
Get the free BOARD AGENDA
Show details
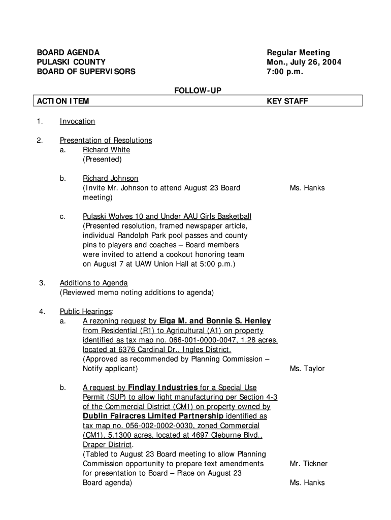
This document outlines the agenda for the regular meeting of the Pulaski County Board of Supervisors, detailing various action items, public hearings, resolutions, and updates on county matters.
We are not affiliated with any brand or entity on this form
Get, Create, Make and Sign board agenda

Edit your board agenda form online
Type text, complete fillable fields, insert images, highlight or blackout data for discretion, add comments, and more.

Add your legally-binding signature
Draw or type your signature, upload a signature image, or capture it with your digital camera.

Share your form instantly
Email, fax, or share your board agenda form via URL. You can also download, print, or export forms to your preferred cloud storage service.
How to edit board agenda online
To use our professional PDF editor, follow these steps:
1
Sign into your account. It's time to start your free trial.
2
Prepare a file. Use the Add New button. Then upload your file to the system from your device, importing it from internal mail, the cloud, or by adding its URL.
3
Edit board agenda. Replace text, adding objects, rearranging pages, and more. Then select the Documents tab to combine, divide, lock or unlock the file.
4
Save your file. Select it in the list of your records. Then, move the cursor to the right toolbar and choose one of the available exporting methods: save it in multiple formats, download it as a PDF, send it by email, or store it in the cloud.
pdfFiller makes working with documents easier than you could ever imagine. Create an account to find out for yourself how it works!
Uncompromising security for your PDF editing and eSignature needs
Your private information is safe with pdfFiller. We employ end-to-end encryption, secure cloud storage, and advanced access control to protect your documents and maintain regulatory compliance.
How to fill out board agenda

How to fill out BOARD AGENDA
01
Start with the name of the organization or committee at the top of the agenda.
02
Include the date, time, and location of the meeting.
03
List the objectives or purpose of the meeting.
04
Outline the agenda items in a clear and concise manner.
05
Assign a time limit to each agenda item to keep the meeting on track.
06
Indicate who will lead each agenda item or discussion.
07
Add a section for any materials or reports that need to be reviewed during the meeting.
08
Include a section for any announcements or additional comments.
Who needs BOARD AGENDA?
01
Board members who need to prepare for the meeting.
02
Meeting facilitators or chairs who lead the discussion.
03
Stakeholders who want to understand meeting topics.
04
Administrative staff involved in organizing and scheduling meetings.
Fill
form
: Try Risk Free
People Also Ask about
What should be on a board agenda?
Utilize a well-structured board agenda template as a starting point. This template should include standard sections such as a called to order, approval of minutes, committee reports, old business, new business and adjournment.
What are the 4 P's of a meeting agenda?
Inspired by the work of researchers Kim Cameron and David Whetten, here are some proven methods for how to have an effective meeting every time by following the four Ps: purpose, product, people, and process.
What is an example of an agenda?
Agenda items: Outline each topic you want to cover in order of importance along with estimated discussion times. For example: Q3 marketing strategy (30 mins) New product designs (45 mins)
How to create a board agenda?
How to structure a board meeting agenda Call to order. Every board meeting should start with a formal call to order in which the chairperson welcomes everyone to the meeting. Changes to the agenda. Approving the previous meeting's minutes. Reports. Old business. New business. Comments and announcements. Adjournment.
How to write a board agenda item?
A typical board meeting agenda format goes something like this: Welcome and Call to Order. Your board meeting should always kick off with a call to order! Changes to the Agenda. Approval of Previous Minutes. Reports. Old Business. New Business. Announcements. Closing or Adjournment.
Why is it called a board meeting?
If you find yourself thinking there's a lot of dead wood at board level, remind yourself that it's only natural. A board is dead wood. Historically, from the 16th century, a board was a table around which important meetings took place. The name then shifted from the furniture to the important people who sat around it.
What is the main purpose of an agenda?
A meeting agenda helps you and your colleagues prepare for a meeting and guide yourselves through the items you need to discuss. Time spent in planning an agenda will likely save time for all meeting participants by providing a clear set of topics, objectives, and time frames.
What is a board agenda?
A board meeting agenda is a document that outlines every aspect of a meeting. It includes an outline of all the events, policies and action items that will be highlighted during a board meeting. It also includes the place and time of the board meeting.
For pdfFiller’s FAQs
Below is a list of the most common customer questions. If you can’t find an answer to your question, please don’t hesitate to reach out to us.
What is BOARD AGENDA?
The BOARD AGENDA is a structured outline of topics and items that are to be discussed or acted upon during a board meeting. It serves as a guide to ensure that all important matters are addressed.
Who is required to file BOARD AGENDA?
Typically, the chairperson of the board or the person responsible for organizing the meeting is required to file the BOARD AGENDA. This may also include administrative staff or secretaries.
How to fill out BOARD AGENDA?
To fill out a BOARD AGENDA, list all the topics to be discussed in a clear and organized manner, assign time limits for each item, and indicate who will lead the discussion or presentation for each agenda item.
What is the purpose of BOARD AGENDA?
The purpose of the BOARD AGENDA is to provide a clear plan for the meeting, facilitate efficient discussions, ensure accountability by assigning topics, and improve the overall effectiveness of the board’s decision-making process.
What information must be reported on BOARD AGENDA?
The BOARD AGENDA must report information such as the date and time of the meeting, location, a list of topics to be discussed, names of presenters for each item, and any required materials or documents needed for discussion.
Fill out your board agenda online with pdfFiller!
pdfFiller is an end-to-end solution for managing, creating, and editing documents and forms in the cloud. Save time and hassle by preparing your tax forms online.

Board Agenda is not the form you're looking for?Search for another form here.
Relevant keywords
Related Forms
If you believe that this page should be taken down, please follow our DMCA take down process
here
.
This form may include fields for payment information. Data entered in these fields is not covered by PCI DSS compliance.