
Get the free Blank Deed of Redemption Rev121715
Show details
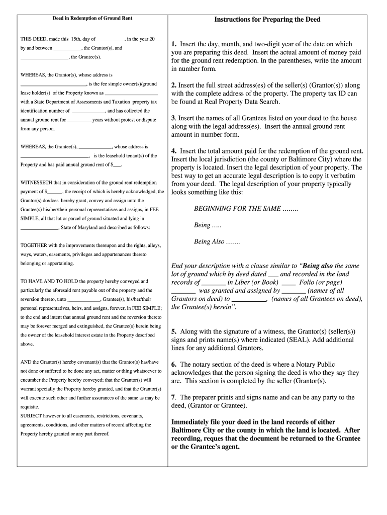
Deed in Redemption of Ground Rent THIS DEED, made this 15th, day of, in the year 20 by and between, the Granter(s), and, the Grantee(s). Instructions for Preparing the Deed 1. Insert the day, month,
We are not affiliated with any brand or entity on this form
Get, Create, Make and Sign blank deed of redemption

Edit your blank deed of redemption form online
Type text, complete fillable fields, insert images, highlight or blackout data for discretion, add comments, and more.

Add your legally-binding signature
Draw or type your signature, upload a signature image, or capture it with your digital camera.

Share your form instantly
Email, fax, or share your blank deed of redemption form via URL. You can also download, print, or export forms to your preferred cloud storage service.
How to edit blank deed of redemption online
To use our professional PDF editor, follow these steps:
1
Log in. Click Start Free Trial and create a profile if necessary.
2
Upload a file. Select Add New on your Dashboard and upload a file from your device or import it from the cloud, online, or internal mail. Then click Edit.
3
Edit blank deed of redemption. Rearrange and rotate pages, insert new and alter existing texts, add new objects, and take advantage of other helpful tools. Click Done to apply changes and return to your Dashboard. Go to the Documents tab to access merging, splitting, locking, or unlocking functions.
4
Get your file. Select the name of your file in the docs list and choose your preferred exporting method. You can download it as a PDF, save it in another format, send it by email, or transfer it to the cloud.
Dealing with documents is simple using pdfFiller. Try it now!
Uncompromising security for your PDF editing and eSignature needs
Your private information is safe with pdfFiller. We employ end-to-end encryption, secure cloud storage, and advanced access control to protect your documents and maintain regulatory compliance.
How to fill out blank deed of redemption

How to fill out a blank deed of redemption:
01
Start by obtaining the blank deed of redemption form. This form can typically be found at the county clerk's office or online on the official state government website.
02
Carefully read through the instructions provided with the form. This will ensure that you understand the specific requirements and steps involved in filling out the deed of redemption.
03
Begin by entering the necessary information at the top of the form. This may include the name of the debtor, property address, and the date of redemption.
04
Identify the creditor or the entity that holds the lien on the property. Provide their name, address, and contact information in the appropriate section of the form.
05
Include a description of the property being redeemed. This can typically be found on the original lien documents or in the property records. Include the legal description, parcel number, or any other relevant identifying information.
06
Calculate and enter the total amount required for redemption. This typically includes the original debt, any accrued interest, and additional fees or costs associated with the redemption process.
07
Indicate the method of payment for the redemption amount. This can be in the form of a certified check, money order, or any other acceptable payment method specified by the creditor.
08
Sign and date the form. Ensure that all necessary parties have signed the document, including both the debtor and the creditor.
Who needs a blank deed of redemption?
01
Property owners who have had a lien placed on their property by a creditor may need a blank deed of redemption. This document allows the property owner to redeem and regain ownership of the property by paying off the outstanding debt.
02
Creditors or lienholders who wish to provide a blank deed of redemption to the debtor may also need this form. It is important for them to have a legally valid document that outlines the terms and conditions of the redemption process.
03
Legal professionals, such as lawyers or paralegals, may require a blank deed of redemption when assisting clients with property redemption cases. They use this document to ensure that all necessary information is provided and that the redemption process is carried out correctly.
Fill
form
: Try Risk Free
For pdfFiller’s FAQs
Below is a list of the most common customer questions. If you can’t find an answer to your question, please don’t hesitate to reach out to us.
How can I manage my blank deed of redemption directly from Gmail?
Using pdfFiller's Gmail add-on, you can edit, fill out, and sign your blank deed of redemption and other papers directly in your email. You may get it through Google Workspace Marketplace. Make better use of your time by handling your papers and eSignatures.
How do I edit blank deed of redemption in Chrome?
Adding the pdfFiller Google Chrome Extension to your web browser will allow you to start editing blank deed of redemption and other documents right away when you search for them on a Google page. People who use Chrome can use the service to make changes to their files while they are on the Chrome browser. pdfFiller lets you make fillable documents and make changes to existing PDFs from any internet-connected device.
Can I edit blank deed of redemption on an Android device?
You can make any changes to PDF files, such as blank deed of redemption, with the help of the pdfFiller mobile app for Android. Edit, sign, and send documents right from your mobile device. Install the app and streamline your document management wherever you are.
What is blank deed of redemption?
A blank deed of redemption is a legal document that allows the owner of a property to regain ownership by paying off any outstanding debts or taxes.
Who is required to file blank deed of redemption?
The owner of the property or someone acting on their behalf is required to file the blank deed of redemption.
How to fill out blank deed of redemption?
To fill out a blank deed of redemption, the required information such as property details, outstanding debts, and redemption amount must be accurately filled in the form.
What is the purpose of blank deed of redemption?
The purpose of a blank deed of redemption is to provide a legal means for the property owner to reclaim ownership of their property.
What information must be reported on blank deed of redemption?
The blank deed of redemption must include property details, amount owed, redemption amount, and any other relevant information.
Fill out your blank deed of redemption online with pdfFiller!
pdfFiller is an end-to-end solution for managing, creating, and editing documents and forms in the cloud. Save time and hassle by preparing your tax forms online.

Blank Deed Of Redemption is not the form you're looking for?Search for another form here.
Relevant keywords
Related Forms
If you believe that this page should be taken down, please follow our DMCA take down process
here
.
This form may include fields for payment information. Data entered in these fields is not covered by PCI DSS compliance.