Get the free Business Correspondence Quiz
Show details
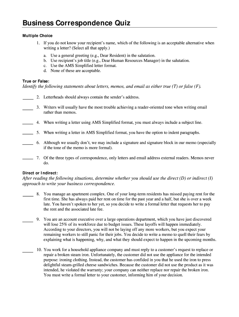
Business Correspondence Quiz
Multiple Choice1. If you do not know your recipients name, which of the following is an acceptable alternative when
writing a letter? (Select all that apply.)
a.
b.
c.
d.
We are not affiliated with any brand or entity on this form
Get, Create, Make and Sign business correspondence quiz
Edit your business correspondence quiz form online
Type text, complete fillable fields, insert images, highlight or blackout data for discretion, add comments, and more.
Add your legally-binding signature
Draw or type your signature, upload a signature image, or capture it with your digital camera.
Share your form instantly
Email, fax, or share your business correspondence quiz form via URL. You can also download, print, or export forms to your preferred cloud storage service.
Editing business correspondence quiz online
Follow the steps below to use a professional PDF editor:
1
Sign into your account. If you don't have a profile yet, click Start Free Trial and sign up for one.
2
Prepare a file. Use the Add New button. Then upload your file to the system from your device, importing it from internal mail, the cloud, or by adding its URL.
3
Edit business correspondence quiz. Add and change text, add new objects, move pages, add watermarks and page numbers, and more. Then click Done when you're done editing and go to the Documents tab to merge or split the file. If you want to lock or unlock the file, click the lock or unlock button.
4
Get your file. When you find your file in the docs list, click on its name and choose how you want to save it. To get the PDF, you can save it, send an email with it, or move it to the cloud.
pdfFiller makes dealing with documents a breeze. Create an account to find out!
Uncompromising security for your PDF editing and eSignature needs
Your private information is safe with pdfFiller. We employ end-to-end encryption, secure cloud storage, and advanced access control to protect your documents and maintain regulatory compliance.
How to fill out business correspondence quiz
01
First, make sure you have a clear understanding of what a business correspondence quiz is. It is typically a set of questions or tasks designed to assess your knowledge and skills in writing professional and effective business correspondence.
02
Start by reading and understanding the instructions provided for the quiz. This will give you a clear idea of what is expected of you and how the quiz will be evaluated.
03
Review any study materials or resources related to the topics that may be covered in the quiz. This could include areas such as proper email etiquette, formatting letters, grammar and punctuation rules, and effective communication strategies.
04
Take your time to carefully read each question before answering. Make sure you understand what is being asked and consider all possible options before selecting your answer.
05
Pay attention to any specific formatting or stylistic requirements mentioned in the instructions. This could include using proper salutations and closings, using bullet points or headings, or following a specific structure for a letter or email.
06
Use your knowledge and understanding of business correspondence to answer each question to the best of your ability. If you are unsure about a particular question, use any available resources or refer back to your study materials to help you find the correct answer.
07
Double-check your answers before submitting the quiz. Ensure that your responses are clear, concise, and free of any grammatical or spelling errors.
08
Finally, remember that the purpose of the business correspondence quiz is to evaluate and improve your skills. Even if you make mistakes or do not score perfectly, use the feedback provided to learn from your errors and enhance your abilities in business communication.
Who needs business correspondence quiz?
01
Individuals seeking to improve their knowledge and skills in business correspondence.
02
Students studying business, communication, or related fields.
03
Professionals looking to enhance their written communication abilities in a business setting.
04
Business owners or entrepreneurs who want to ensure their correspondence with clients, customers, or partners is effective and professional.
05
Job seekers preparing for interviews or applications that may require strong business writing skills.
06
Anyone interested in understanding and mastering the art of effective business communication.
07
Employees or team members in organizations that want to enhance their overall communication skills for better collaboration and productivity.
08
Trainers or educators who want to assess and evaluate the proficiency of their learners in business correspondence.
Fill
form
: Try Risk Free
For pdfFiller’s FAQs
Below is a list of the most common customer questions. If you can’t find an answer to your question, please don’t hesitate to reach out to us.
Where do I find business correspondence quiz?
With pdfFiller, an all-in-one online tool for professional document management, it's easy to fill out documents. Over 25 million fillable forms are available on our website, and you can find the business correspondence quiz in a matter of seconds. Open it right away and start making it your own with help from advanced editing tools.
Can I sign the business correspondence quiz electronically in Chrome?
As a PDF editor and form builder, pdfFiller has a lot of features. It also has a powerful e-signature tool that you can add to your Chrome browser. With our extension, you can type, draw, or take a picture of your signature with your webcam to make your legally-binding eSignature. Choose how you want to sign your business correspondence quiz and you'll be done in minutes.
Can I create an electronic signature for signing my business correspondence quiz in Gmail?
It's easy to make your eSignature with pdfFiller, and then you can sign your business correspondence quiz right from your Gmail inbox with the help of pdfFiller's add-on for Gmail. This is a very important point: You must sign up for an account so that you can save your signatures and signed documents.
What is business correspondence quiz?
Business correspondence quiz is a form of evaluation that tests individuals on their knowledge of writing professional letters, emails, and other forms of business communication.
Who is required to file business correspondence quiz?
Employees in certain industries or positions that involve regular communication with clients, customers, or business partners may be required to take a business correspondence quiz.
How to fill out business correspondence quiz?
To fill out a business correspondence quiz, individuals need to read each question carefully and provide the best answer based on their knowledge of business writing etiquette and communication skills.
What is the purpose of business correspondence quiz?
The purpose of a business correspondence quiz is to assess individuals' ability to effectively communicate in a professional setting and adhere to established business communication standards.
What information must be reported on business correspondence quiz?
The information typically reported on a business correspondence quiz includes knowledge of proper formatting, tone, grammar, and etiquette when writing business-related messages.
Fill out your business correspondence quiz online with pdfFiller!
pdfFiller is an end-to-end solution for managing, creating, and editing documents and forms in the cloud. Save time and hassle by preparing your tax forms online.
Business Correspondence Quiz is not the form you're looking for?Search for another form here.
Relevant keywords
Related Forms
If you believe that this page should be taken down, please follow our DMCA take down process
here
.
This form may include fields for payment information. Data entered in these fields is not covered by PCI DSS compliance.