Get the free Towns of Spencer amp East Spencer Comprehensive Bicycle - townofeastspencer
Show details
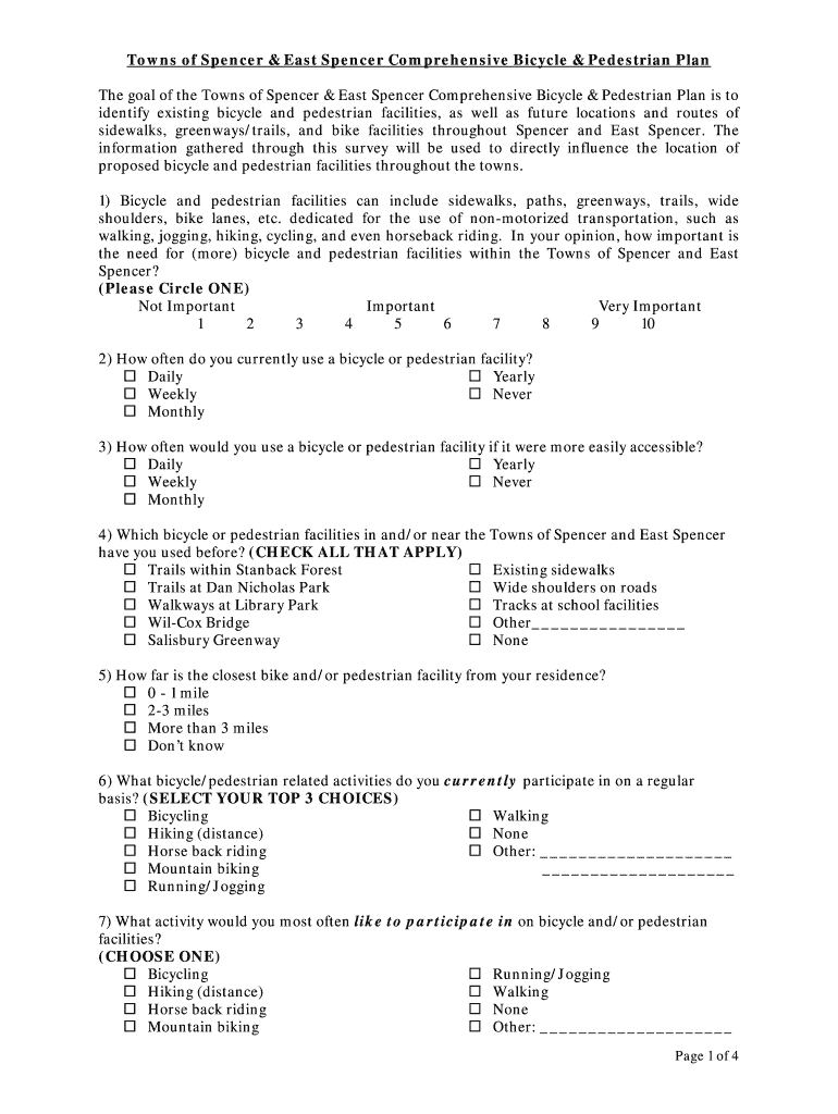
Towns of Spencer & East Spencer Comprehensive Bicycle & Pedestrian Plan The goal of the Towns of Spencer & East Spencer Comprehensive Bicycle & Pedestrian Plan is to identify existing bicycle and
We are not affiliated with any brand or entity on this form
Get, Create, Make and Sign towns of spencer amp
Edit your towns of spencer amp form online
Type text, complete fillable fields, insert images, highlight or blackout data for discretion, add comments, and more.
Add your legally-binding signature
Draw or type your signature, upload a signature image, or capture it with your digital camera.
Share your form instantly
Email, fax, or share your towns of spencer amp form via URL. You can also download, print, or export forms to your preferred cloud storage service.
How to edit towns of spencer amp online
Here are the steps you need to follow to get started with our professional PDF editor:
1
Check your account. If you don't have a profile yet, click Start Free Trial and sign up for one.
2
Upload a file. Select Add New on your Dashboard and upload a file from your device or import it from the cloud, online, or internal mail. Then click Edit.
3
Edit towns of spencer amp. Text may be added and replaced, new objects can be included, pages can be rearranged, watermarks and page numbers can be added, and so on. When you're done editing, click Done and then go to the Documents tab to combine, divide, lock, or unlock the file.
4
Get your file. Select your file from the documents list and pick your export method. You may save it as a PDF, email it, or upload it to the cloud.
pdfFiller makes working with documents easier than you could ever imagine. Register for an account and see for yourself!
Uncompromising security for your PDF editing and eSignature needs
Your private information is safe with pdfFiller. We employ end-to-end encryption, secure cloud storage, and advanced access control to protect your documents and maintain regulatory compliance.
How to fill out towns of spencer amp
How to fill out towns of spencer amp:
01
Start by accessing the official website of Towns of Spencer Amp.
02
Locate the section or form specifically designated for filling out the necessary information.
03
Carefully read the instructions provided on the form to ensure that you understand what is required of you.
04
Begin by entering your personal details, such as your full name, address, and contact information.
05
Fill out any additional fields that pertain to your specific situation or purpose for filling out the form. This may include information about the property you own or any permits you are requesting.
06
Double-check all the information you have entered to avoid any errors or omissions.
07
If required, attach any supporting documents or files that are necessary to complete the form.
08
Once you have reviewed and confirmed that all the information is accurate, submit the form according to the instructions provided. This may involve clicking a "submit" button or mailing the form to a specific address.
Who needs towns of Spencer Amp:
01
Property owners in the Towns of Spencer Amp who are required to fill out specific forms for legal, administrative, or regulatory purposes.
02
Residents or individuals who need permits, licenses, or approvals from the Towns of Spencer Amp and are required to complete corresponding forms.
03
Business owners or operators within the Towns of Spencer Amp who need to provide relevant information or comply with local regulations by filling out specific forms.
04
Any person or entity involved in transactions or interactions with the Towns of Spencer Amp that require the completion of paperwork or documentation.
Please note that the specifics of who needs towns of Spencer Amp may vary based on the specific regulations, requirements, and processes of the relevant jurisdiction. It is advisable to consult the official website or reach out to the appropriate authorities for accurate and up-to-date information.
Fill
form
: Try Risk Free
For pdfFiller’s FAQs
Below is a list of the most common customer questions. If you can’t find an answer to your question, please don’t hesitate to reach out to us.
Where do I find towns of spencer amp?
The premium version of pdfFiller gives you access to a huge library of fillable forms (more than 25 million fillable templates). You can download, fill out, print, and sign them all. State-specific towns of spencer amp and other forms will be easy to find in the library. Find the template you need and use advanced editing tools to make it your own.
Can I sign the towns of spencer amp electronically in Chrome?
Yes. By adding the solution to your Chrome browser, you may use pdfFiller to eSign documents while also enjoying all of the PDF editor's capabilities in one spot. Create a legally enforceable eSignature by sketching, typing, or uploading a photo of your handwritten signature using the extension. Whatever option you select, you'll be able to eSign your towns of spencer amp in seconds.
How can I fill out towns of spencer amp on an iOS device?
Make sure you get and install the pdfFiller iOS app. Next, open the app and log in or set up an account to use all of the solution's editing tools. If you want to open your towns of spencer amp, you can upload it from your device or cloud storage, or you can type the document's URL into the box on the right. After you fill in all of the required fields in the document and eSign it, if that is required, you can save or share it with other people.
What is towns of spencer amp?
The Towns of Spencer Amp is a form used to report financial information related to a specific town.
Who is required to file towns of spencer amp?
The town officials or representatives are typically required to file the Towns of Spencer Amp.
How to fill out towns of spencer amp?
The form can be filled out manually or electronically, following the instructions provided by the relevant authorities.
What is the purpose of towns of spencer amp?
The purpose of the form is to provide transparency and accountability regarding the financial activities of the town.
What information must be reported on towns of spencer amp?
The form typically requires information on revenues, expenditures, fund balances, and other financial details.
Fill out your towns of spencer amp online with pdfFiller!
pdfFiller is an end-to-end solution for managing, creating, and editing documents and forms in the cloud. Save time and hassle by preparing your tax forms online.
Towns Of Spencer Amp is not the form you're looking for?Search for another form here.
Relevant keywords
Related Forms
If you believe that this page should be taken down, please follow our DMCA take down process
here
.
This form may include fields for payment information. Data entered in these fields is not covered by PCI DSS compliance.