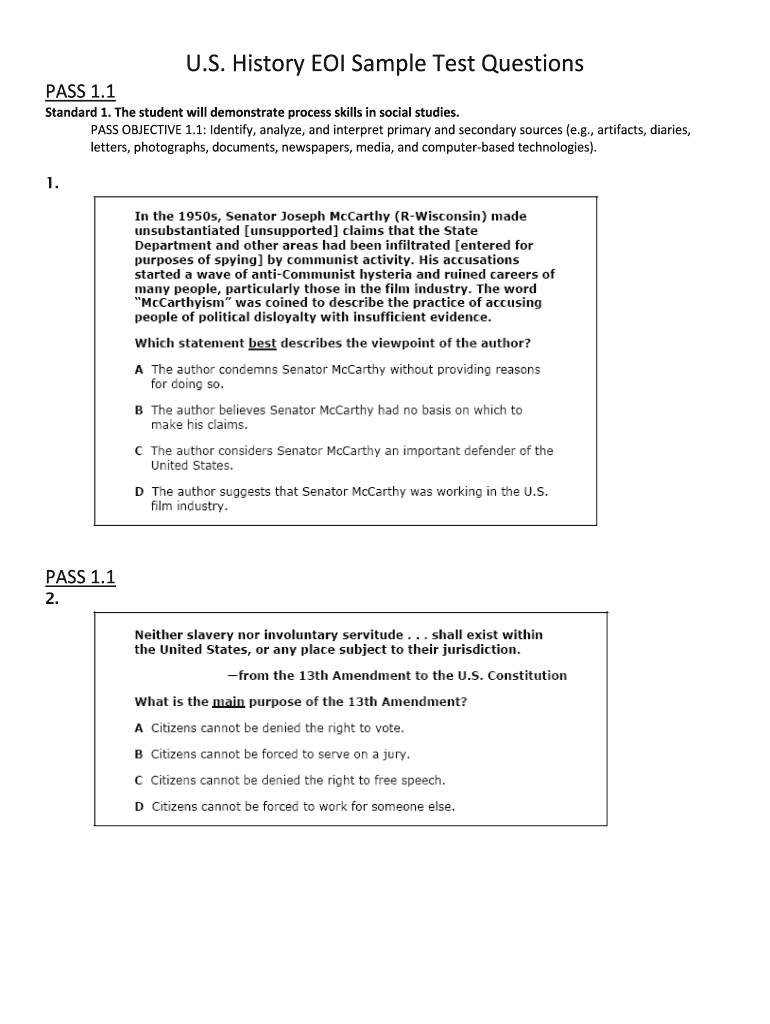
U.S. History EOI Sample Test Questions
PASS 1.1
Standard 1. The student will demonstrate process skills in social studies.
PASS OBJECTIVE 1.1: Identify, analyze, and interpret primary and secondary
We are not affiliated with any brand or entity on this form
Get, Create, Make and Sign history eoi sample test
Edit your history eoi sample test form online
Type text, complete fillable fields, insert images, highlight or blackout data for discretion, add comments, and more.
Add your legally-binding signature
Draw or type your signature, upload a signature image, or capture it with your digital camera.
Share your form instantly
Email, fax, or share your history eoi sample test form via URL. You can also download, print, or export forms to your preferred cloud storage service.
How to edit history eoi sample test online
Follow the steps below to take advantage of the professional PDF editor:
1
Log in. Click Start Free Trial and create a profile if necessary.
2
Prepare a file. Use the Add New button to start a new project. Then, using your device, upload your file to the system by importing it from internal mail, the cloud, or adding its URL.
3
Edit history eoi sample test. Rearrange and rotate pages, add and edit text, and use additional tools. To save changes and return to your Dashboard, click Done. The Documents tab allows you to merge, divide, lock, or unlock files.
4
Save your file. Choose it from the list of records. Then, shift the pointer to the right toolbar and select one of the several exporting methods: save it in multiple formats, download it as a PDF, email it, or save it to the cloud.
With pdfFiller, it's always easy to deal with documents.
Uncompromising security for your PDF editing and eSignature needs
Your private information is safe with pdfFiller. We employ end-to-end encryption, secure cloud storage, and advanced access control to protect your documents and maintain regulatory compliance.
How to fill out history eoi sample test
How to fill out history eoi sample test:
01
Start by carefully reviewing the instructions provided with the test. Make sure you understand the format, time limit, and any specific requirements.
02
Read through each question and take note of any keywords or key phrases that can guide your answer.
03
Begin by answering the questions you feel most confident about. This will help boost your confidence and save time for challenging questions later.
04
Use the information you have learned in your history studies to answer the questions. Draw upon your knowledge of historical events, figures, and concepts to provide accurate and detailed responses.
05
Pay attention to the word limit, if specified. Ensure that your answers are concise yet comprehensive, providing enough information to fully address the question.
06
Take advantage of any resources provided during the test, such as additional reading materials or reference materials. These can help you to find the necessary information to answer more difficult questions.
07
After completing your answers, take a few moments to review your work. Check for any grammatical or spelling errors, and make sure your responses are clear and well-structured.
08
If you have time, go back and review any questions you may have skipped or had difficulty with. Use the remaining time to revise and improve your answers.
Who needs history eoi sample test?
01
Students preparing for a history Exam of Importance (EOI) with a similar format and content may find a history EOI sample test beneficial. It can serve as a practice tool to gauge their understanding of the subject and their ability to answer test-related questions effectively.
02
History teachers or tutors may also find value in using a history EOI sample test. It can help them assess their students' knowledge and skills, identify areas where further instruction or practice is needed, and prepare them for the actual EOI.
03
Educational institutions or organizations that administer history EOIs may use the sample test as a resource for creating and evaluating the actual test. It can provide a reference point for the type of questions to include, the difficulty level, and the overall structure of the examination.
Fill
form
: Try Risk Free
For pdfFiller’s FAQs
Below is a list of the most common customer questions. If you can’t find an answer to your question, please don’t hesitate to reach out to us.
How can I send history eoi sample test for eSignature?
history eoi sample test is ready when you're ready to send it out. With pdfFiller, you can send it out securely and get signatures in just a few clicks. PDFs can be sent to you by email, text message, fax, USPS mail, or notarized on your account. You can do this right from your account. Become a member right now and try it out for yourself!
How do I edit history eoi sample test on an Android device?
You can make any changes to PDF files, like history eoi sample test, with the help of the pdfFiller Android app. Edit, sign, and send documents right from your phone or tablet. You can use the app to make document management easier wherever you are.
How do I fill out history eoi sample test on an Android device?
On an Android device, use the pdfFiller mobile app to finish your history eoi sample test. The program allows you to execute all necessary document management operations, such as adding, editing, and removing text, signing, annotating, and more. You only need a smartphone and an internet connection.
What is history eoi sample test?
History eoi sample test is a standardized test designed to assess students' knowledge of history.
Who is required to file history eoi sample test?
Students who are studying history or taking history courses may be required to take the history eoi sample test.
How to fill out history eoi sample test?
To fill out the history eoi sample test, students must carefully read and answer the questions provided on the test.
What is the purpose of history eoi sample test?
The purpose of the history eoi sample test is to evaluate students' understanding of historical events and concepts.
What information must be reported on history eoi sample test?
Students must report their answers to the questions on the history eoi sample test.
Fill out your history eoi sample test online with pdfFiller!
pdfFiller is an end-to-end solution for managing, creating, and editing documents and forms in the cloud. Save time and hassle by preparing your tax forms online.
History Eoi Sample Test is not the form you're looking for?Search for another form here.
Relevant keywords
Related Forms
If you believe that this page should be taken down, please follow our DMCA take down process
here
.
This form may include fields for payment information. Data entered in these fields is not covered by PCI DSS compliance.