
Get the free Document requirement list for Divorce for Checking
Show details
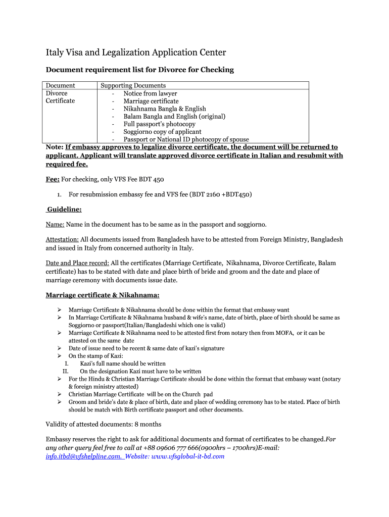
Italy Visa and Legalization Application Center Document requirement list for Divorce for Checking Document Divorce CertificateSupporting Documents Notice from lawyer Marriage certificate Nikahnama
We are not affiliated with any brand or entity on this form
Get, Create, Make and Sign document requirement list for

Edit your document requirement list for form online
Type text, complete fillable fields, insert images, highlight or blackout data for discretion, add comments, and more.

Add your legally-binding signature
Draw or type your signature, upload a signature image, or capture it with your digital camera.

Share your form instantly
Email, fax, or share your document requirement list for form via URL. You can also download, print, or export forms to your preferred cloud storage service.
How to edit document requirement list for online
Here are the steps you need to follow to get started with our professional PDF editor:
1
Set up an account. If you are a new user, click Start Free Trial and establish a profile.
2
Upload a file. Select Add New on your Dashboard and upload a file from your device or import it from the cloud, online, or internal mail. Then click Edit.
3
Edit document requirement list for. Rearrange and rotate pages, add and edit text, and use additional tools. To save changes and return to your Dashboard, click Done. The Documents tab allows you to merge, divide, lock, or unlock files.
4
Get your file. Select your file from the documents list and pick your export method. You may save it as a PDF, email it, or upload it to the cloud.
With pdfFiller, it's always easy to deal with documents.
Uncompromising security for your PDF editing and eSignature needs
Your private information is safe with pdfFiller. We employ end-to-end encryption, secure cloud storage, and advanced access control to protect your documents and maintain regulatory compliance.
How to fill out document requirement list for

How to Fill Out a Document Requirement List:
Start by gathering all necessary documents:
01
Identify the purpose of the document requirement list. Is it for a job application, a visa application, or any other specific purpose?
02
Research and make a list of all the documents that are typically required for that specific purpose. This may include identification documents, educational certificates, financial statements, and others.
Evaluate the specific requirements:
01
Read the instructions or guidelines provided by the organization or institution requesting the documents.
02
Check if there are any specific formatting or authentication requirements for the documents.
03
Make note of any deadlines or additional forms that need to be attached with the documents.
Fill out the document requirement list:
01
Create or download a document requirement list template if one is not provided.
02
The document requirement list should have a column for the name of the document, a brief description of what it is, and a checkbox or space to indicate if the document has been submitted.
03
Write down the names of all the required documents in the list.
04
In the description column, provide a brief explanation or note about each document. For example, if a document requires notarization or translation, mention it in the description.
05
Leave empty spaces for any additional documents that may be required based on individual circumstances.
Who Needs a Document Requirement List?
Students applying to educational institutions:
Students who are applying to colleges, universities, or study abroad programs will often need to gather various documents such as transcripts, certificates, essays, recommendation letters, and more. A document requirement list helps them stay organized and ensures that they have all the necessary paperwork.
Job seekers:
Individuals applying for a job may need to provide documents such as resumes, cover letters, references, educational degrees, certifications, and others. A document requirement list helps job seekers keep track of the documents they need to include in their application.
Visa or immigration applicants:
People applying for visas or immigration to another country typically have a long list of documents they need to submit, which may include passports, birth certificates, marriage certificates, bank statements, and more. A document requirement list helps them streamline the application process and avoid missing any critical documents.
In summary, a document requirement list is useful for individuals in various scenarios such as education, employment, and visa applications. It helps them gather and organize all the necessary documents, ensuring a smooth and efficient application process.
Fill
form
: Try Risk Free
For pdfFiller’s FAQs
Below is a list of the most common customer questions. If you can’t find an answer to your question, please don’t hesitate to reach out to us.
How do I make edits in document requirement list for without leaving Chrome?
Adding the pdfFiller Google Chrome Extension to your web browser will allow you to start editing document requirement list for and other documents right away when you search for them on a Google page. People who use Chrome can use the service to make changes to their files while they are on the Chrome browser. pdfFiller lets you make fillable documents and make changes to existing PDFs from any internet-connected device.
How do I fill out document requirement list for using my mobile device?
The pdfFiller mobile app makes it simple to design and fill out legal paperwork. Complete and sign document requirement list for and other papers using the app. Visit pdfFiller's website to learn more about the PDF editor's features.
How do I edit document requirement list for on an iOS device?
Use the pdfFiller mobile app to create, edit, and share document requirement list for from your iOS device. Install it from the Apple Store in seconds. You can benefit from a free trial and choose a subscription that suits your needs.
Fill out your document requirement list for online with pdfFiller!
pdfFiller is an end-to-end solution for managing, creating, and editing documents and forms in the cloud. Save time and hassle by preparing your tax forms online.

Document Requirement List For is not the form you're looking for?Search for another form here.
Relevant keywords
Related Forms
If you believe that this page should be taken down, please follow our DMCA take down process
here
.
This form may include fields for payment information. Data entered in these fields is not covered by PCI DSS compliance.