Get the free APPOINTMENT OF PROXY FORM - NICU
Show details
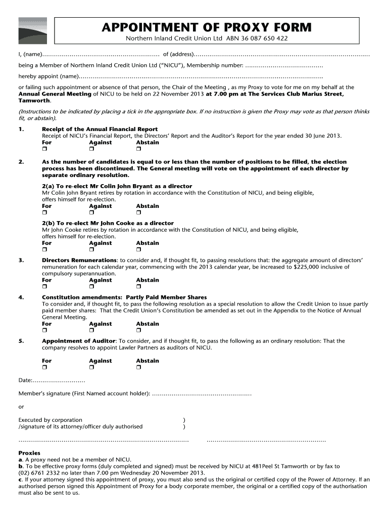
APPOINTMENT OF PROXY FORM Northern Inland Credit Union Ltd ABN 36 087 650 422 I, (name) of (address) being a Member of Northern Inland Credit Union Ltd (NICU×, Membership number:. Hereby appoint
We are not affiliated with any brand or entity on this form
Get, Create, Make and Sign appointment of proxy form
Edit your appointment of proxy form form online
Type text, complete fillable fields, insert images, highlight or blackout data for discretion, add comments, and more.
Add your legally-binding signature
Draw or type your signature, upload a signature image, or capture it with your digital camera.
Share your form instantly
Email, fax, or share your appointment of proxy form form via URL. You can also download, print, or export forms to your preferred cloud storage service.
Editing appointment of proxy form online
Here are the steps you need to follow to get started with our professional PDF editor:
1
Check your account. If you don't have a profile yet, click Start Free Trial and sign up for one.
2
Simply add a document. Select Add New from your Dashboard and import a file into the system by uploading it from your device or importing it via the cloud, online, or internal mail. Then click Begin editing.
3
Edit appointment of proxy form. Add and replace text, insert new objects, rearrange pages, add watermarks and page numbers, and more. Click Done when you are finished editing and go to the Documents tab to merge, split, lock or unlock the file.
4
Save your file. Select it from your list of records. Then, move your cursor to the right toolbar and choose one of the exporting options. You can save it in multiple formats, download it as a PDF, send it by email, or store it in the cloud, among other things.
The use of pdfFiller makes dealing with documents straightforward.
Uncompromising security for your PDF editing and eSignature needs
Your private information is safe with pdfFiller. We employ end-to-end encryption, secure cloud storage, and advanced access control to protect your documents and maintain regulatory compliance.
How to fill out appointment of proxy form
How to fill out appointment of proxy form:
01
Obtain the appointment of proxy form: Request the form from the relevant organization or download it from their website.
02
Fill out your personal information: Start by providing your full name, address, and contact details. This information is necessary for identification and communication purposes.
03
Indicate the meeting or event details: Specify the date, time, and location of the meeting or event for which you are appointing a proxy.
04
Choose a proxy: Identify the individual you wish to appoint as your proxy. Ensure that they are willing and available to attend the meeting on your behalf.
05
Complete the proxy's information: Provide the full name and contact details of the proxy. It is important to ensure accuracy to avoid any confusion.
06
Authorize the proxy: Sign and date the form to indicate that you are authorizing the proxy to act on your behalf.
07
Submit the form: Follow the instructions provided on the form to submit it to the appropriate party. This may involve mailing, emailing, or handing it in person.
Who needs appointment of proxy form:
01
Shareholders: In corporate settings, shareholders may need to fill out an appointment of proxy form to allow someone else to vote on their behalf at shareholder meetings.
02
Homeowners associations: In community or homeowners associations, members may need to appoint a proxy to represent them and vote on their behalf during association meetings.
03
Non-profit organizations: Members of non-profit organizations may use appointment of proxy forms to appoint someone to vote or participate in decision-making processes on their behalf during annual general meetings or other important meetings.
04
Condominium associations: Condominium owners may need to fill out an appointment of proxy form to designate someone to attend meetings and vote on their behalf, especially if they cannot attend the meeting in person.
05
Professional associations: Members of professional associations may utilize appointment of proxy forms when they are unable to attend association meetings or conferences and need someone to vote on their behalf or represent their interests.
Fill
form
: Try Risk Free
For pdfFiller’s FAQs
Below is a list of the most common customer questions. If you can’t find an answer to your question, please don’t hesitate to reach out to us.
How can I manage my appointment of proxy form directly from Gmail?
You may use pdfFiller's Gmail add-on to change, fill out, and eSign your appointment of proxy form as well as other documents directly in your inbox by using the pdfFiller add-on for Gmail. pdfFiller for Gmail may be found on the Google Workspace Marketplace. Use the time you would have spent dealing with your papers and eSignatures for more vital tasks instead.
Can I sign the appointment of proxy form electronically in Chrome?
Yes. With pdfFiller for Chrome, you can eSign documents and utilize the PDF editor all in one spot. Create a legally enforceable eSignature by sketching, typing, or uploading a handwritten signature image. You may eSign your appointment of proxy form in seconds.
How do I edit appointment of proxy form on an iOS device?
Yes, you can. With the pdfFiller mobile app, you can instantly edit, share, and sign appointment of proxy form on your iOS device. Get it at the Apple Store and install it in seconds. The application is free, but you will have to create an account to purchase a subscription or activate a free trial.
What is appointment of proxy form?
The appointment of proxy form is a document that allows an individual or entity to appoint someone else to vote on their behalf at a meeting or election.
Who is required to file appointment of proxy form?
Anyone who is unable to attend a meeting or election in person but still wants to have their vote counted.
How to fill out appointment of proxy form?
You can typically fill out the form by providing your name, the name of the person you are appointing as your proxy, and any specific instructions or limitations on their voting authority.
What is the purpose of appointment of proxy form?
The purpose of the appointment of proxy form is to ensure that individuals who are unable to attend a meeting or election can still have their vote represented.
What information must be reported on appointment of proxy form?
The form usually requires information such as the appointee's name, the appointor's name, the meeting or election being addressed, and any specific instructions regarding voting.
Fill out your appointment of proxy form online with pdfFiller!
pdfFiller is an end-to-end solution for managing, creating, and editing documents and forms in the cloud. Save time and hassle by preparing your tax forms online.
Appointment Of Proxy Form is not the form you're looking for?Search for another form here.
Relevant keywords
Related Forms
If you believe that this page should be taken down, please follow our DMCA take down process
here
.
This form may include fields for payment information. Data entered in these fields is not covered by PCI DSS compliance.