
Get the free Information that is gathered by the senses or by the extended senses (using scientif...
Show details
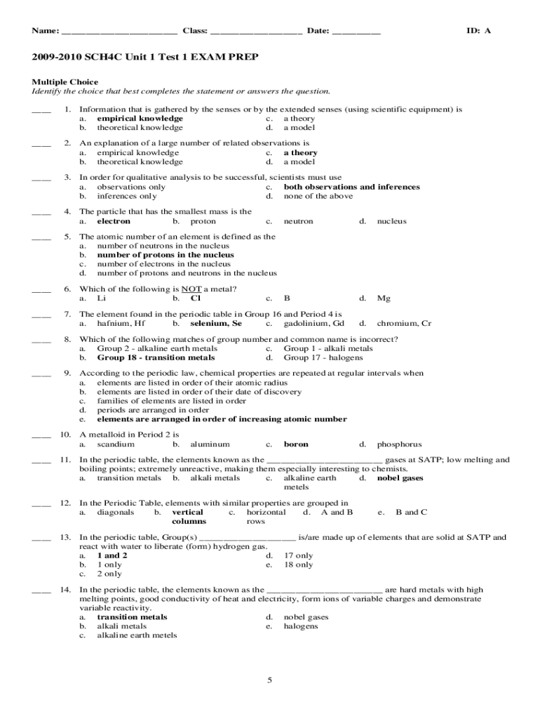
This document appears to be an exam preparation worksheet for a chemistry unit test covering various topics in chemistry, including atomic theory, the periodic table, and qualitative analysis.
We are not affiliated with any brand or entity on this form
Get, Create, Make and Sign information that is gaformred

Edit your information that is gaformred form online
Type text, complete fillable fields, insert images, highlight or blackout data for discretion, add comments, and more.

Add your legally-binding signature
Draw or type your signature, upload a signature image, or capture it with your digital camera.

Share your form instantly
Email, fax, or share your information that is gaformred form via URL. You can also download, print, or export forms to your preferred cloud storage service.
Editing information that is gaformred online
To use the professional PDF editor, follow these steps below:
1
Sign into your account. If you don't have a profile yet, click Start Free Trial and sign up for one.
2
Simply add a document. Select Add New from your Dashboard and import a file into the system by uploading it from your device or importing it via the cloud, online, or internal mail. Then click Begin editing.
3
Edit information that is gaformred. Rearrange and rotate pages, insert new and alter existing texts, add new objects, and take advantage of other helpful tools. Click Done to apply changes and return to your Dashboard. Go to the Documents tab to access merging, splitting, locking, or unlocking functions.
4
Get your file. Select your file from the documents list and pick your export method. You may save it as a PDF, email it, or upload it to the cloud.
pdfFiller makes working with documents easier than you could ever imagine. Create an account to find out for yourself how it works!
Uncompromising security for your PDF editing and eSignature needs
Your private information is safe with pdfFiller. We employ end-to-end encryption, secure cloud storage, and advanced access control to protect your documents and maintain regulatory compliance.
Fill
form
: Try Risk Free
For pdfFiller’s FAQs
Below is a list of the most common customer questions. If you can’t find an answer to your question, please don’t hesitate to reach out to us.
How can I manage my information that is gaformred directly from Gmail?
In your inbox, you may use pdfFiller's add-on for Gmail to generate, modify, fill out, and eSign your information that is gaformred and any other papers you receive, all without leaving the program. Install pdfFiller for Gmail from the Google Workspace Marketplace by visiting this link. Take away the need for time-consuming procedures and handle your papers and eSignatures with ease.
How can I send information that is gaformred to be eSigned by others?
Once you are ready to share your information that is gaformred, you can easily send it to others and get the eSigned document back just as quickly. Share your PDF by email, fax, text message, or USPS mail, or notarize it online. You can do all of this without ever leaving your account.
How can I get information that is gaformred?
It's simple using pdfFiller, an online document management tool. Use our huge online form collection (over 25M fillable forms) to quickly discover the information that is gaformred. Open it immediately and start altering it with sophisticated capabilities.
What is information that is gaformred?
Information that is gaformred refers to data or details that are collected and documented.
Who is required to file information that is gaformred?
The individuals or organizations mandated by the relevant authorities are required to file information that is gaformred.
How to fill out information that is gaformred?
To fill out information that is gaformred, you need to gather the relevant data, accurately complete the required forms, and submit them through the designated method.
What is the purpose of information that is gaformred?
The purpose of information that is gaformred is to provide important data for analysis, decision-making, or compliance purposes.
What information must be reported on information that is gaformred?
The specific information that must be reported on information that is gaformred depends on the requirements set by the governing body or the purpose of the data collection.
Fill out your information that is gaformred online with pdfFiller!
pdfFiller is an end-to-end solution for managing, creating, and editing documents and forms in the cloud. Save time and hassle by preparing your tax forms online.

Information That Is Gaformred is not the form you're looking for?Search for another form here.
Relevant keywords
Related Forms
If you believe that this page should be taken down, please follow our DMCA take down process
here
.
This form may include fields for payment information. Data entered in these fields is not covered by PCI DSS compliance.