Get the free New Service Connection Documentations required for Baord
Show details
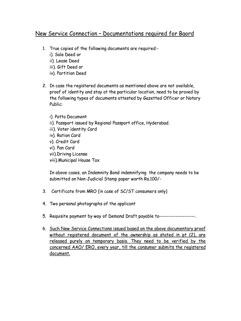
This document outlines the required documentation for establishing a new service connection, including acceptable proofs of identity and ownership, as well as specific conditions for temporary service
We are not affiliated with any brand or entity on this form
Get, Create, Make and Sign new service connection documentations
Edit your new service connection documentations form online
Type text, complete fillable fields, insert images, highlight or blackout data for discretion, add comments, and more.
Add your legally-binding signature
Draw or type your signature, upload a signature image, or capture it with your digital camera.
Share your form instantly
Email, fax, or share your new service connection documentations form via URL. You can also download, print, or export forms to your preferred cloud storage service.
Editing new service connection documentations online
To use the services of a skilled PDF editor, follow these steps below:
1
Check your account. In case you're new, it's time to start your free trial.
2
Prepare a file. Use the Add New button to start a new project. Then, using your device, upload your file to the system by importing it from internal mail, the cloud, or adding its URL.
3
Edit new service connection documentations. Rearrange and rotate pages, add and edit text, and use additional tools. To save changes and return to your Dashboard, click Done. The Documents tab allows you to merge, divide, lock, or unlock files.
4
Save your file. Select it from your records list. Then, click the right toolbar and select one of the various exporting options: save in numerous formats, download as PDF, email, or cloud.
With pdfFiller, it's always easy to work with documents.
Uncompromising security for your PDF editing and eSignature needs
Your private information is safe with pdfFiller. We employ end-to-end encryption, secure cloud storage, and advanced access control to protect your documents and maintain regulatory compliance.
How to fill out new service connection documentations
How to fill out new service connection documentations:
01
Begin by gathering all necessary information and supporting documents such as identification, proof of address, and any relevant permits or licenses.
02
Carefully read and understand the instructions provided in the documentation. Pay attention to any specific requirements or sections that need to be completed.
03
Fill out all the required fields accurately and legibly. Use black or blue ink and avoid making any unnecessary marks or corrections.
04
If there are any optional fields, consider providing the requested information if it is relevant and could potentially expedite the process.
05
Double-check all the details and information entered to ensure accuracy. Any mistakes or missing information could lead to delays or rejection.
06
If there are any additional documents or supporting evidence required, make sure to attach them securely and clearly label each document.
07
Review the completed documentation one final time before submitting. If possible, have another person review it as well to catch any potential errors.
08
Follow the specified submission instructions, whether it is via mail, in-person, or electronic submission. Ensure all necessary signatures and authorizations are obtained.
09
Keep a copy of the completed documentation for your records.
10
Finally, submit the documentation within the specified deadline, if any, and follow up with the appropriate authority if you do not receive any confirmation or updates within a reasonable timeframe.
Who needs new service connection documentations?
01
Individuals or businesses seeking to establish a new service connection, such as electrical, water, gas, or internet, typically require new service connection documentations.
02
These documentations may be needed when moving to a new residence, setting up a new business, or requesting additional services from an existing service provider.
03
The specific requirements and documentations needed may vary depending on the service provider and the specific services being requested. It is important to contact the relevant authority or consult their guidelines for accurate and up-to-date information.
Fill
form
: Try Risk Free
For pdfFiller’s FAQs
Below is a list of the most common customer questions. If you can’t find an answer to your question, please don’t hesitate to reach out to us.
How can I modify new service connection documentations without leaving Google Drive?
People who need to keep track of documents and fill out forms quickly can connect PDF Filler to their Google Docs account. This means that they can make, edit, and sign documents right from their Google Drive. Make your new service connection documentations into a fillable form that you can manage and sign from any internet-connected device with this add-on.
How can I send new service connection documentations for eSignature?
Once you are ready to share your new service connection documentations, you can easily send it to others and get the eSigned document back just as quickly. Share your PDF by email, fax, text message, or USPS mail, or notarize it online. You can do all of this without ever leaving your account.
How do I complete new service connection documentations online?
Completing and signing new service connection documentations online is easy with pdfFiller. It enables you to edit original PDF content, highlight, blackout, erase and type text anywhere on a page, legally eSign your form, and much more. Create your free account and manage professional documents on the web.
What is new service connection documentations?
New service connection documentations refer to the paperwork and forms that need to be completed when establishing a new service connection for a specific utility or service, such as electricity, water, internet, etc.
Who is required to file new service connection documentations?
Any individual or entity who wishes to establish a new service connection is required to file the necessary documentations. This includes homeowners, renters, businesses, etc.
How to fill out new service connection documentations?
To fill out new service connection documentations, you need to obtain the required forms from the utility provider or service provider. Fill in all the necessary information accurately and completely, providing all the requested details and supporting documents as required. Follow the instructions provided with the documentations to ensure proper completion.
What is the purpose of new service connection documentations?
The purpose of new service connection documentations is to officially request and establish a new service connection. These documentations help the utility or service provider verify the identity of the applicant, determine the feasibility of providing the service, and establish contractual terms and conditions.
What information must be reported on new service connection documentations?
The specific information that must be reported on new service connection documentations may vary depending on the utility or service provider. However, common information typically includes contact details of the applicant, address or location where the service connection is desired, type of service requested, supporting documents such as identification proofs, proof of ownership or tenancy, etc.
Fill out your new service connection documentations online with pdfFiller!
pdfFiller is an end-to-end solution for managing, creating, and editing documents and forms in the cloud. Save time and hassle by preparing your tax forms online.
New Service Connection Documentations is not the form you're looking for?Search for another form here.
Relevant keywords
Related Forms
If you believe that this page should be taken down, please follow our DMCA take down process
here
.
This form may include fields for payment information. Data entered in these fields is not covered by PCI DSS compliance.