
Get the free Disclosure Statement - Jennifer Diebel Licensed Professional
Show details
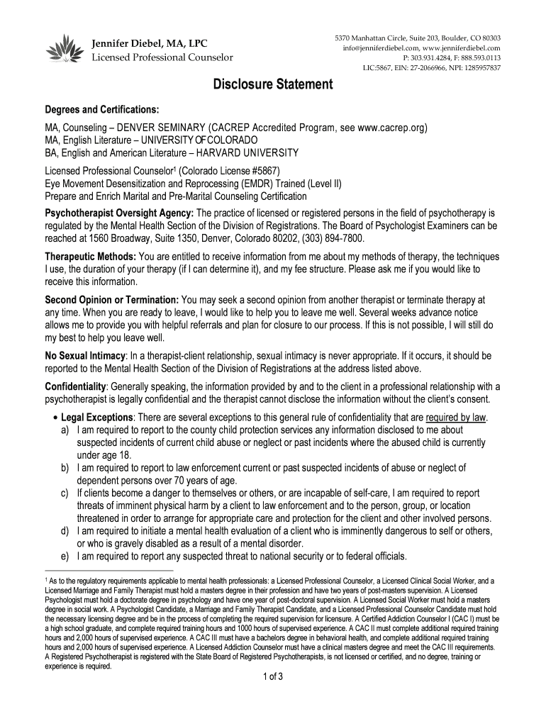
5370 Manhattan Circle, Suite 203, Boulder, CO 80303 info jenniferdiebel.com, www.jenniferdiebel.com P: 303.931.4284, F: 888.593.0113 LIC:5867, EIN: 272066966, NPI: 1285957837 Jennifer Diesel, MA,
We are not affiliated with any brand or entity on this form
Get, Create, Make and Sign disclosure statement - jennifer

Edit your disclosure statement - jennifer form online
Type text, complete fillable fields, insert images, highlight or blackout data for discretion, add comments, and more.

Add your legally-binding signature
Draw or type your signature, upload a signature image, or capture it with your digital camera.

Share your form instantly
Email, fax, or share your disclosure statement - jennifer form via URL. You can also download, print, or export forms to your preferred cloud storage service.
How to edit disclosure statement - jennifer online
In order to make advantage of the professional PDF editor, follow these steps below:
1
Log into your account. If you don't have a profile yet, click Start Free Trial and sign up for one.
2
Upload a file. Select Add New on your Dashboard and upload a file from your device or import it from the cloud, online, or internal mail. Then click Edit.
3
Edit disclosure statement - jennifer. Add and change text, add new objects, move pages, add watermarks and page numbers, and more. Then click Done when you're done editing and go to the Documents tab to merge or split the file. If you want to lock or unlock the file, click the lock or unlock button.
4
Save your file. Select it in the list of your records. Then, move the cursor to the right toolbar and choose one of the available exporting methods: save it in multiple formats, download it as a PDF, send it by email, or store it in the cloud.
pdfFiller makes working with documents easier than you could ever imagine. Register for an account and see for yourself!
Uncompromising security for your PDF editing and eSignature needs
Your private information is safe with pdfFiller. We employ end-to-end encryption, secure cloud storage, and advanced access control to protect your documents and maintain regulatory compliance.
How to fill out disclosure statement - jennifer

How to fill out a disclosure statement - Jennifer:
01
Start by gathering all the necessary information and documentation. This may include personal identification details, financial records, and any other relevant information.
02
Carefully read the instructions and guidelines provided on the disclosure statement form. Make sure you understand what information needs to be disclosed and how it should be presented.
03
Begin filling out the disclosure statement by providing your personal details such as name, address, contact information, and any other required information.
04
Provide accurate and detailed information about your financial situation. This may include information about your income, assets, liabilities, debts, and expenses. Be thorough and ensure that all the information is complete and up-to-date.
05
If applicable, disclose any financial relationships or affiliations that you have. This may include disclosing any business interests, investments, partnerships, or other financial holdings that may be relevant.
06
Double-check all the information you have provided on the disclosure statement form. Ensure that there are no errors or omissions. Review the form to make sure you have answered all the necessary questions and provided all the required details.
07
Sign and date the disclosure statement form. By signing, you are attesting that the information provided is true and accurate to the best of your knowledge.
Who needs a disclosure statement - Jennifer:
01
Individuals or businesses involved in certain financial transactions may be required by law to provide a disclosure statement. This could include situations such as obtaining a loan, entering into a business partnership, or purchasing property.
02
Jennifer, in this context, refers to an individual named Jennifer who is required to fill out a disclosure statement due to her involvement in a specific financial transaction.
03
It is important to note that the need for a disclosure statement may vary depending on the jurisdiction and the specific requirements of the transaction. It is always advisable to consult with legal or financial professionals to determine if a disclosure statement is required in a particular situation.
Fill
form
: Try Risk Free
For pdfFiller’s FAQs
Below is a list of the most common customer questions. If you can’t find an answer to your question, please don’t hesitate to reach out to us.
How do I modify my disclosure statement - jennifer in Gmail?
Using pdfFiller's Gmail add-on, you can edit, fill out, and sign your disclosure statement - jennifer and other papers directly in your email. You may get it through Google Workspace Marketplace. Make better use of your time by handling your papers and eSignatures.
How can I send disclosure statement - jennifer for eSignature?
When you're ready to share your disclosure statement - jennifer, you can send it to other people and get the eSigned document back just as quickly. Share your PDF by email, fax, text message, or USPS mail. You can also notarize your PDF on the web. You don't have to leave your account to do this.
How do I edit disclosure statement - jennifer straight from my smartphone?
Using pdfFiller's mobile-native applications for iOS and Android is the simplest method to edit documents on a mobile device. You may get them from the Apple App Store and Google Play, respectively. More information on the apps may be found here. Install the program and log in to begin editing disclosure statement - jennifer.
What is disclosure statement - jennifer?
Disclosure statement - jennifer is a document that discloses financial interests and potential conflicts of interest for Jennifer.
Who is required to file disclosure statement - jennifer?
Jennifer is required to file the disclosure statement.
How to fill out disclosure statement - jennifer?
To fill out the disclosure statement, Jennifer must provide detailed information about their financial interests and any potential conflicts of interest.
What is the purpose of disclosure statement - jennifer?
The purpose of the disclosure statement is to ensure transparency and integrity in decision-making processes involving Jennifer.
What information must be reported on disclosure statement - jennifer?
Jennifer must report all financial interests, sources of income, assets, and any potential conflicts of interest on the disclosure statement.
Fill out your disclosure statement - jennifer online with pdfFiller!
pdfFiller is an end-to-end solution for managing, creating, and editing documents and forms in the cloud. Save time and hassle by preparing your tax forms online.

Disclosure Statement - Jennifer is not the form you're looking for?Search for another form here.
Relevant keywords
Related Forms
If you believe that this page should be taken down, please follow our DMCA take down process
here
.
This form may include fields for payment information. Data entered in these fields is not covered by PCI DSS compliance.