Get the free 2015-2016 DEPENDENT Special Circumstance Review - sfa mst
Show details
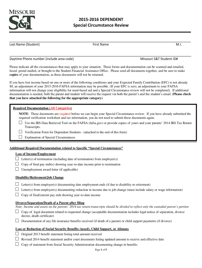
2015-2016 DEPENDENT Special Circumstance Review Last Name (Student) First Name Daytime Phone number (include area code) M.I. Missouri S&T Student ID# Please indicate all the circumstances that may
We are not affiliated with any brand or entity on this form
Get, Create, Make and Sign 2015-2016 dependent special circumstance
Edit your 2015-2016 dependent special circumstance form online
Type text, complete fillable fields, insert images, highlight or blackout data for discretion, add comments, and more.
Add your legally-binding signature
Draw or type your signature, upload a signature image, or capture it with your digital camera.
Share your form instantly
Email, fax, or share your 2015-2016 dependent special circumstance form via URL. You can also download, print, or export forms to your preferred cloud storage service.
Editing 2015-2016 dependent special circumstance online
To use the services of a skilled PDF editor, follow these steps:
1
Register the account. Begin by clicking Start Free Trial and create a profile if you are a new user.
2
Prepare a file. Use the Add New button to start a new project. Then, using your device, upload your file to the system by importing it from internal mail, the cloud, or adding its URL.
3
Edit 2015-2016 dependent special circumstance. Replace text, adding objects, rearranging pages, and more. Then select the Documents tab to combine, divide, lock or unlock the file.
4
Get your file. When you find your file in the docs list, click on its name and choose how you want to save it. To get the PDF, you can save it, send an email with it, or move it to the cloud.
It's easier to work with documents with pdfFiller than you could have ever thought. You may try it out for yourself by signing up for an account.
Uncompromising security for your PDF editing and eSignature needs
Your private information is safe with pdfFiller. We employ end-to-end encryption, secure cloud storage, and advanced access control to protect your documents and maintain regulatory compliance.
How to fill out 2015-2016 dependent special circumstance
How to fill out 2015-2016 dependent special circumstance:
01
Gather all necessary documents and information related to your dependent's special circumstance. This may include medical records, financial statements, or any other supporting documentation.
02
Start by accessing the appropriate form for the 2015-2016 dependent special circumstance. This form is typically available on the website of the institution or organization you are applying to (such as a college or financial aid office).
03
Begin filling out the form by providing your personal information, such as your name, address, and contact details.
04
Next, provide information about your dependent, such as their name, age, and relationship to you.
05
Clearly explain the special circumstance that affects your dependent for the 2015-2016 period. This could include any significant changes in financial situation, medical expenses, sudden loss of income, or other relevant factors that may affect their ability to contribute financially.
06
Attach any required supporting documentation to substantiate the special circumstance you have described. Ensure that all documents are legible, accurate, and relevant to the situation.
07
Review all the entered information and attached documents to make sure everything is accurate and complete.
08
Finally, sign and date the form, and submit it as instructed by the organization or institution. Make sure to follow any additional instructions or guidelines provided by them.
Who needs 2015-2016 dependent special circumstance?
01
Individuals who have dependents and are applying for financial aid for the 2015-2016 academic year may need to fill out the 2015-2016 dependent special circumstance form.
02
Students who have experienced financial challenges or significant changes in their dependent's situation during the 2015-2016 period may need to submit this form to ensure their financial aid application accurately reflects their current circumstances.
03
Parents or guardians who want to provide additional information about their dependent's special circumstance for the 2015-2016 year may also need to complete this form as part of the financial aid application process.
Fill
form
: Try Risk Free
For pdfFiller’s FAQs
Below is a list of the most common customer questions. If you can’t find an answer to your question, please don’t hesitate to reach out to us.
How can I edit 2015-2016 dependent special circumstance from Google Drive?
Simplify your document workflows and create fillable forms right in Google Drive by integrating pdfFiller with Google Docs. The integration will allow you to create, modify, and eSign documents, including 2015-2016 dependent special circumstance, without leaving Google Drive. Add pdfFiller’s functionalities to Google Drive and manage your paperwork more efficiently on any internet-connected device.
How do I execute 2015-2016 dependent special circumstance online?
pdfFiller makes it easy to finish and sign 2015-2016 dependent special circumstance online. It lets you make changes to original PDF content, highlight, black out, erase, and write text anywhere on a page, legally eSign your form, and more, all from one place. Create a free account and use the web to keep track of professional documents.
How do I fill out 2015-2016 dependent special circumstance on an Android device?
Complete your 2015-2016 dependent special circumstance and other papers on your Android device by using the pdfFiller mobile app. The program includes all of the necessary document management tools, such as editing content, eSigning, annotating, sharing files, and so on. You will be able to view your papers at any time as long as you have an internet connection.
What is dependent special circumstance review?
Dependent special circumstance review is a process to assess and report any changes in dependency status that may impact financial aid eligibility.
Who is required to file dependent special circumstance review?
Dependent students who experience changes in dependency status are required to file dependent special circumstance review.
How to fill out dependent special circumstance review?
Dependent special circumstance review can be filled out online through the financial aid office website or by requesting a paper form from the office.
What is the purpose of dependent special circumstance review?
The purpose of dependent special circumstance review is to ensure accurate determination of financial aid eligibility based on current dependency status.
What information must be reported on dependent special circumstance review?
Dependent special circumstance review requires reporting any changes in household or family income, dependency status, or other relevant financial information.
Fill out your 2015-2016 dependent special circumstance online with pdfFiller!
pdfFiller is an end-to-end solution for managing, creating, and editing documents and forms in the cloud. Save time and hassle by preparing your tax forms online.
2015-2016 Dependent Special Circumstance is not the form you're looking for?Search for another form here.
Relevant keywords
Related Forms
If you believe that this page should be taken down, please follow our DMCA take down process
here
.
This form may include fields for payment information. Data entered in these fields is not covered by PCI DSS compliance.