
Get the free Western Interstate Commission for Higher Education - ide sreb
Show details
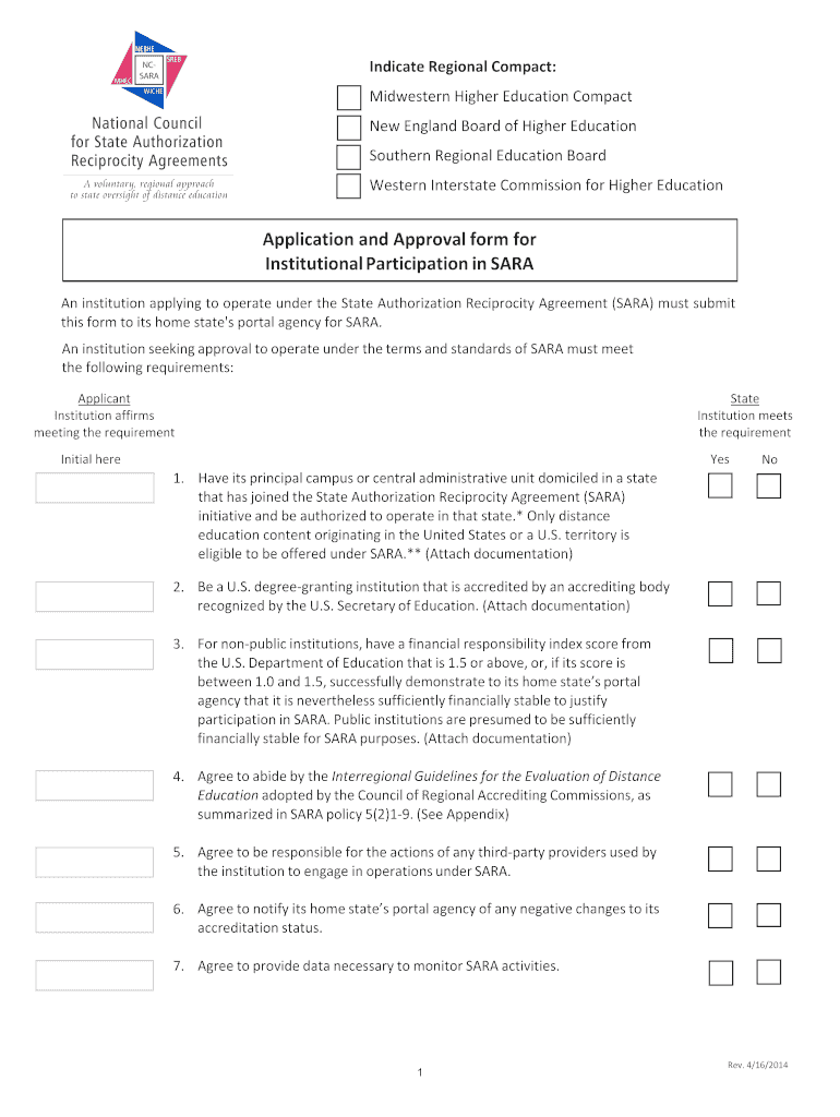
Indicate Regional Compact: Midwestern Higher Education Compact New England Board of Higher Education Southern Regional Education Board Western Interstate Commission for Higher Education Application
We are not affiliated with any brand or entity on this form
Get, Create, Make and Sign western interstate commission for

Edit your western interstate commission for form online
Type text, complete fillable fields, insert images, highlight or blackout data for discretion, add comments, and more.

Add your legally-binding signature
Draw or type your signature, upload a signature image, or capture it with your digital camera.

Share your form instantly
Email, fax, or share your western interstate commission for form via URL. You can also download, print, or export forms to your preferred cloud storage service.
How to edit western interstate commission for online
Use the instructions below to start using our professional PDF editor:
1
Register the account. Begin by clicking Start Free Trial and create a profile if you are a new user.
2
Upload a file. Select Add New on your Dashboard and upload a file from your device or import it from the cloud, online, or internal mail. Then click Edit.
3
Edit western interstate commission for. Rearrange and rotate pages, add new and changed texts, add new objects, and use other useful tools. When you're done, click Done. You can use the Documents tab to merge, split, lock, or unlock your files.
4
Get your file. Select your file from the documents list and pick your export method. You may save it as a PDF, email it, or upload it to the cloud.
It's easier to work with documents with pdfFiller than you could have believed. You may try it out for yourself by signing up for an account.
Uncompromising security for your PDF editing and eSignature needs
Your private information is safe with pdfFiller. We employ end-to-end encryption, secure cloud storage, and advanced access control to protect your documents and maintain regulatory compliance.
How to fill out western interstate commission for

How to fill out western interstate commission for:
01
Start by visiting the official website of the Western Interstate Commission for (WICHE). This organization facilitates resource sharing among member states in the western region of the United States.
02
Locate and download the appropriate form for the western interstate commission. The specific form will depend on the purpose for which you are seeking assistance from WICHE.
03
Carefully read the instructions provided with the form. These instructions will guide you through the process of filling out the form correctly.
04
Begin by entering your personal information in the designated fields. This may include your name, address, contact details, and any relevant identification numbers.
05
If required, provide details about your academic background, such as educational institutions attended and degrees obtained. This information helps WICHE evaluate your eligibility for certain programs or services.
06
Complete any additional sections specific to the purpose of your application. This could include details about the program or initiative you wish to participate in, financial information, or any other pertinent information requested by WICHE.
07
Ensure that all sections of the form are filled out completely and accurately. Double-check for any errors or omissions before submitting the form.
08
If required, gather any supporting documents requested by WICHE. These might include transcripts, letters of recommendation, or financial statements. Make sure to attach them securely to your application.
09
Review the submission process mentioned in the instructions. It may involve mailing the completed form and supporting documents or submitting them electronically through an online portal.
10
After submitting the form, keep a copy for your records. If necessary, follow up with WICHE regarding the status of your application.
Who needs western interstate commission for:
01
Students and professionals considering higher education opportunities in another member state may need the Western Interstate Commission for assistance. WICHE offers various programs and initiatives aimed at easing the academic and financial burdens of pursuing education out of state.
02
Institutions or organizations involved in higher education can also benefit from WICHE's services. They may seek collaboration or resources through WICHE's programs to enhance the quality of education provided.
03
Policy makers and researchers in the field of higher education can utilize the Western Interstate Commission for as a valuable resource for data analysis, research findings, and policy recommendations.
04
Students and professionals interested in healthcare-related programs can explore WICHE's offerings, such as professional licensure compacts and initiatives addressing healthcare workforce shortages.
05
Individuals seeking affordable options for accessing higher education or professional development opportunities may find assistance through WICHE's programs, such as the Western Undergraduate Exchange (WUE) that offers reduced tuition rates for out-of-state students.
It is important to note that the specific needs for WICHE's services may vary depending on the individual or organization and their particular circumstances. Therefore, it is advisable to consult WICHE's website or contact their representatives directly for personalized guidance.
Fill
form
: Try Risk Free
For pdfFiller’s FAQs
Below is a list of the most common customer questions. If you can’t find an answer to your question, please don’t hesitate to reach out to us.
How can I send western interstate commission for to be eSigned by others?
Once your western interstate commission for is ready, you can securely share it with recipients and collect eSignatures in a few clicks with pdfFiller. You can send a PDF by email, text message, fax, USPS mail, or notarize it online - right from your account. Create an account now and try it yourself.
How do I edit western interstate commission for online?
pdfFiller not only lets you change the content of your files, but you can also change the number and order of pages. Upload your western interstate commission for to the editor and make any changes in a few clicks. The editor lets you black out, type, and erase text in PDFs. You can also add images, sticky notes, and text boxes, as well as many other things.
Can I create an electronic signature for signing my western interstate commission for in Gmail?
You may quickly make your eSignature using pdfFiller and then eSign your western interstate commission for right from your mailbox using pdfFiller's Gmail add-on. Please keep in mind that in order to preserve your signatures and signed papers, you must first create an account.
What is western interstate commission for?
The Western Interstate Commission for Higher Education (WICHE) is an organization that facilitates regional cooperation and resource sharing among Western states.
Who is required to file western interstate commission for?
Member institutions of WICHE are required to file the interstate commission.
How to fill out western interstate commission for?
To fill out the interstate commission, member institutions can visit the WICHE website and follow the instructions provided.
What is the purpose of western interstate commission for?
The purpose of the interstate commission is to promote cooperation and collaboration among Western states in higher education.
What information must be reported on western interstate commission for?
Member institutions are required to report on enrollment numbers, program offerings, and other relevant data.
Fill out your western interstate commission for online with pdfFiller!
pdfFiller is an end-to-end solution for managing, creating, and editing documents and forms in the cloud. Save time and hassle by preparing your tax forms online.

Western Interstate Commission For is not the form you're looking for?Search for another form here.
Relevant keywords
Related Forms
If you believe that this page should be taken down, please follow our DMCA take down process
here
.
This form may include fields for payment information. Data entered in these fields is not covered by PCI DSS compliance.