Get the free Non-disclosure Agreement - International Society of Sustainability - sustainabilityp...
Show details
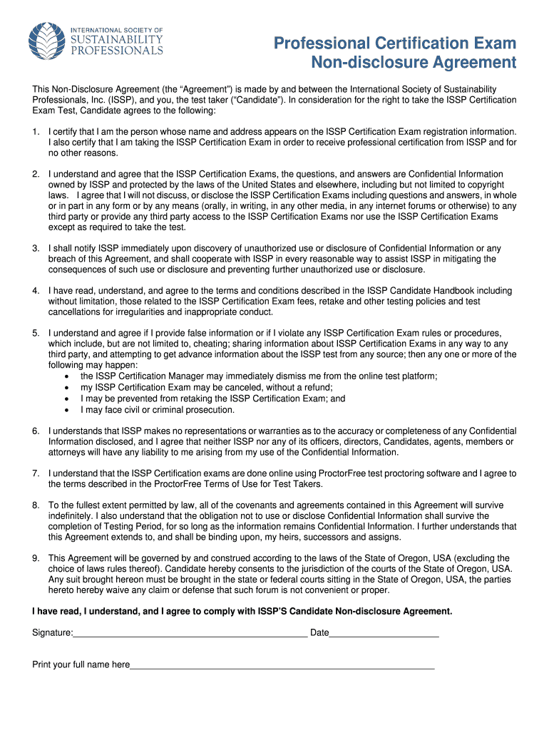
Professional Certification Exam
Nondisclosure Agreement
This Nondisclosure Agreement (the Agreement) is made by and between the International Society of Sustainability
Professionals, Inc. (ISP), and
We are not affiliated with any brand or entity on this form
Get, Create, Make and Sign non-disclosure agreement - international
Edit your non-disclosure agreement - international form online
Type text, complete fillable fields, insert images, highlight or blackout data for discretion, add comments, and more.
Add your legally-binding signature
Draw or type your signature, upload a signature image, or capture it with your digital camera.
Share your form instantly
Email, fax, or share your non-disclosure agreement - international form via URL. You can also download, print, or export forms to your preferred cloud storage service.
Editing non-disclosure agreement - international online
To use the professional PDF editor, follow these steps below:
1
Log in. Click Start Free Trial and create a profile if necessary.
2
Upload a file. Select Add New on your Dashboard and upload a file from your device or import it from the cloud, online, or internal mail. Then click Edit.
3
Edit non-disclosure agreement - international. Text may be added and replaced, new objects can be included, pages can be rearranged, watermarks and page numbers can be added, and so on. When you're done editing, click Done and then go to the Documents tab to combine, divide, lock, or unlock the file.
4
Save your file. Choose it from the list of records. Then, shift the pointer to the right toolbar and select one of the several exporting methods: save it in multiple formats, download it as a PDF, email it, or save it to the cloud.
pdfFiller makes working with documents easier than you could ever imagine. Register for an account and see for yourself!
Uncompromising security for your PDF editing and eSignature needs
Your private information is safe with pdfFiller. We employ end-to-end encryption, secure cloud storage, and advanced access control to protect your documents and maintain regulatory compliance.
How to fill out non-disclosure agreement - international
How to fill out non-disclosure agreement - international:
01
Start by familiarizing yourself with the content of the non-disclosure agreement (NDA). Read through the entire document to understand its purpose, terms, and conditions.
02
Identify the parties involved in the agreement. The NDA typically includes the names and contact details of the disclosing party (the one sharing confidential information) and the receiving party (the one receiving the information).
03
Clearly define the confidential information that will be shared and protected under the agreement. This can include trade secrets, proprietary information, financial data, customer lists, etc. Be specific and comprehensive in identifying the information.
04
Specify the obligations of the receiving party in protecting the confidential information. This may include restrictions on disclosure, limitations on use, or requirements for security measures to be implemented.
05
Determine the duration of the agreement. Decide on the period during which the non-disclosure obligations will be in effect. It can be a specific number of years or continue indefinitely until the information becomes publicly known.
06
Include any additional clauses or provisions as necessary. This may include provisions related to remedies for breach of the agreement, jurisdiction and governing law, dispute resolution mechanisms, and so on. Consult a legal professional if needed.
Who needs non-disclosure agreement - international:
01
Businesses engaging in international partnerships or collaborations: When a business is sharing confidential information with another party located in a different country, an international non-disclosure agreement may be necessary to protect sensitive information.
02
Inventors, entrepreneurs, or individuals with intellectual property: If you have a unique invention, proprietary technology, or any other valuable intellectual property that you want to disclose to potential international partners or investors, an international non-disclosure agreement can provide a legal safeguard.
03
Global companies with subsidiaries or branches in multiple countries: International non-disclosure agreements can be useful for multinational corporations to ensure consistency in protecting confidential information across various locations and jurisdictions.
It is important to note that the specific need for a non-disclosure agreement - international may vary depending on individual circumstances. It is always advisable to consult with a legal expert to determine the appropriate course of action and to ensure compliance with relevant laws and regulations.
Fill
form
: Try Risk Free
For pdfFiller’s FAQs
Below is a list of the most common customer questions. If you can’t find an answer to your question, please don’t hesitate to reach out to us.
How do I modify my non-disclosure agreement - international in Gmail?
The pdfFiller Gmail add-on lets you create, modify, fill out, and sign non-disclosure agreement - international and other documents directly in your email. Click here to get pdfFiller for Gmail. Eliminate tedious procedures and handle papers and eSignatures easily.
Can I edit non-disclosure agreement - international on an iOS device?
Create, edit, and share non-disclosure agreement - international from your iOS smartphone with the pdfFiller mobile app. Installing it from the Apple Store takes only a few seconds. You may take advantage of a free trial and select a subscription that meets your needs.
Can I edit non-disclosure agreement - international on an Android device?
You can make any changes to PDF files, like non-disclosure agreement - international, with the help of the pdfFiller Android app. Edit, sign, and send documents right from your phone or tablet. You can use the app to make document management easier wherever you are.
What is non-disclosure agreement - international?
A non-disclosure agreement - international is a legal contract between two or more parties outlining confidential material, knowledge, or information that the parties wish to share with one another for certain purposes, but wish to restrict access to or by third parties.
Who is required to file non-disclosure agreement - international?
Any parties involved in sharing confidential information on an international level are required to file a non-disclosure agreement - international.
How to fill out non-disclosure agreement - international?
Non-disclosure agreements - international can be filled out by detailing the confidential information being shared, the parties involved, the purpose of sharing the information, the duration of the agreement, and any exceptions or conditions.
What is the purpose of non-disclosure agreement - international?
The purpose of a non-disclosure agreement - international is to protect sensitive information being shared among parties and to prevent the unauthorized disclosure or use of that information by third parties.
What information must be reported on non-disclosure agreement - international?
Information that must be reported on a non-disclosure agreement - international includes the specifics of the confidential information being shared, the parties involved, the purpose of sharing the information, and any agreed-upon restrictions or conditions.
Fill out your non-disclosure agreement - international online with pdfFiller!
pdfFiller is an end-to-end solution for managing, creating, and editing documents and forms in the cloud. Save time and hassle by preparing your tax forms online.
Non-Disclosure Agreement - International is not the form you're looking for?Search for another form here.
Relevant keywords
Related Forms
If you believe that this page should be taken down, please follow our DMCA take down process
here
.
This form may include fields for payment information. Data entered in these fields is not covered by PCI DSS compliance.