Get the free Human Subject and Exemption Determination Checklist For OUSD
Show details
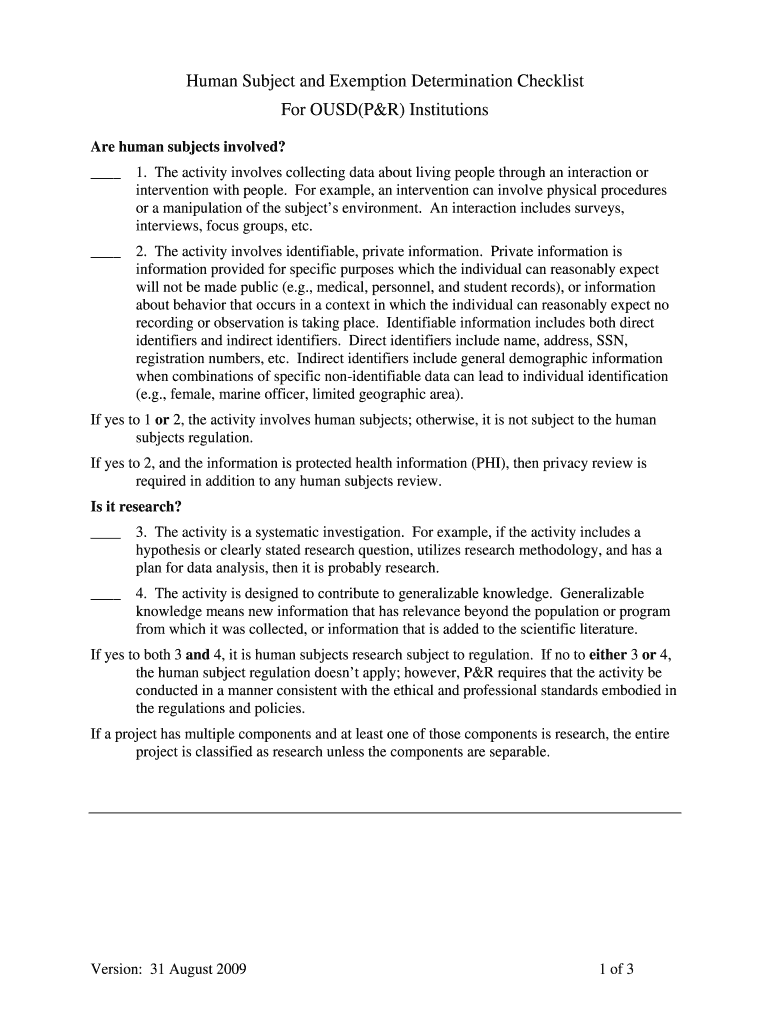
Human Subject and Exemption Determination Checklist For OUST(P&R) Institutions Are human subjects involved? 1. The activity involves collecting data about living people through an interaction or intervention
We are not affiliated with any brand or entity on this form
Get, Create, Make and Sign human subject and exemption
Edit your human subject and exemption form online
Type text, complete fillable fields, insert images, highlight or blackout data for discretion, add comments, and more.
Add your legally-binding signature
Draw or type your signature, upload a signature image, or capture it with your digital camera.
Share your form instantly
Email, fax, or share your human subject and exemption form via URL. You can also download, print, or export forms to your preferred cloud storage service.
How to edit human subject and exemption online
Follow the guidelines below to benefit from the PDF editor's expertise:
1
Register the account. Begin by clicking Start Free Trial and create a profile if you are a new user.
2
Upload a file. Select Add New on your Dashboard and upload a file from your device or import it from the cloud, online, or internal mail. Then click Edit.
3
Edit human subject and exemption. Add and change text, add new objects, move pages, add watermarks and page numbers, and more. Then click Done when you're done editing and go to the Documents tab to merge or split the file. If you want to lock or unlock the file, click the lock or unlock button.
4
Get your file. Select your file from the documents list and pick your export method. You may save it as a PDF, email it, or upload it to the cloud.
pdfFiller makes dealing with documents a breeze. Create an account to find out!
Uncompromising security for your PDF editing and eSignature needs
Your private information is safe with pdfFiller. We employ end-to-end encryption, secure cloud storage, and advanced access control to protect your documents and maintain regulatory compliance.
How to fill out human subject and exemption
How to fill out human subject and exemption?
01
Familiarize yourself with the purpose and regulations: It is important to understand the purpose and regulations surrounding human subject and exemption forms. Familiarize yourself with any guidelines or requirements set forth by the relevant governing bodies or institutions.
02
Determine if your research involves human subjects: Review your research project and determine if it involves interactions or interventions with human participants. If it does, you will likely need to fill out a human subject and exemption form.
03
Obtain the necessary forms: Contact your institution's research office or review their website to obtain the specific human subject and exemption forms required. These forms may vary depending on the country, institution, or type of research.
04
Provide detailed information: Fill out the form accurately and provide detailed information about your research project. This may include the purpose of the study, description of the methods, anticipated risks, benefits, and protections for the human participants, as well as any potential conflicts of interest.
05
Seek guidance and approval: If you are uncertain about any aspect of the form or the information to be included, seek guidance from your research supervisor, ethics committee, or the institution's research office. It is important to ensure that your completed form meets all the necessary requirements for approval.
Who needs human subject and exemption?
01
Researchers conducting studies involving human participants: Any researchers who are conducting studies that involve interactions, interventions, or data collection from human participants needs to consider and fill out human subject and exemption forms. This applies across various fields of study, including social sciences, medical research, psychology, and more.
02
Institutions and organizations: Institutions, such as universities, hospitals, and research centers, often require researchers to obtain approval by submitting human subject and exemption forms. This is to ensure that research involving human participants adhere to ethical and legal standards, protecting the rights and well-being of the individuals involved.
03
Ethical review boards and regulatory bodies: Ethical review boards and regulatory bodies oversee and evaluate research involving human participants. They rely on the information provided in human subject and exemption forms to assess the ethical considerations, potential risks, and safeguards in place for human participants.
In summary, filling out human subject and exemption forms requires a thorough understanding of the purpose and regulations, accurately providing detailed information about the research project, seeking guidance if needed, and obtaining approval. Researchers and institutions involved in studies with human participants and ethical review boards or regulatory bodies all play a role in ensuring compliance with ethical standards.
Fill
form
: Try Risk Free
For pdfFiller’s FAQs
Below is a list of the most common customer questions. If you can’t find an answer to your question, please don’t hesitate to reach out to us.
How can I manage my human subject and exemption directly from Gmail?
It's easy to use pdfFiller's Gmail add-on to make and edit your human subject and exemption and any other documents you get right in your email. You can also eSign them. Take a look at the Google Workspace Marketplace and get pdfFiller for Gmail. Get rid of the time-consuming steps and easily manage your documents and eSignatures with the help of an app.
How do I execute human subject and exemption online?
pdfFiller has made filling out and eSigning human subject and exemption easy. The solution is equipped with a set of features that enable you to edit and rearrange PDF content, add fillable fields, and eSign the document. Start a free trial to explore all the capabilities of pdfFiller, the ultimate document editing solution.
How do I fill out the human subject and exemption form on my smartphone?
Use the pdfFiller mobile app to complete and sign human subject and exemption on your mobile device. Visit our web page (https://edit-pdf-ios-android.pdffiller.com/) to learn more about our mobile applications, the capabilities you’ll have access to, and the steps to take to get up and running.
What is human subject and exemption?
Human subject and exemption refers to the process of seeking permission or approval for using human subjects in research studies, and applying for exemption if the research meets certain criteria.
Who is required to file human subject and exemption?
Researchers or institutions conducting research involving human subjects are required to file human subject and exemption forms.
How to fill out human subject and exemption?
Researchers can fill out human subject and exemption forms by providing detailed information about their study, potential risks to participants, and measures taken to protect participants.
What is the purpose of human subject and exemption?
The purpose of human subject and exemption is to ensure the ethical treatment of human subjects in research studies, and to protect their rights and well-being.
What information must be reported on human subject and exemption?
Information such as study aims, participant recruitment process, potential risks and benefits, informed consent process, and data protection measures must be reported on human subject and exemption forms.
Fill out your human subject and exemption online with pdfFiller!
pdfFiller is an end-to-end solution for managing, creating, and editing documents and forms in the cloud. Save time and hassle by preparing your tax forms online.
Human Subject And Exemption is not the form you're looking for?Search for another form here.
Relevant keywords
Related Forms
If you believe that this page should be taken down, please follow our DMCA take down process
here
.
This form may include fields for payment information. Data entered in these fields is not covered by PCI DSS compliance.