Get the free BUSINESS COMMUNICATION 305
Show details
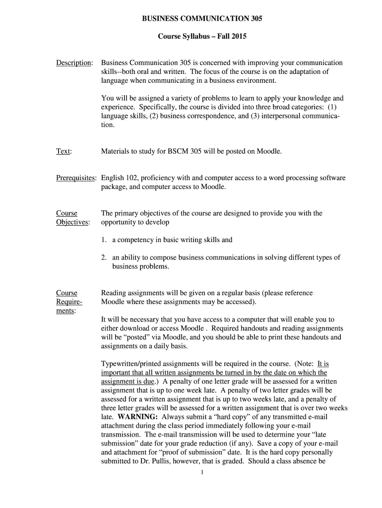
BUSINESS COMMUNICATION 305 Course Syllabus Fall 2015 Description: Business Communication 305 is concerned with improving your communication skills both oral and written. The focus of the course is
We are not affiliated with any brand or entity on this form
Get, Create, Make and Sign business communication 305
Edit your business communication 305 form online
Type text, complete fillable fields, insert images, highlight or blackout data for discretion, add comments, and more.
Add your legally-binding signature
Draw or type your signature, upload a signature image, or capture it with your digital camera.
Share your form instantly
Email, fax, or share your business communication 305 form via URL. You can also download, print, or export forms to your preferred cloud storage service.
How to edit business communication 305 online
Follow the steps down below to use a professional PDF editor:
1
Create an account. Begin by choosing Start Free Trial and, if you are a new user, establish a profile.
2
Upload a document. Select Add New on your Dashboard and transfer a file into the system in one of the following ways: by uploading it from your device or importing from the cloud, web, or internal mail. Then, click Start editing.
3
Edit business communication 305. Replace text, adding objects, rearranging pages, and more. Then select the Documents tab to combine, divide, lock or unlock the file.
4
Save your file. Select it from your records list. Then, click the right toolbar and select one of the various exporting options: save in numerous formats, download as PDF, email, or cloud.
pdfFiller makes dealing with documents a breeze. Create an account to find out!
Uncompromising security for your PDF editing and eSignature needs
Your private information is safe with pdfFiller. We employ end-to-end encryption, secure cloud storage, and advanced access control to protect your documents and maintain regulatory compliance.
How to fill out business communication 305
How to fill out business communication 305:
01
Start by gathering all the necessary information and documents required for filling out the form.
02
Carefully read through the instructions provided on the form to understand the specific requirements and guidelines.
03
Begin filling out the form by entering your personal details, such as your name, address, contact information, and any other required information.
04
Provide the necessary information related to the course "Business Communication 305," such as the course name, code, and any other relevant details.
05
Include any additional information that might be required, such as prerequisites or previous academic achievements pertaining to the course.
06
Double-check and review all the information you have entered to ensure accuracy and completeness.
07
Sign and date the form as required before submitting it to the designated individual or department.
Who needs business communication 305?
01
Individuals pursuing a degree or certificate program in business administration or a related field may need to take Business Communication 305 as part of their curriculum.
02
Professionals seeking to enhance their communication skills within a business environment may choose to enroll in Business Communication 305.
03
Anyone interested in acquiring effective written and oral communication skills specific to the business world can benefit from taking Business Communication 305.
Fill
form
: Try Risk Free
For pdfFiller’s FAQs
Below is a list of the most common customer questions. If you can’t find an answer to your question, please don’t hesitate to reach out to us.
How can I edit business communication 305 from Google Drive?
Simplify your document workflows and create fillable forms right in Google Drive by integrating pdfFiller with Google Docs. The integration will allow you to create, modify, and eSign documents, including business communication 305, without leaving Google Drive. Add pdfFiller’s functionalities to Google Drive and manage your paperwork more efficiently on any internet-connected device.
Where do I find business communication 305?
It’s easy with pdfFiller, a comprehensive online solution for professional document management. Access our extensive library of online forms (over 25M fillable forms are available) and locate the business communication 305 in a matter of seconds. Open it right away and start customizing it using advanced editing features.
How do I fill out business communication 305 on an Android device?
Complete your business communication 305 and other papers on your Android device by using the pdfFiller mobile app. The program includes all of the necessary document management tools, such as editing content, eSigning, annotating, sharing files, and so on. You will be able to view your papers at any time as long as you have an internet connection.
What is business communication 305?
Business communication 305 is a form or report that businesses are required to file with the relevant authorities to provide information about their operations and activities.
Who is required to file business communication 305?
All businesses operating in a certain jurisdiction are required to file business communication 305.
How to fill out business communication 305?
Businesses can fill out business communication 305 by providing detailed information about their business activities, financial data, and other relevant information as per the instructions provided.
What is the purpose of business communication 305?
The purpose of business communication 305 is to provide transparency and accountability by requiring businesses to disclose certain information about their operations.
What information must be reported on business communication 305?
Information such as revenue, expenses, assets, liabilities, and other financial data must be reported on business communication 305.
Fill out your business communication 305 online with pdfFiller!
pdfFiller is an end-to-end solution for managing, creating, and editing documents and forms in the cloud. Save time and hassle by preparing your tax forms online.
Business Communication 305 is not the form you're looking for?Search for another form here.
Relevant keywords
Related Forms
If you believe that this page should be taken down, please follow our DMCA take down process
here
.
This form may include fields for payment information. Data entered in these fields is not covered by PCI DSS compliance.