
Get the free HAWAII INFORMATION SERVICE
Show details
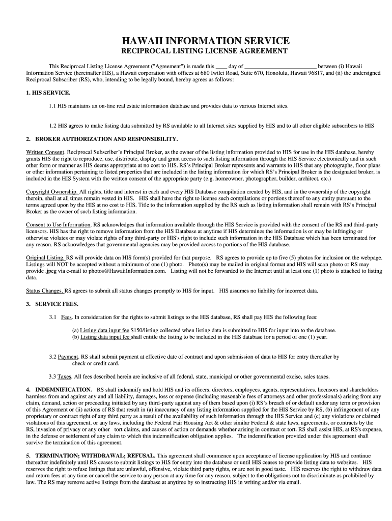
HAWAII INFORMATION SERVICE RECIPROCAL LISTING LICENSE AGREEMENT This Reciprocal Listing License Agreement (“Agreement “) is made this day of between (i) Hawaii Information Service (hereinafter
We are not affiliated with any brand or entity on this form
Get, Create, Make and Sign hawaii information service

Edit your hawaii information service form online
Type text, complete fillable fields, insert images, highlight or blackout data for discretion, add comments, and more.

Add your legally-binding signature
Draw or type your signature, upload a signature image, or capture it with your digital camera.

Share your form instantly
Email, fax, or share your hawaii information service form via URL. You can also download, print, or export forms to your preferred cloud storage service.
Editing hawaii information service online
To use our professional PDF editor, follow these steps:
1
Log into your account. It's time to start your free trial.
2
Prepare a file. Use the Add New button. Then upload your file to the system from your device, importing it from internal mail, the cloud, or by adding its URL.
3
Edit hawaii information service. Add and change text, add new objects, move pages, add watermarks and page numbers, and more. Then click Done when you're done editing and go to the Documents tab to merge or split the file. If you want to lock or unlock the file, click the lock or unlock button.
4
Save your file. Select it from your list of records. Then, move your cursor to the right toolbar and choose one of the exporting options. You can save it in multiple formats, download it as a PDF, send it by email, or store it in the cloud, among other things.
It's easier to work with documents with pdfFiller than you could have believed. You may try it out for yourself by signing up for an account.
Uncompromising security for your PDF editing and eSignature needs
Your private information is safe with pdfFiller. We employ end-to-end encryption, secure cloud storage, and advanced access control to protect your documents and maintain regulatory compliance.
How to fill out hawaii information service

How to fill out Hawaii Information Service:
01
Visit the Hawaii Information Service website.
02
Sign in or create an account if you don't have one.
03
Navigate to the section for filling out information.
04
Start by providing your personal details such as name, address, and contact information.
05
Follow the instructions to enter any relevant business or professional information.
06
Fill in any additional fields required, such as your preferred method of communication or newsletters you would like to subscribe to.
07
Review all the information you have entered to ensure accuracy.
08
Submit the form and wait for a confirmation or acknowledgment of your submission.
09
If necessary, make any updates or changes to your information in the future.
Who needs Hawaii Information Service:
01
Real Estate Agents: Hawaii Information Service provides a comprehensive database of listings, market trends, and real estate data, making it an essential tool for agents who want to stay informed and offer the best service to their clients.
02
Homebuyers and Sellers: Individuals looking to buy or sell property in Hawaii can benefit from using the Hawaii Information Service to browse available listings, conduct research on market trends, and find the right property for their needs.
03
Rental Property Owners: Landlords and property managers can utilize the Hawaii Information Service to advertise their rental properties, screen potential tenants, and manage their rental business more efficiently.
04
Investors: Whether you're investing in residential or commercial properties in Hawaii, the Hawaii Information Service offers valuable resources and data to help you make informed decisions about your investment strategy.
05
Appraisers and Assessors: Professionals in the field of property appraisal and assessment can rely on the Hawaii Information Service to access property data, sales history, and property valuation tools to support their work.
06
Mortgage Lenders: Lenders who specialize in providing financing for properties in Hawaii can benefit from using the Hawaii Information Service to gather essential data and market insights when assessing loan applications and determining property values.
07
Anyone Interested in Hawaii Real Estate: Even if you're not directly involved in the real estate industry, if you have an interest in Hawaii's real estate market, the Hawaii Information Service can provide you with valuable information, trends, and insights to stay updated and make informed decisions.
Fill
form
: Try Risk Free
For pdfFiller’s FAQs
Below is a list of the most common customer questions. If you can’t find an answer to your question, please don’t hesitate to reach out to us.
How do I modify my hawaii information service in Gmail?
The pdfFiller Gmail add-on lets you create, modify, fill out, and sign hawaii information service and other documents directly in your email. Click here to get pdfFiller for Gmail. Eliminate tedious procedures and handle papers and eSignatures easily.
How can I send hawaii information service for eSignature?
hawaii information service is ready when you're ready to send it out. With pdfFiller, you can send it out securely and get signatures in just a few clicks. PDFs can be sent to you by email, text message, fax, USPS mail, or notarized on your account. You can do this right from your account. Become a member right now and try it out for yourself!
How do I make edits in hawaii information service without leaving Chrome?
Download and install the pdfFiller Google Chrome Extension to your browser to edit, fill out, and eSign your hawaii information service, which you can open in the editor with a single click from a Google search page. Fillable documents may be executed from any internet-connected device without leaving Chrome.
What is hawaii information service?
Hawaii Information Service is a company that provides real estate technology solutions and services in the state of Hawaii.
Who is required to file hawaii information service?
Real estate agents and brokers in Hawaii are required to file Hawaii Information Service.
How to fill out hawaii information service?
To fill out Hawaii Information Service, real estate agents and brokers can access the online platform provided by the company and enter relevant property information.
What is the purpose of hawaii information service?
The purpose of Hawaii Information Service is to provide a centralized platform for real estate listings, sales data, and market information in Hawaii.
What information must be reported on hawaii information service?
Real estate agents and brokers must report property details, sales information, and market trends on Hawaii Information Service.
Fill out your hawaii information service online with pdfFiller!
pdfFiller is an end-to-end solution for managing, creating, and editing documents and forms in the cloud. Save time and hassle by preparing your tax forms online.

Hawaii Information Service is not the form you're looking for?Search for another form here.
Relevant keywords
Related Forms
If you believe that this page should be taken down, please follow our DMCA take down process
here
.
This form may include fields for payment information. Data entered in these fields is not covered by PCI DSS compliance.