Form preview

Get the free Exhibitor Media Policy - PAS - pas

Get Form
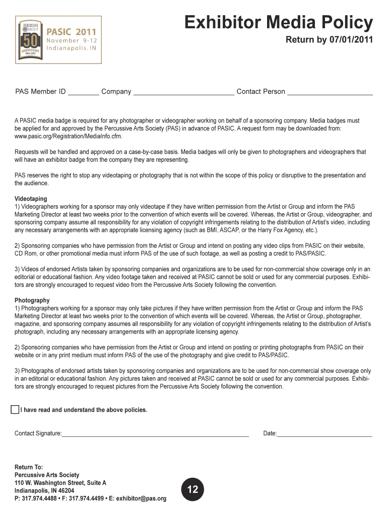
BASIC 2011 Exhibitor Media Policy Return by 07/01/2011 November 912 Indianapolis. IN PAS Member ID Company Contact Person A BASIC media badge is required for any photographer or videographer working
We are not affiliated with any brand or entity on this form

Get, Create, Make and Sign exhibitor media policy

Edit
Edit your exhibitor media policy form online
Type text, complete fillable fields, insert images, highlight or blackout data for discretion, add comments, and more.
Add
Add your legally-binding signature
Draw or type your signature, upload a signature image, or capture it with your digital camera.
Share
Share your form instantly
Email, fax, or share your exhibitor media policy form via URL. You can also download, print, or export forms to your preferred cloud storage service.

Editing exhibitor media policy online

9.5
Ease of Setup
pdfFiller User Ratings on G2
9.0
Ease of Use
pdfFiller User Ratings on G2
Here are the steps you need to follow to get started with our professional PDF editor:
1
Register the account. Begin by clicking Start Free Trial and create a profile if you are a new user.
2
Upload a document. Select Add New on your Dashboard and transfer a file into the system in one of the following ways: by uploading it from your device or importing from the cloud, web, or internal mail. Then, click Start editing.
3
Edit exhibitor media policy. Rearrange and rotate pages, add and edit text, and use additional tools. To save changes and return to your Dashboard, click Done. The Documents tab allows you to merge, divide, lock, or unlock files.
4
Save your file. Select it in the list of your records. Then, move the cursor to the right toolbar and choose one of the available exporting methods: save it in multiple formats, download it as a PDF, send it by email, or store it in the cloud.
With pdfFiller, dealing with documents is always straightforward.

Uncompromising security for your PDF editing and eSignature needs

Your private information is safe with pdfFiller. We employ end-to-end encryption, secure cloud storage, and advanced access control to protect your documents and maintain regulatory compliance.
GDPR
AICPA SOC 2
PCI
HIPAA
CCPA
FDA

How to fill out exhibitor media policy

Illustration

How to fill out exhibitor media policy:

01
Begin by carefully reviewing the exhibitor media policy provided by the event organizers. Make sure you understand all the rules, guidelines, and expectations outlined in the policy.
02
Fill out the necessary contact information section of the exhibitor media policy form. Include your company name, individual responsible for media relations, and relevant contact details such as phone number and email address.
03
Familiarize yourself with the media access and privileges section of the policy. Determine what type of media access you require and indicate it clearly in the form. This could include requests for press passes, exclusive interviews, or additional media coverage.
04
If there are any specific rules or restrictions mentioned in the policy regarding the use of cameras, video equipment, or recording devices, make sure to read them carefully. Ensure that you comply with these rules and indicate your understanding and adherence in the form.
05
Consider any special requests or additional needs that your company may have related to media coverage. These could include requirements for on-site press conferences, media kits, or audiovisual support. Clearly outline these requests in the appropriate section of the form.
06
Review any accompanying documents or guidelines provided by the event organizers, such as specific procedures for media check-in or designated media areas. Make sure you are aware of and comply with these instructions.

Who needs exhibitor media policy:

01
Exhibitors participating in trade shows, conferences, or other public events where media coverage is expected or allowed should have an exhibitor media policy. This policy ensures that exhibitors understand and adhere to the rules, regulations, and guidelines set by event organizers regarding media interactions.
02
Companies or individuals who wish to actively engage with the media during an event, whether it be through interviews, product demonstrations, or press releases, should adopt an exhibitor media policy. This policy serves as a framework to manage media interactions effectively and protect the interests of the exhibitor.
03
Exhibitors who want to capitalize on media coverage to increase brand visibility, generate publicity, or attract potential customers and partners should have an exhibitor media policy. This policy helps ensure that media interactions align with the exhibitor's goals and maintain a positive brand image.
Fill form : Try Risk Free
Users Most Likely To Recommend - Summer 2025
Grid Leader in Small-Business - Summer 2025
High Performer - Summer 2025
Regional Leader - Summer 2025
Easiest To Do Business With - Summer 2025
Best Meets Requirements- Summer 2025
Rate the form
4.0
Satisfied
29 Votes

For pdfFiller’s FAQs

Below is a list of the most common customer questions. If you can’t find an answer to your question, please don’t hesitate to reach out to us.

Adding the pdfFiller Google Chrome Extension to your web browser will allow you to start editing exhibitor media policy and other documents right away when you search for them on a Google page. People who use Chrome can use the service to make changes to their files while they are on the Chrome browser. pdfFiller lets you make fillable documents and make changes to existing PDFs from any internet-connected device.
The pdfFiller mobile app makes it simple to design and fill out legal paperwork. Complete and sign exhibitor media policy and other papers using the app. Visit pdfFiller's website to learn more about the PDF editor's features.
You can make any changes to PDF files, like exhibitor media policy, with the help of the pdfFiller Android app. Edit, sign, and send documents right from your phone or tablet. You can use the app to make document management easier wherever you are.
Fill out your exhibitor media policy online with pdfFiller!

pdfFiller is an end-to-end solution for managing, creating, and editing documents and forms in the cloud. Save time and hassle by preparing your tax forms online.

Get started now
Form preview
If you believe that this page should be taken down, please follow our DMCA take down process here .
This form may include fields for payment information. Data entered in these fields is not covered by PCI DSS compliance.