Form preview

Get the free Maryville Girls Volleyball Grades 6 7 and 8 Open Gym and

Get Form
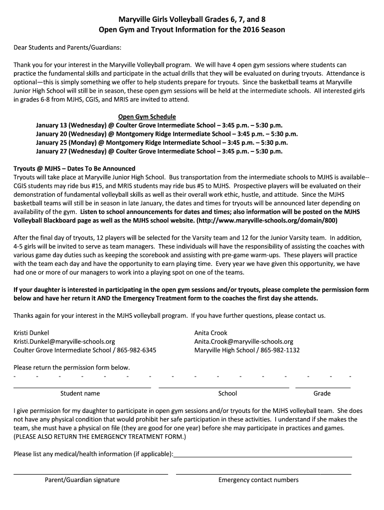
Maryville Girls Volleyball Grades 6, 7, and 8 Open Gym and Tryout Information for the 2016 Season Dear Students and Parents/Guardians: Thank you for your interest in the Maryville Volleyball program.
We are not affiliated with any brand or entity on this form

Get, Create, Make and Sign maryville girls volleyball grades

Edit
Edit your maryville girls volleyball grades form online
Type text, complete fillable fields, insert images, highlight or blackout data for discretion, add comments, and more.
Add
Add your legally-binding signature
Draw or type your signature, upload a signature image, or capture it with your digital camera.
Share
Share your form instantly
Email, fax, or share your maryville girls volleyball grades form via URL. You can also download, print, or export forms to your preferred cloud storage service.

Editing maryville girls volleyball grades online

9.5
Ease of Setup
pdfFiller User Ratings on G2
9.0
Ease of Use
pdfFiller User Ratings on G2
To use the professional PDF editor, follow these steps below:
1
Log in to your account. Start Free Trial and register a profile if you don't have one yet.
2
Prepare a file. Use the Add New button to start a new project. Then, using your device, upload your file to the system by importing it from internal mail, the cloud, or adding its URL.
3
Edit maryville girls volleyball grades. Rearrange and rotate pages, add new and changed texts, add new objects, and use other useful tools. When you're done, click Done. You can use the Documents tab to merge, split, lock, or unlock your files.
4
Save your file. Select it from your list of records. Then, move your cursor to the right toolbar and choose one of the exporting options. You can save it in multiple formats, download it as a PDF, send it by email, or store it in the cloud, among other things.

Uncompromising security for your PDF editing and eSignature needs

Your private information is safe with pdfFiller. We employ end-to-end encryption, secure cloud storage, and advanced access control to protect your documents and maintain regulatory compliance.
GDPR
AICPA SOC 2
PCI
HIPAA
CCPA
FDA

How to fill out maryville girls volleyball grades

Illustration

How to fill out Maryville Girls Volleyball Grades:

01
Obtain the necessary forms or access the online platform provided by Maryville Girls Volleyball.
02
Fill in your personal information, including your name, grade level, and contact details.
03
Provide accurate information regarding your volleyball performance, such as your attendance, participation in games and practices, and any achievements or special recognitions.
04
Use the grading system provided by Maryville Girls Volleyball to evaluate your individual skills and overall performance, such as serving, passing, setting, hitting, blocking, and teamwork.
05
Take note of any additional comments or feedback from your coach or teammates that may be required on the grading form.
06
Double-check all the information you have entered to ensure its accuracy.
07
Submit your completed grades either by handing in the form to your coach or submitting it online through the designated platform.

Who needs Maryville Girls Volleyball Grades:

01
Maryville Girls Volleyball coaches: The coaches use the grades to assess the performance and progress of the players, identify areas that need improvement, and make decisions regarding team selections and strategies.
02
Players: The grades help players keep track of their progress, set personal goals, and identify strengths and weaknesses in their volleyball skills. They also serve as a valuable tool for self-evaluation and improvement.
03
Parents and guardians: Maryville Girls Volleyball grades provide parents and guardians with insights into their child's performance and progress in volleyball. This information allows them to support and encourage their child's athletic development and make informed decisions regarding their participation in the sport.
Fill form : Try Risk Free
Users Most Likely To Recommend - Summer 2025
Grid Leader in Small-Business - Summer 2025
High Performer - Summer 2025
Regional Leader - Summer 2025
Easiest To Do Business With - Summer 2025
Best Meets Requirements- Summer 2025
Rate the form
4.0
Satisfied
23 Votes

For pdfFiller’s FAQs

Below is a list of the most common customer questions. If you can’t find an answer to your question, please don’t hesitate to reach out to us.

Yes. By adding the solution to your Chrome browser, you may use pdfFiller to eSign documents while also enjoying all of the PDF editor's capabilities in one spot. Create a legally enforceable eSignature by sketching, typing, or uploading a photo of your handwritten signature using the extension. Whatever option you select, you'll be able to eSign your maryville girls volleyball grades in seconds.
You can easily create and fill out legal forms with the help of the pdfFiller mobile app. Complete and sign maryville girls volleyball grades and other documents on your mobile device using the application. Visit pdfFiller’s webpage to learn more about the functionalities of the PDF editor.
Create, modify, and share maryville girls volleyball grades using the pdfFiller iOS app. Easy to install from the Apple Store. You may sign up for a free trial and then purchase a membership.
Fill out your maryville girls volleyball grades online with pdfFiller!

pdfFiller is an end-to-end solution for managing, creating, and editing documents and forms in the cloud. Save time and hassle by preparing your tax forms online.

Get started now
Form preview
If you believe that this page should be taken down, please follow our DMCA take down process here .
This form may include fields for payment information. Data entered in these fields is not covered by PCI DSS compliance.