Get the free pdffiller
Show details
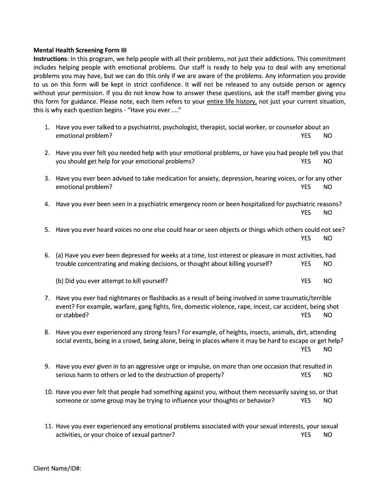
Mental Health Screening Forming FY15 DESCRIPTION (Source: TIP 42, Appendix H: Screening Instruments) The Mental Health Screening Forming was initially designed as a rough screening device for clients
We are not affiliated with any brand or entity on this form
Get, Create, Make and Sign pdffiller form
Edit your pdffiller form form online
Type text, complete fillable fields, insert images, highlight or blackout data for discretion, add comments, and more.
Add your legally-binding signature
Draw or type your signature, upload a signature image, or capture it with your digital camera.
Share your form instantly
Email, fax, or share your pdffiller form form via URL. You can also download, print, or export forms to your preferred cloud storage service.
Editing pdffiller form online
Here are the steps you need to follow to get started with our professional PDF editor:
1
Sign into your account. It's time to start your free trial.
2
Simply add a document. Select Add New from your Dashboard and import a file into the system by uploading it from your device or importing it via the cloud, online, or internal mail. Then click Begin editing.
3
Edit pdffiller form. Replace text, adding objects, rearranging pages, and more. Then select the Documents tab to combine, divide, lock or unlock the file.
4
Save your file. Select it from your list of records. Then, move your cursor to the right toolbar and choose one of the exporting options. You can save it in multiple formats, download it as a PDF, send it by email, or store it in the cloud, among other things.
It's easier to work with documents with pdfFiller than you can have believed. Sign up for a free account to view.
Uncompromising security for your PDF editing and eSignature needs
Your private information is safe with pdfFiller. We employ end-to-end encryption, secure cloud storage, and advanced access control to protect your documents and maintain regulatory compliance.
How to fill out pdffiller form
How to fill out mental health screening form-iii:
01
Start by carefully reading the instructions provided on the form. Make sure you understand what information is being asked for and how to accurately complete each section.
02
Begin by providing your personal information, such as your full name, date of birth, and contact details. Fill in these details accurately and double-check for any errors.
03
The next section may require you to answer questions about your medical history and any previous mental health treatments or diagnoses. Be honest and provide as much detail as possible. This information will help healthcare professionals assess your current mental health status.
04
The form may also ask about any medications you are currently taking, including the dosage and frequency. List all prescribed medications and any over-the-counter drugs or supplements you regularly use.
05
Next, you may be asked to rate your current emotional state or symptoms. This could involve indicating the level of distress or impairment you experience in various areas of life, such as work, relationships, or overall well-being. Use the provided scale or guidelines to provide an accurate assessment.
06
Some forms might include sections on specific mental health conditions or symptoms. If applicable, provide details about any specific mental health concerns you may be facing. Answer honestly and provide specific examples if possible.
Who needs mental health screening form-iii:
01
Individuals seeking mental health treatment: The mental health screening form-iii is commonly used as an initial assessment tool for individuals seeking mental health treatment. It helps healthcare professionals gather important information about a person's mental health history and current symptoms, enabling them to make informed treatment decisions.
02
Healthcare professionals: Mental health screening form-iii might be used by doctors, psychiatrists, psychologists, therapists, or counselors to gather detailed information about their patients' mental health. This form allows clinicians to gather specific data that can aid in diagnosing mental health conditions and developing effective treatment plans.
03
Research studies or clinical trials: Researchers conducting studies or clinical trials related to mental health may utilize the mental health screening form-iii to collect standardized data from participants. This information can help researchers analyze trends, identify patterns, and evaluate the effectiveness of various interventions.
Remember, the mental health screening form-iii is an essential tool in gathering crucial information regarding an individual's mental health history and current symptoms. By providing accurate and detailed information, you can assist healthcare professionals in making informed decisions about your mental well-being and ensure you receive appropriate care.
Fill
form
: Try Risk Free
For pdfFiller’s FAQs
Below is a list of the most common customer questions. If you can’t find an answer to your question, please don’t hesitate to reach out to us.
Where do I find pdffiller form?
It's simple with pdfFiller, a full online document management tool. Access our huge online form collection (over 25M fillable forms are accessible) and find the pdffiller form in seconds. Open it immediately and begin modifying it with powerful editing options.
How do I execute pdffiller form online?
With pdfFiller, you may easily complete and sign pdffiller form online. It lets you modify original PDF material, highlight, blackout, erase, and write text anywhere on a page, legally eSign your document, and do a lot more. Create a free account to handle professional papers online.
How do I complete pdffiller form on an Android device?
Complete your pdffiller form and other papers on your Android device by using the pdfFiller mobile app. The program includes all of the necessary document management tools, such as editing content, eSigning, annotating, sharing files, and so on. You will be able to view your papers at any time as long as you have an internet connection.
What is mental health screening form-iii?
Mental health screening form-iii is a standardized form used to assess an individual's mental health condition.
Who is required to file mental health screening form-iii?
Mental health screening form-iii is typically required to be filled out by healthcare professionals or mental health providers.
How to fill out mental health screening form-iii?
To fill out mental health screening form-iii, one must provide accurate and detailed information about the individual's mental health status.
What is the purpose of mental health screening form-iii?
The purpose of mental health screening form-iii is to evaluate and monitor an individual's mental health condition.
What information must be reported on mental health screening form-iii?
Information such as symptoms, medical history, and current mental health status must be reported on mental health screening form-iii.
Fill out your pdffiller form online with pdfFiller!
pdfFiller is an end-to-end solution for managing, creating, and editing documents and forms in the cloud. Save time and hassle by preparing your tax forms online.
Pdffiller Form is not the form you're looking for?Search for another form here.
Relevant keywords
Related Forms
If you believe that this page should be taken down, please follow our DMCA take down process
here
.
This form may include fields for payment information. Data entered in these fields is not covered by PCI DSS compliance.