Get the free CYRANO DE BERGERAC UNDERSTANDING DRAMA
Show details
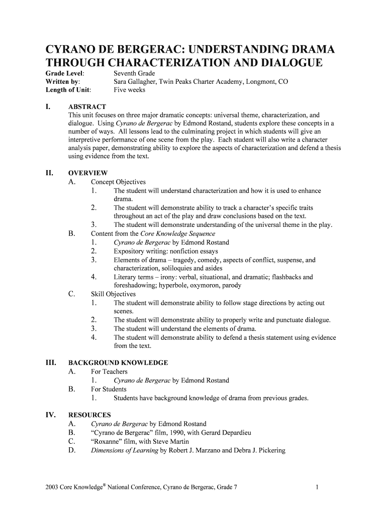
CYRANO DE BERGERAC: UNDERSTANDING DRAMA THROUGH CHARACTERIZATION AND DIALOGUE Grade Level: Written by: Length of Unit: Seventh Grade Sara Gallagher, Twin Peaks Charter Academy, Longmont, CO Five weeks
We are not affiliated with any brand or entity on this form
Get, Create, Make and Sign cyrano de bergerac understanding
Edit your cyrano de bergerac understanding form online
Type text, complete fillable fields, insert images, highlight or blackout data for discretion, add comments, and more.
Add your legally-binding signature
Draw or type your signature, upload a signature image, or capture it with your digital camera.
Share your form instantly
Email, fax, or share your cyrano de bergerac understanding form via URL. You can also download, print, or export forms to your preferred cloud storage service.
Editing cyrano de bergerac understanding online
Here are the steps you need to follow to get started with our professional PDF editor:
1
Create an account. Begin by choosing Start Free Trial and, if you are a new user, establish a profile.
2
Prepare a file. Use the Add New button. Then upload your file to the system from your device, importing it from internal mail, the cloud, or by adding its URL.
3
Edit cyrano de bergerac understanding. Rearrange and rotate pages, insert new and alter existing texts, add new objects, and take advantage of other helpful tools. Click Done to apply changes and return to your Dashboard. Go to the Documents tab to access merging, splitting, locking, or unlocking functions.
4
Get your file. Select your file from the documents list and pick your export method. You may save it as a PDF, email it, or upload it to the cloud.
With pdfFiller, it's always easy to work with documents. Check it out!
Uncompromising security for your PDF editing and eSignature needs
Your private information is safe with pdfFiller. We employ end-to-end encryption, secure cloud storage, and advanced access control to protect your documents and maintain regulatory compliance.
How to fill out cyrano de bergerac understanding
How to Fill Out Cyrano de Bergerac Understanding:
01
Start by reading the play: Begin by getting a copy of the play "Cyrano de Bergerac" written by Edmond Rostand. Familiarize yourself with the plot, characters, and overall theme of the play.
02
Analyze the main character: Pay special attention to the character of Cyrano de Bergerac. Study his personality, motivations, internal conflicts, and how he evolves throughout the play. Understanding Cyrano is crucial to comprehending the play as a whole.
03
Interpret the themes: "Cyrano de Bergerac" explores various themes such as love, self-sacrifice, honor, appearance versus reality, and identity. Take time to analyze these themes in-depth and consider how they are developed throughout the play.
04
Study the language and style: Rostand's play is known for its poetic language and eloquent writing style. Pay attention to the use of rhymes, metaphors, and linguistic devices employed by the author. Understanding the language and style will enhance your appreciation of the play.
05
Contextualize the play: Research the historical and cultural context in which "Cyrano de Bergerac" was written. This includes the time period, societal norms, and values that influenced Rostand's work. Understanding the context can provide insights into the characters' behaviors and motivations.
Who Needs Cyrano de Bergerac Understanding?
01
Theatre enthusiasts: People who have a passion for theatre and enjoy studying and dissecting plays would benefit from understanding Cyrano de Bergerac. It offers a rich and complex story to delve into.
02
Literature students: Studying "Cyrano de Bergerac" can be beneficial for literature students, especially those focusing on drama or French literature. It provides an opportunity to analyze themes, language, and character development.
03
Play performers and directors: For actors and directors involved in staging "Cyrano de Bergerac," understanding the play is essential. It helps them portray the characters authentically and make informed creative decisions.
04
Those interested in French literature: "Cyrano de Bergerac" is a classic of French literature and has influenced numerous works since its publication. People who are interested in French literary history or wish to explore iconic French plays would find value in understanding this play.
Fill
form
: Try Risk Free
For pdfFiller’s FAQs
Below is a list of the most common customer questions. If you can’t find an answer to your question, please don’t hesitate to reach out to us.
How can I send cyrano de bergerac understanding for eSignature?
Once your cyrano de bergerac understanding is ready, you can securely share it with recipients and collect eSignatures in a few clicks with pdfFiller. You can send a PDF by email, text message, fax, USPS mail, or notarize it online - right from your account. Create an account now and try it yourself.
How can I get cyrano de bergerac understanding?
The premium version of pdfFiller gives you access to a huge library of fillable forms (more than 25 million fillable templates). You can download, fill out, print, and sign them all. State-specific cyrano de bergerac understanding and other forms will be easy to find in the library. Find the template you need and use advanced editing tools to make it your own.
Can I create an eSignature for the cyrano de bergerac understanding in Gmail?
You can easily create your eSignature with pdfFiller and then eSign your cyrano de bergerac understanding directly from your inbox with the help of pdfFiller’s add-on for Gmail. Please note that you must register for an account in order to save your signatures and signed documents.
What is cyrano de bergerac understanding?
Cyrano de Bergerac understanding refers to the deep emotional connection and insights that the character Cyrano de Bergerac possesses, particularly in his understanding of love and human nature.
Who is required to file cyrano de bergerac understanding?
Cyrano de Bergerac understanding is not a legal or official document that requires filing. It is a concept related to the character Cyrano de Bergerac from the play of the same name by Edmond Rostand.
How to fill out cyrano de bergerac understanding?
Cyrano de Bergerac understanding is a literary term and cannot be filled out like a form. It is a quality attributed to the character Cyrano de Bergerac.
What is the purpose of cyrano de bergerac understanding?
The purpose of Cyrano de Bergerac understanding is to showcase the profound insights and emotions that the character Cyrano de Bergerac possesses, particularly in the realms of love, poetry, and human nature.
What information must be reported on cyrano de bergerac understanding?
There is no specific information that must be reported on Cyrano de Bergerac understanding, as it is a concept related to a fictional character.
Fill out your cyrano de bergerac understanding online with pdfFiller!
pdfFiller is an end-to-end solution for managing, creating, and editing documents and forms in the cloud. Save time and hassle by preparing your tax forms online.
Cyrano De Bergerac Understanding is not the form you're looking for?Search for another form here.
Relevant keywords
Related Forms
If you believe that this page should be taken down, please follow our DMCA take down process
here
.
This form may include fields for payment information. Data entered in these fields is not covered by PCI DSS compliance.