
Get the free Table 1 The 18 Public Health Identifiers Identifiers - medschool lsuhsc
Show details
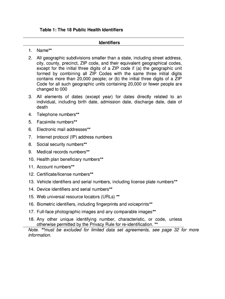
Table 1: The 18 Public Health Identifiers 1. Name** 2. All geographic subdivisions smaller than a state, including street address, city, county, precinct, ZIP code, and their equivalent geographical
We are not affiliated with any brand or entity on this form
Get, Create, Make and Sign table 1 form 18

Edit your table 1 form 18 form online
Type text, complete fillable fields, insert images, highlight or blackout data for discretion, add comments, and more.

Add your legally-binding signature
Draw or type your signature, upload a signature image, or capture it with your digital camera.

Share your form instantly
Email, fax, or share your table 1 form 18 form via URL. You can also download, print, or export forms to your preferred cloud storage service.
How to edit table 1 form 18 online
To use our professional PDF editor, follow these steps:
1
Log in. Click Start Free Trial and create a profile if necessary.
2
Upload a document. Select Add New on your Dashboard and transfer a file into the system in one of the following ways: by uploading it from your device or importing from the cloud, web, or internal mail. Then, click Start editing.
3
Edit table 1 form 18. Rearrange and rotate pages, insert new and alter existing texts, add new objects, and take advantage of other helpful tools. Click Done to apply changes and return to your Dashboard. Go to the Documents tab to access merging, splitting, locking, or unlocking functions.
4
Save your file. Select it in the list of your records. Then, move the cursor to the right toolbar and choose one of the available exporting methods: save it in multiple formats, download it as a PDF, send it by email, or store it in the cloud.
pdfFiller makes working with documents easier than you could ever imagine. Register for an account and see for yourself!
Uncompromising security for your PDF editing and eSignature needs
Your private information is safe with pdfFiller. We employ end-to-end encryption, secure cloud storage, and advanced access control to protect your documents and maintain regulatory compliance.
How to fill out table 1 form 18

How to fill out table 1 form 18:
01
Start by gathering all the necessary information and documents required to fill out table 1 form 18.
02
Begin by carefully reading the instructions provided with the form to understand the purpose of each field in table 1.
03
Enter your personal details, such as your name, address, contact information, and any other required identifying information, in the designated fields.
04
Provide accurate and up-to-date information regarding your employment status, such as your current job title, company name, and duration of employment.
05
Fill in the financial information requested, including income, assets, liabilities, and any other relevant financial details.
06
If applicable, include information about any dependents you may have, such as their names, ages, and relation to you.
07
Double-check all the filled-in information for any errors or omissions and make sure everything is accurate before submitting the form.
08
Sign and date the form as required by the instructions.
09
Make a copy of the completed form for your records before submitting it to the relevant authority.
Who needs table 1 form 18:
01
Individuals applying for a specific license or permit that requires the completion of table 1 form 18.
02
Business owners or self-employed individuals who need to provide detailed financial information for a specific purpose.
03
Organizations or institutions that require table 1 form 18 for regulatory or compliance purposes.
Remember to consult the specific guidelines or instructions provided by the authority requesting table 1 form 18 to ensure you provide the required information accurately and in the appropriate format.
Fill
form
: Try Risk Free
For pdfFiller’s FAQs
Below is a list of the most common customer questions. If you can’t find an answer to your question, please don’t hesitate to reach out to us.
How do I modify my table 1 form 18 in Gmail?
pdfFiller’s add-on for Gmail enables you to create, edit, fill out and eSign your table 1 form 18 and any other documents you receive right in your inbox. Visit Google Workspace Marketplace and install pdfFiller for Gmail. Get rid of time-consuming steps and manage your documents and eSignatures effortlessly.
How do I edit table 1 form 18 in Chrome?
Install the pdfFiller Chrome Extension to modify, fill out, and eSign your table 1 form 18, which you can access right from a Google search page. Fillable documents without leaving Chrome on any internet-connected device.
How do I complete table 1 form 18 on an iOS device?
Install the pdfFiller app on your iOS device to fill out papers. Create an account or log in if you already have one. After registering, upload your table 1 form 18. You may now use pdfFiller's advanced features like adding fillable fields and eSigning documents from any device, anywhere.
What is table 1 form 18?
Table 1 Form 18 is a document used to report specific financial information.
Who is required to file table 1 form 18?
Individuals or entities meeting certain criteria as outlined by the relevant authorities are required to file Table 1 Form 18.
How to fill out table 1 form 18?
Table 1 Form 18 can be filled out by providing the requested financial information accurately and completely.
What is the purpose of table 1 form 18?
The purpose of Table 1 Form 18 is to gather financial data for regulatory or informational purposes.
What information must be reported on table 1 form 18?
Table 1 Form 18 typically requires reporting of income, expenses, assets, and liabilities.
Fill out your table 1 form 18 online with pdfFiller!
pdfFiller is an end-to-end solution for managing, creating, and editing documents and forms in the cloud. Save time and hassle by preparing your tax forms online.

Table 1 Form 18 is not the form you're looking for?Search for another form here.
Relevant keywords
Related Forms
If you believe that this page should be taken down, please follow our DMCA take down process
here
.
This form may include fields for payment information. Data entered in these fields is not covered by PCI DSS compliance.