Get the free Consent for Clinical Services - Adult - Communications Disorder Clinic
Show details
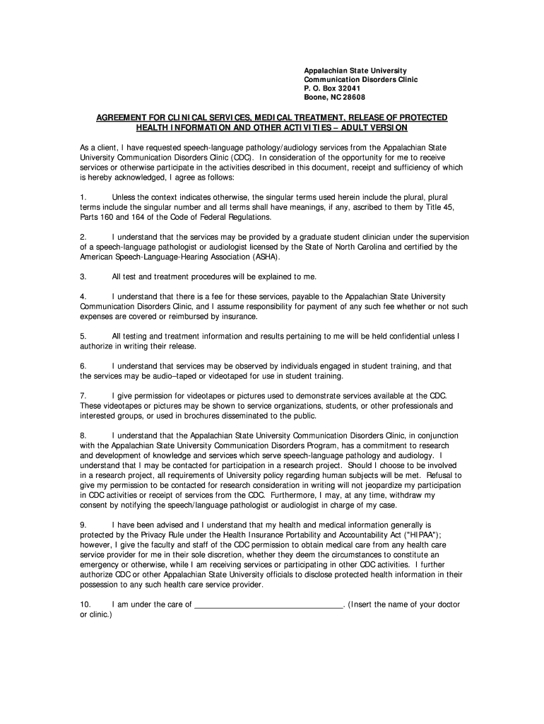
Appalachian State University Communication Disorders Clinic P. O. Box 32041 Boone, NC 28608 AGREEMENT FOR CLINICAL SERVICES, MEDICAL TREATMENT, RELEASE OF PROTECTED HEALTH INFORMATION AND OTHER ACTIVITIES
We are not affiliated with any brand or entity on this form
Get, Create, Make and Sign consent for clinical services
Edit your consent for clinical services form online
Type text, complete fillable fields, insert images, highlight or blackout data for discretion, add comments, and more.
Add your legally-binding signature
Draw or type your signature, upload a signature image, or capture it with your digital camera.
Share your form instantly
Email, fax, or share your consent for clinical services form via URL. You can also download, print, or export forms to your preferred cloud storage service.
Editing consent for clinical services online
Follow the guidelines below to take advantage of the professional PDF editor:
1
Set up an account. If you are a new user, click Start Free Trial and establish a profile.
2
Prepare a file. Use the Add New button. Then upload your file to the system from your device, importing it from internal mail, the cloud, or by adding its URL.
3
Edit consent for clinical services. Add and replace text, insert new objects, rearrange pages, add watermarks and page numbers, and more. Click Done when you are finished editing and go to the Documents tab to merge, split, lock or unlock the file.
4
Save your file. Select it from your records list. Then, click the right toolbar and select one of the various exporting options: save in numerous formats, download as PDF, email, or cloud.
Dealing with documents is always simple with pdfFiller.
Uncompromising security for your PDF editing and eSignature needs
Your private information is safe with pdfFiller. We employ end-to-end encryption, secure cloud storage, and advanced access control to protect your documents and maintain regulatory compliance.
How to fill out consent for clinical services
How to fill out consent for clinical services:
01
Obtain the consent form from the healthcare provider or clinic. This may be done in person, online, or through mail.
02
Read and understand the form thoroughly. It will typically outline the purpose of the clinical services, any potential risks or side effects, and the individual's rights as a patient.
03
Provide accurate personal information such as name, date of birth, and contact details.
04
Consult with a healthcare professional if you have any questions or concerns about the clinical services or the consent form.
05
Review and sign the consent form. By signing, you acknowledge that you have understood the information provided and have given your voluntary consent for the clinical services to be performed.
06
If applicable, provide any additional information or indicate any special requests or conditions that are important for the healthcare provider to be aware of.
07
Keep a copy of the signed consent form for your records.
Who needs consent for clinical services?
01
Any individual who wishes to receive clinical services from a healthcare provider or clinic needs to give their consent.
02
Consent is typically required for medical procedures, treatments, surgeries, diagnostic tests, or any other significant interventions that may have an impact on the individual's health or well-being.
03
Consent is necessary for adults, and in the case of minors or individuals who are unable to provide consent due to their mental or physical condition, consent must be obtained from a parent, legal guardian, or authorized representative.
Fill
form
: Try Risk Free
For pdfFiller’s FAQs
Below is a list of the most common customer questions. If you can’t find an answer to your question, please don’t hesitate to reach out to us.
How do I modify my consent for clinical services in Gmail?
In your inbox, you may use pdfFiller's add-on for Gmail to generate, modify, fill out, and eSign your consent for clinical services and any other papers you receive, all without leaving the program. Install pdfFiller for Gmail from the Google Workspace Marketplace by visiting this link. Take away the need for time-consuming procedures and handle your papers and eSignatures with ease.
How do I edit consent for clinical services straight from my smartphone?
The pdfFiller apps for iOS and Android smartphones are available in the Apple Store and Google Play Store. You may also get the program at https://edit-pdf-ios-android.pdffiller.com/. Open the web app, sign in, and start editing consent for clinical services.
How can I fill out consent for clinical services on an iOS device?
pdfFiller has an iOS app that lets you fill out documents on your phone. A subscription to the service means you can make an account or log in to one you already have. As soon as the registration process is done, upload your consent for clinical services. You can now use pdfFiller's more advanced features, like adding fillable fields and eSigning documents, as well as accessing them from any device, no matter where you are in the world.
What is consent for clinical services?
Consent for clinical services is the agreement given by a patient to receive medical treatment or participate in research.
Who is required to file consent for clinical services?
Patients or their authorized representatives are required to file consent for clinical services.
How to fill out consent for clinical services?
Consent for clinical services is typically filled out by providing personal information, signing the form, and dating it.
What is the purpose of consent for clinical services?
The purpose of consent for clinical services is to ensure that patients are fully informed and agree to medical treatment or research participation.
What information must be reported on consent for clinical services?
Consent for clinical services must include details about the treatment or research, risks and benefits, alternatives, and the patient's agreement.
Fill out your consent for clinical services online with pdfFiller!
pdfFiller is an end-to-end solution for managing, creating, and editing documents and forms in the cloud. Save time and hassle by preparing your tax forms online.
Consent For Clinical Services is not the form you're looking for?Search for another form here.
Relevant keywords
Related Forms
If you believe that this page should be taken down, please follow our DMCA take down process
here
.
This form may include fields for payment information. Data entered in these fields is not covered by PCI DSS compliance.