Get the free NCWAR MLS MEETING AGENDA October 3rd, 2013 ... - ncwar.realtor
Show details
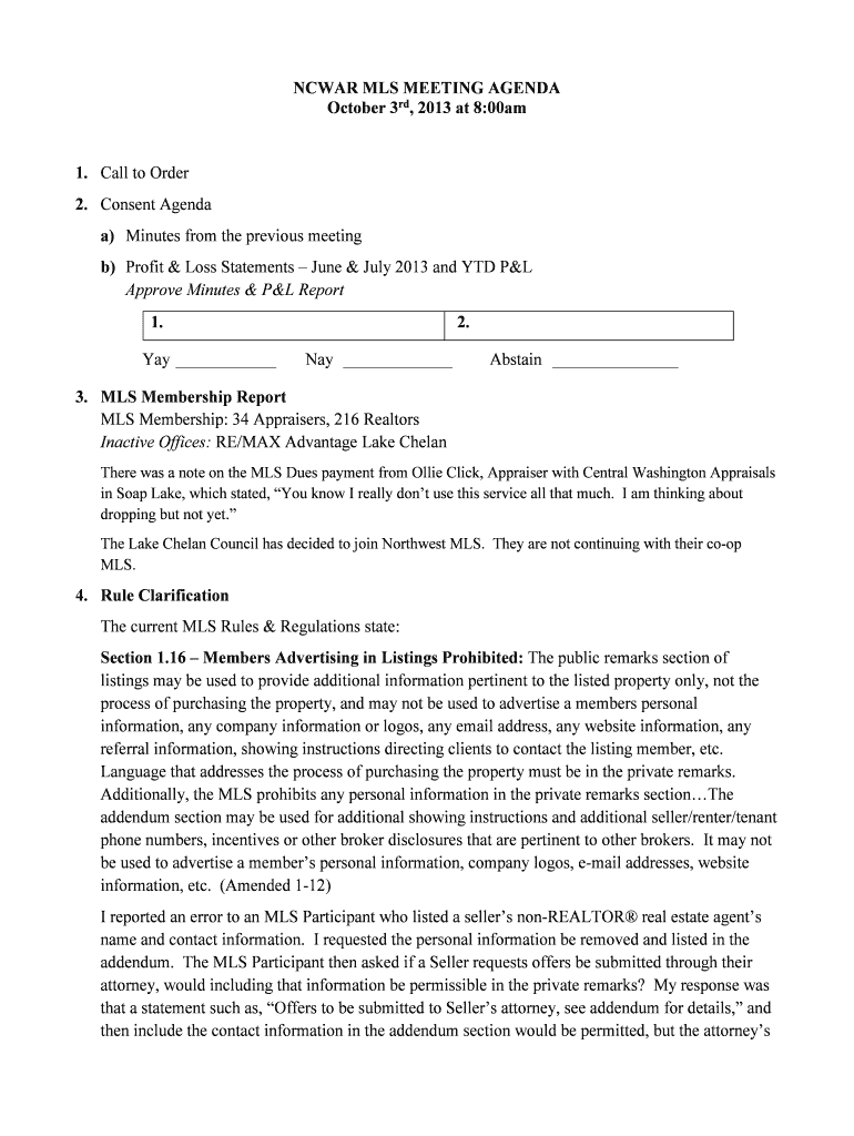
NCW AR MLS MEETING AGENDA October 3rd, 2013 at 8:00am 1. Call to Order 2. Consent Agenda a) Minutes from the previous meeting b) Profit & Loss Statements June & July 2013 and YTD P&L Approve Minutes
We are not affiliated with any brand or entity on this form
Get, Create, Make and Sign ncwar mls meeting agenda
Edit your ncwar mls meeting agenda form online
Type text, complete fillable fields, insert images, highlight or blackout data for discretion, add comments, and more.
Add your legally-binding signature
Draw or type your signature, upload a signature image, or capture it with your digital camera.
Share your form instantly
Email, fax, or share your ncwar mls meeting agenda form via URL. You can also download, print, or export forms to your preferred cloud storage service.
How to edit ncwar mls meeting agenda online
Here are the steps you need to follow to get started with our professional PDF editor:
1
Log in to your account. Click on Start Free Trial and register a profile if you don't have one.
2
Prepare a file. Use the Add New button. Then upload your file to the system from your device, importing it from internal mail, the cloud, or by adding its URL.
3
Edit ncwar mls meeting agenda. Replace text, adding objects, rearranging pages, and more. Then select the Documents tab to combine, divide, lock or unlock the file.
4
Get your file. When you find your file in the docs list, click on its name and choose how you want to save it. To get the PDF, you can save it, send an email with it, or move it to the cloud.
With pdfFiller, dealing with documents is always straightforward. Try it now!
Uncompromising security for your PDF editing and eSignature needs
Your private information is safe with pdfFiller. We employ end-to-end encryption, secure cloud storage, and advanced access control to protect your documents and maintain regulatory compliance.
How to fill out ncwar mls meeting agenda
01
Start by filling out the date and time of the meeting at the top of the agenda. This will help ensure everyone knows when and where the meeting will take place.
02
Next, list the attendees who are expected to be present at the meeting. Include their names and any relevant titles or roles, as this will provide clarity on who should be in attendance.
03
Begin the agenda with a brief overview or introduction of the meeting's purpose. This can include a summary of the main topics or goals that will be discussed during the session.
04
In the agenda, outline the specific items or topics that will be covered during the meeting. Use headings or bullet points to clearly define each agenda item. This will help keep the discussion focused and organized.
05
Provide time estimates for each agenda item to ensure the meeting stays on schedule. This will help attendees plan their contributions accordingly and prevent any unnecessary delays.
06
Consider including any necessary materials or documents that should be reviewed or prepared prior to the meeting. This can include reports, research findings, or other relevant information.
07
Lastly, clearly communicate any action items or follow-up tasks that need to be completed after the meeting. This will help ensure that everyone understands their responsibilities and can contribute to the meeting's objectives.
Who needs ncwar mls meeting agenda?
01
Real estate agents: They need the meeting agenda to stay informed about the topics, discussions, and action items that will be covered during the meeting. It helps them prepare and contribute effectively to the discussion.
02
Brokers and team leaders: They require the meeting agenda to stay up to date with the information that will be presented during the meeting. It helps them understand the direction of the organization and make informed decisions.
03
Board members or committee members: They rely on the meeting agenda to serve as a guide and reference point during the meeting. It allows them to follow along with the discussion and provide input on relevant matters.
Fill
form
: Try Risk Free
For pdfFiller’s FAQs
Below is a list of the most common customer questions. If you can’t find an answer to your question, please don’t hesitate to reach out to us.
How do I execute ncwar mls meeting agenda online?
Completing and signing ncwar mls meeting agenda online is easy with pdfFiller. It enables you to edit original PDF content, highlight, blackout, erase and type text anywhere on a page, legally eSign your form, and much more. Create your free account and manage professional documents on the web.
How do I edit ncwar mls meeting agenda online?
pdfFiller allows you to edit not only the content of your files, but also the quantity and sequence of the pages. Upload your ncwar mls meeting agenda to the editor and make adjustments in a matter of seconds. Text in PDFs may be blacked out, typed in, and erased using the editor. You may also include photos, sticky notes, and text boxes, among other things.
Can I create an electronic signature for signing my ncwar mls meeting agenda in Gmail?
Upload, type, or draw a signature in Gmail with the help of pdfFiller’s add-on. pdfFiller enables you to eSign your ncwar mls meeting agenda and other documents right in your inbox. Register your account in order to save signed documents and your personal signatures.
What is ncwar mls meeting agenda?
The ncwar mls meeting agenda is a document outlining the topics to be discussed during a meeting organized by the North Central Washington Association of Realtors MLS.
Who is required to file ncwar mls meeting agenda?
Members and participants of the North Central Washington Association of Realtors MLS are required to file the meeting agenda.
How to fill out ncwar mls meeting agenda?
To fill out the ncwar mls meeting agenda, participants must include the date, time, location, and topics to be discussed during the meeting.
What is the purpose of ncwar mls meeting agenda?
The purpose of the ncwar mls meeting agenda is to provide a structured outline for discussions and ensure all relevant topics are covered during the meeting.
What information must be reported on ncwar mls meeting agenda?
The ncwar mls meeting agenda must include the date, time, location, and a list of topics to be discussed.
Fill out your ncwar mls meeting agenda online with pdfFiller!
pdfFiller is an end-to-end solution for managing, creating, and editing documents and forms in the cloud. Save time and hassle by preparing your tax forms online.
Ncwar Mls Meeting Agenda is not the form you're looking for?Search for another form here.
Relevant keywords
Related Forms
If you believe that this page should be taken down, please follow our DMCA take down process
here
.
This form may include fields for payment information. Data entered in these fields is not covered by PCI DSS compliance.