Get the free Facility Tour Confidentiality and Non-Disclosure Agreement - swmoa
Show details
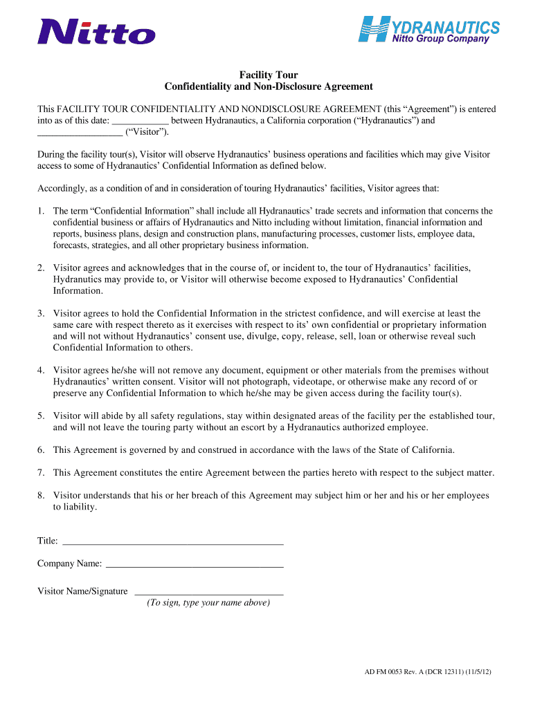
Facility Tour Confidentiality and Nondisclosure Agreement This FACILITY TOUR CONFIDENTIALITY AND NONDISCLOSURE AGREEMENT (this Agreement) is entered into as of this date: between Hydraulics, a California
We are not affiliated with any brand or entity on this form
Get, Create, Make and Sign facility tour confidentiality and
Edit your facility tour confidentiality and form online
Type text, complete fillable fields, insert images, highlight or blackout data for discretion, add comments, and more.
Add your legally-binding signature
Draw or type your signature, upload a signature image, or capture it with your digital camera.
Share your form instantly
Email, fax, or share your facility tour confidentiality and form via URL. You can also download, print, or export forms to your preferred cloud storage service.
How to edit facility tour confidentiality and online
Follow the guidelines below to use a professional PDF editor:
1
Log in to account. Click Start Free Trial and register a profile if you don't have one yet.
2
Simply add a document. Select Add New from your Dashboard and import a file into the system by uploading it from your device or importing it via the cloud, online, or internal mail. Then click Begin editing.
3
Edit facility tour confidentiality and. Rearrange and rotate pages, add new and changed texts, add new objects, and use other useful tools. When you're done, click Done. You can use the Documents tab to merge, split, lock, or unlock your files.
4
Save your file. Select it from your list of records. Then, move your cursor to the right toolbar and choose one of the exporting options. You can save it in multiple formats, download it as a PDF, send it by email, or store it in the cloud, among other things.
Dealing with documents is always simple with pdfFiller. Try it right now
Uncompromising security for your PDF editing and eSignature needs
Your private information is safe with pdfFiller. We employ end-to-end encryption, secure cloud storage, and advanced access control to protect your documents and maintain regulatory compliance.
How to fill out facility tour confidentiality and
How to fill out facility tour confidentiality and:
01
Begin by obtaining a copy of the facility tour confidentiality form. This document is typically provided by the organization or facility conducting the tours.
02
Read through the form carefully to understand the purpose and requirements of the confidentiality agreement. It is essential to comprehend what information needs to be kept confidential and the obligations that come with signing the agreement.
03
Fill in your personal details such as your name, contact information, and any other requested identification information. Ensure that all information is accurate and up to date.
04
Review the terms and conditions of the confidentiality agreement thoroughly. Pay close attention to any specific instructions or restrictions mentioned in the form.
05
If there are any clauses or phrases that you do not understand, seek clarification from the appropriate authorities or legal team before proceeding further.
06
Sign and date the form at the designated spaces to indicate your acceptance of the terms and conditions. By signing, you are acknowledging your understanding and commitment to maintaining confidentiality during the facility tour.
07
Make a copy of the completed form for your records, if necessary or requested by the organization. It is always prudent to keep a copy of any signed document for future reference.
Who needs facility tour confidentiality and:
01
Employees or staff members who are involved in providing or conducting facility tours may require facility tour confidentiality agreements. This may include tour guides, educators, or other individuals responsible for showcasing the facility's amenities or features.
02
Visitors, guests, or participants who are granted access to restricted areas during the facility tour may also need to sign a confidentiality agreement. This ensures that the sensitive information they encounter during the tour remains confidential.
03
Contractors, vendors, or suppliers who have access to confidential information or trade secrets of the facility during the tour might be required to sign a facility tour confidentiality agreement. It is essential to protect the intellectual property and proprietary knowledge of the organization.
04
Any individual or entity granted access to confidential information during a facility tour should consider signing a confidentiality agreement. This helps maintain trust and credibility between the parties involved and ensures the protection of information shared during the tour.
Fill
form
: Try Risk Free
For pdfFiller’s FAQs
Below is a list of the most common customer questions. If you can’t find an answer to your question, please don’t hesitate to reach out to us.
How can I manage my facility tour confidentiality and directly from Gmail?
pdfFiller’s add-on for Gmail enables you to create, edit, fill out and eSign your facility tour confidentiality and and any other documents you receive right in your inbox. Visit Google Workspace Marketplace and install pdfFiller for Gmail. Get rid of time-consuming steps and manage your documents and eSignatures effortlessly.
Where do I find facility tour confidentiality and?
It's simple using pdfFiller, an online document management tool. Use our huge online form collection (over 25M fillable forms) to quickly discover the facility tour confidentiality and. Open it immediately and start altering it with sophisticated capabilities.
Can I edit facility tour confidentiality and on an iOS device?
Use the pdfFiller app for iOS to make, edit, and share facility tour confidentiality and from your phone. Apple's store will have it up and running in no time. It's possible to get a free trial and choose a subscription plan that fits your needs.
What is facility tour confidentiality and?
Facility tour confidentiality ensures that any information, discussions, or observations made during a facility tour are to be kept confidential.
Who is required to file facility tour confidentiality and?
Anyone who participates in a facility tour is required to file a facility tour confidentiality agreement.
How to fill out facility tour confidentiality and?
You can fill out a facility tour confidentiality agreement by providing your contact information and signing the agreement to confirm that you will keep tour details confidential.
What is the purpose of facility tour confidentiality and?
The purpose of facility tour confidentiality is to protect sensitive information and maintain privacy for the visited facility.
What information must be reported on facility tour confidentiality and?
Information such as discussions, observations, and any insights gained from the facility tour must be reported on the facility tour confidentiality agreement.
Fill out your facility tour confidentiality and online with pdfFiller!
pdfFiller is an end-to-end solution for managing, creating, and editing documents and forms in the cloud. Save time and hassle by preparing your tax forms online.
Facility Tour Confidentiality And is not the form you're looking for?Search for another form here.
Relevant keywords
If you believe that this page should be taken down, please follow our DMCA take down process
here
.
This form may include fields for payment information. Data entered in these fields is not covered by PCI DSS compliance.