Get the free Grace Period Application - Instructions and Checklist - ncbde
Show details
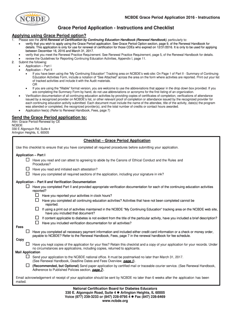
NC BDE Grace Period Application 2016 Instructions Grace Period Application Instructions and Checklist Applying using Grace Period option? 1. 2. Please see the 2016 Renewal of Certification by Continuing
We are not affiliated with any brand or entity on this form
Get, Create, Make and Sign grace period application
Edit your grace period application form online
Type text, complete fillable fields, insert images, highlight or blackout data for discretion, add comments, and more.
Add your legally-binding signature
Draw or type your signature, upload a signature image, or capture it with your digital camera.
Share your form instantly
Email, fax, or share your grace period application form via URL. You can also download, print, or export forms to your preferred cloud storage service.
How to edit grace period application online
Here are the steps you need to follow to get started with our professional PDF editor:
1
Set up an account. If you are a new user, click Start Free Trial and establish a profile.
2
Upload a document. Select Add New on your Dashboard and transfer a file into the system in one of the following ways: by uploading it from your device or importing from the cloud, web, or internal mail. Then, click Start editing.
3
Edit grace period application. Rearrange and rotate pages, insert new and alter existing texts, add new objects, and take advantage of other helpful tools. Click Done to apply changes and return to your Dashboard. Go to the Documents tab to access merging, splitting, locking, or unlocking functions.
4
Save your file. Select it from your records list. Then, click the right toolbar and select one of the various exporting options: save in numerous formats, download as PDF, email, or cloud.
With pdfFiller, it's always easy to work with documents.
Uncompromising security for your PDF editing and eSignature needs
Your private information is safe with pdfFiller. We employ end-to-end encryption, secure cloud storage, and advanced access control to protect your documents and maintain regulatory compliance.
How to fill out grace period application
How to Fill Out Grace Period Application:
01
Start by gathering all the necessary information and documents. This may include your personal details, such as full name, contact information, and social security number, as well as any relevant supporting documentation, such as proof of income or medical records.
02
Carefully review the instructions provided with the grace period application. This will help you understand the specific requirements and ensure you provide all the requested information accurately.
03
Begin filling out the application form by entering your personal information. Make sure to double-check the accuracy of the data you provide, as any mistakes or omissions could delay the processing of your application.
04
Follow the instructions for each section of the form. Provide the required information about your financial situation, employment status, and any other relevant details as requested.
05
If applicable, attach any supporting documentation to your application. This may include proof of income, bank statements, or any other documents required to support your request for a grace period.
06
Before submitting your application, take a moment to review it thoroughly. Ensure that you have provided all the necessary information, that it is accurate and complete, and that any attached documents are properly labeled.
07
If there is an option to do so, make a copy of the completed application for your records. This will serve as a reference in case any issues arise during the processing of your application.
Who Needs Grace Period Application:
01
Individuals who are experiencing financial hardship and are unable to meet their payment obligations may need a grace period application. This could include individuals who have lost their jobs, experienced a significant reduction in income, or are facing unexpected medical expenses.
02
Students who require additional time to pay their tuition fees may also need to apply for a grace period. This could be due to financial strain, difficulties securing loans or scholarships, or other extenuating circumstances.
03
Business owners who are struggling to make timely payments on loans or invoices may seek a grace period to alleviate the financial burden and avoid defaulting on their obligations.
In summary, to fill out a grace period application, gather the necessary information, carefully follow the instructions, provide accurate and complete information, and submit the application along with any required supporting documentation. Grace period applications are typically needed by individuals and businesses facing financial hardship or challenges in meeting their payment obligations.
Fill
form
: Try Risk Free
For pdfFiller’s FAQs
Below is a list of the most common customer questions. If you can’t find an answer to your question, please don’t hesitate to reach out to us.
How can I send grace period application for eSignature?
When you're ready to share your grace period application, you can swiftly email it to others and receive the eSigned document back. You may send your PDF through email, fax, text message, or USPS mail, or you can notarize it online. All of this may be done without ever leaving your account.
Can I sign the grace period application electronically in Chrome?
Yes. With pdfFiller for Chrome, you can eSign documents and utilize the PDF editor all in one spot. Create a legally enforceable eSignature by sketching, typing, or uploading a handwritten signature image. You may eSign your grace period application in seconds.
How do I fill out grace period application on an Android device?
Complete grace period application and other documents on your Android device with the pdfFiller app. The software allows you to modify information, eSign, annotate, and share files. You may view your papers from anywhere with an internet connection.
What is grace period application?
Grace period application is a request for an extension of time beyond a deadline.
Who is required to file grace period application?
Individuals or entities who have missed a deadline and need extra time to submit required documents.
How to fill out grace period application?
To fill out a grace period application, you need to provide your personal information, details of the missed deadline, reasons for the delay, and any supporting documents.
What is the purpose of grace period application?
The purpose of a grace period application is to give individuals or entities more time to meet a deadline without facing penalties or consequences.
What information must be reported on grace period application?
The grace period application should include personal information, details of the missed deadline, reasons for the delay, and any supporting documents.
Fill out your grace period application online with pdfFiller!
pdfFiller is an end-to-end solution for managing, creating, and editing documents and forms in the cloud. Save time and hassle by preparing your tax forms online.
Grace Period Application is not the form you're looking for?Search for another form here.
Relevant keywords
Related Forms
If you believe that this page should be taken down, please follow our DMCA take down process
here
.
This form may include fields for payment information. Data entered in these fields is not covered by PCI DSS compliance.