
Get the free Checklist for Adult Sponsor 1 - SciTech Festival - scitechfestival
Show details
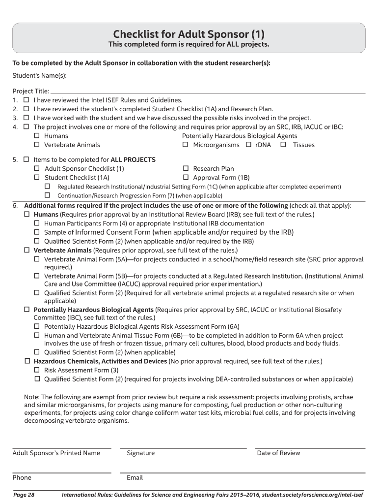
Checklist for Adult Sponsor (1) This completed form is required for ALL projects. To be completed by the Adult Sponsor in collaboration with the student researcher(s): Students Name(s): Project Title:
We are not affiliated with any brand or entity on this form
Get, Create, Make and Sign checklist for adult sponsor

Edit your checklist for adult sponsor form online
Type text, complete fillable fields, insert images, highlight or blackout data for discretion, add comments, and more.

Add your legally-binding signature
Draw or type your signature, upload a signature image, or capture it with your digital camera.

Share your form instantly
Email, fax, or share your checklist for adult sponsor form via URL. You can also download, print, or export forms to your preferred cloud storage service.
How to edit checklist for adult sponsor online
Use the instructions below to start using our professional PDF editor:
1
Log in to account. Start Free Trial and register a profile if you don't have one yet.
2
Prepare a file. Use the Add New button to start a new project. Then, using your device, upload your file to the system by importing it from internal mail, the cloud, or adding its URL.
3
Edit checklist for adult sponsor. Replace text, adding objects, rearranging pages, and more. Then select the Documents tab to combine, divide, lock or unlock the file.
4
Get your file. Select the name of your file in the docs list and choose your preferred exporting method. You can download it as a PDF, save it in another format, send it by email, or transfer it to the cloud.
With pdfFiller, it's always easy to work with documents. Try it!
Uncompromising security for your PDF editing and eSignature needs
Your private information is safe with pdfFiller. We employ end-to-end encryption, secure cloud storage, and advanced access control to protect your documents and maintain regulatory compliance.
How to fill out checklist for adult sponsor

How to fill out checklist for adult sponsor:
01
Gather all necessary documents: Begin by collecting all the required documents for the adult sponsor checklist. This may include identification documents, proof of financial stability, and any other specific requirements outlined by the organization or institution.
02
Carefully review the checklist: Thoroughly read through the checklist to ensure you understand each item and what is being asked of you. Familiarize yourself with any specific instructions or guidelines provided.
03
Provide accurate information: Complete the checklist by filling in all the required information accurately and truthfully. Double-check your responses to avoid any errors or omissions.
04
Attach supporting documents: If the checklist requires any supporting documents, make sure to include them along with the completed checklist. This could be additional identification, character references, or any other relevant paperwork.
05
Review and proofread: Before submitting the checklist, review all the information you have provided to ensure it is complete and accurate. Proofread for any spelling or grammatical errors.
Who needs checklist for adult sponsor?
01
Individuals sponsoring a minor: If you are an adult who intends to sponsor a minor for various purposes such as travel, education, or adoption, you will likely need to fill out an adult sponsor checklist. This checklist helps ensure the sponsor meets the necessary requirements and responsibilities.
02
Organizations or institutions: Some organizations or institutions may require any adult sponsors associated with their programs or events to complete a checklist. This helps ensure that sponsors fulfill certain obligations, such as providing financial support or acting as a responsible guardian.
03
Legal entities: In certain legal situations, such as immigration procedures or court cases involving minors, adult sponsors may need to fill out a checklist to demonstrate their capability and suitability as a sponsor.
It's important to note that the specific individuals or entities that require an adult sponsor checklist may vary depending on the purpose and jurisdiction. It is always best to consult the relevant organization or institution to confirm if you need to complete this document.
Fill
form
: Try Risk Free
For pdfFiller’s FAQs
Below is a list of the most common customer questions. If you can’t find an answer to your question, please don’t hesitate to reach out to us.
Can I create an electronic signature for signing my checklist for adult sponsor in Gmail?
With pdfFiller's add-on, you may upload, type, or draw a signature in Gmail. You can eSign your checklist for adult sponsor and other papers directly in your mailbox with pdfFiller. To preserve signed papers and your personal signatures, create an account.
How do I edit checklist for adult sponsor straight from my smartphone?
The pdfFiller apps for iOS and Android smartphones are available in the Apple Store and Google Play Store. You may also get the program at https://edit-pdf-ios-android.pdffiller.com/. Open the web app, sign in, and start editing checklist for adult sponsor.
How can I fill out checklist for adult sponsor on an iOS device?
pdfFiller has an iOS app that lets you fill out documents on your phone. A subscription to the service means you can make an account or log in to one you already have. As soon as the registration process is done, upload your checklist for adult sponsor. You can now use pdfFiller's more advanced features, like adding fillable fields and eSigning documents, as well as accessing them from any device, no matter where you are in the world.
What is checklist for adult sponsor?
Checklist for adult sponsor is a form that must be filled out by an adult who will be sponsoring a minor for immigration purposes.
Who is required to file checklist for adult sponsor?
The adult sponsor who will be sponsoring a minor for immigration purposes is required to file the checklist.
How to fill out checklist for adult sponsor?
The checklist for adult sponsor must be filled out completely and accurately, providing all requested information and supporting documents.
What is the purpose of checklist for adult sponsor?
The purpose of the checklist for adult sponsor is to ensure that the sponsor is capable of supporting the minor financially and providing a stable living environment.
What information must be reported on checklist for adult sponsor?
Information such as the sponsor's income, employment status, relationship to the minor, and living arrangements must be reported on the checklist.
Fill out your checklist for adult sponsor online with pdfFiller!
pdfFiller is an end-to-end solution for managing, creating, and editing documents and forms in the cloud. Save time and hassle by preparing your tax forms online.

Checklist For Adult Sponsor is not the form you're looking for?Search for another form here.
Relevant keywords
Related Forms
If you believe that this page should be taken down, please follow our DMCA take down process
here
.
This form may include fields for payment information. Data entered in these fields is not covered by PCI DSS compliance.