Get the free MySpace Account Search Warrant Affidavit
Show details
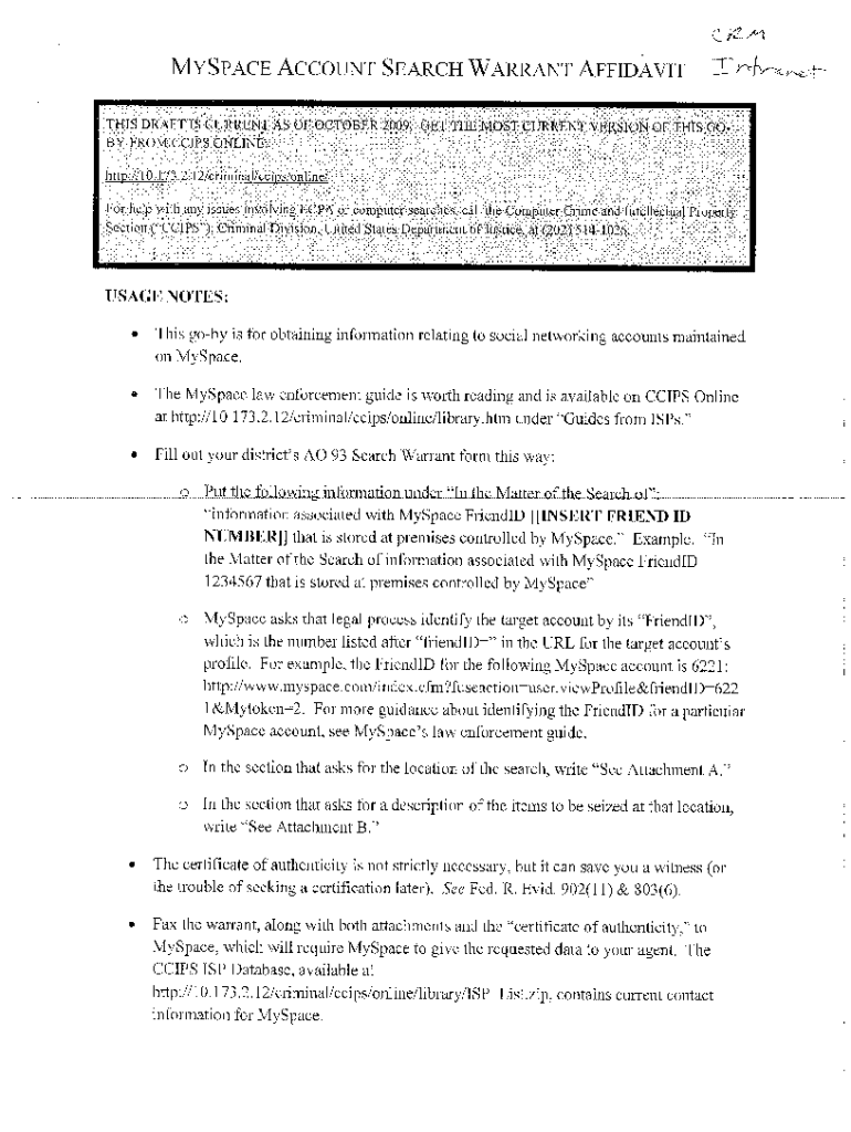
This document serves as an affidavit for law enforcement to obtain information related to MySpace accounts under investigation. It outlines the required information, legal procedures, and technical
We are not affiliated with any brand or entity on this form
Get, Create, Make and Sign myspace account search warrant
Edit your myspace account search warrant form online
Type text, complete fillable fields, insert images, highlight or blackout data for discretion, add comments, and more.
Add your legally-binding signature
Draw or type your signature, upload a signature image, or capture it with your digital camera.
Share your form instantly
Email, fax, or share your myspace account search warrant form via URL. You can also download, print, or export forms to your preferred cloud storage service.
Editing myspace account search warrant online
Here are the steps you need to follow to get started with our professional PDF editor:
1
Sign into your account. If you don't have a profile yet, click Start Free Trial and sign up for one.
2
Simply add a document. Select Add New from your Dashboard and import a file into the system by uploading it from your device or importing it via the cloud, online, or internal mail. Then click Begin editing.
3
Edit myspace account search warrant. Rearrange and rotate pages, add new and changed texts, add new objects, and use other useful tools. When you're done, click Done. You can use the Documents tab to merge, split, lock, or unlock your files.
4
Get your file. Select the name of your file in the docs list and choose your preferred exporting method. You can download it as a PDF, save it in another format, send it by email, or transfer it to the cloud.
With pdfFiller, dealing with documents is always straightforward.
Uncompromising security for your PDF editing and eSignature needs
Your private information is safe with pdfFiller. We employ end-to-end encryption, secure cloud storage, and advanced access control to protect your documents and maintain regulatory compliance.
How to fill out myspace account search warrant
How to fill out MySpace Account Search Warrant Affidavit
01
Begin by obtaining the MySpace Account Search Warrant Affidavit form.
02
Fill out the heading section with the relevant case details including case number and court jurisdiction.
03
Provide your name, title, and affiliation in the affiant section.
04
Detail the facts and evidence that justify the need for the search warrant in a clear and concise manner.
05
Specify the MySpace account information you are seeking, including the username and any relevant dates.
06
Include any supporting documentation or evidence that corroborates your request.
07
Sign the affidavit in front of a notary or authorized official.
08
Submit the completed affidavit to the appropriate court for approval.
Who needs MySpace Account Search Warrant Affidavit?
01
Law enforcement officers conducting investigations that require access to a MySpace account for evidence.
02
Prosecutors who need to gather digital evidence for criminal cases.
03
Legal professionals representing clients in cases where digital communication records are pertinent.
Fill
form
: Try Risk Free
People Also Ask about
What is an affidavit in a search warrant?
An Affidavit in Support of Search Warrant is a request from a law enforcement agency to the court when the law enforcement agency finds probable cause to request a search warrant. The Affidavit in Support of Search Warrant must be approved by the court before a law enforcement agency conducts the search.
What is an affidavit in support of a search warrant?
An Affidavit in Support of Search Warrant is a request from a law enforcement agency to the court when the law enforcement agency finds probable cause to request a search warrant. The Affidavit in Support of Search Warrant must be approved by the court before a law enforcement agency conducts the search.
What is an affidavit of support used for?
Most family-based immigrants and some employment-based immigrants use this form to show they have adequate means of financial support and are not likely to rely on the U.S. government for financial support.
What is the main purpose of an affidavit?
They are often used in court to serve as evidence toward a singular side in a dispute, or to affirm a claim that someone is making. If you knowingly sign an affidavit that contains false information you could risk losing your case, as well as face a potential charge of perjury.
What is the purpose of a supporting affidavit?
Affidavits can be used to present witness statements, expert opinions, or documentary evidence when witnesses can't appear in person. When seeking immediate court orders, like interdicts or restraining orders, affidavits are crucial to explain the urgency and provide supporting facts.
How do police get a search warrant for social media accounts?
To obtain a warrant, police must submit an affidavit (a written statement made under oath) establishing that there is a fair probability (or “probable cause”) that evidence of a crime will be found at a particular place or on a particular person.
For pdfFiller’s FAQs
Below is a list of the most common customer questions. If you can’t find an answer to your question, please don’t hesitate to reach out to us.
What is MySpace Account Search Warrant Affidavit?
The MySpace Account Search Warrant Affidavit is a legal document that law enforcement officers submit to a court to obtain authorization to search and access a user's MySpace account for evidence related to a criminal investigation.
Who is required to file MySpace Account Search Warrant Affidavit?
Law enforcement officers or other authorized personnel who are conducting an investigation and need to access a MySpace account for evidence are required to file the MySpace Account Search Warrant Affidavit.
How to fill out MySpace Account Search Warrant Affidavit?
To fill out the MySpace Account Search Warrant Affidavit, an officer must provide information such as the details of the investigation, the reasons for seeking access to the account, the specifics of the account in question, and any relevant evidence that justifies the warrant.
What is the purpose of MySpace Account Search Warrant Affidavit?
The purpose of the MySpace Account Search Warrant Affidavit is to establish probable cause for a search warrant, allowing law enforcement to legally access the digital content contained within a MySpace account that may be relevant to a criminal case.
What information must be reported on MySpace Account Search Warrant Affidavit?
The information that must be reported on the MySpace Account Search Warrant Affidavit includes the identification of the account in question, the nature of the offenses being investigated, the facts supporting probable cause, and the specific data sought from the MySpace account.
Fill out your myspace account search warrant online with pdfFiller!
pdfFiller is an end-to-end solution for managing, creating, and editing documents and forms in the cloud. Save time and hassle by preparing your tax forms online.
Myspace Account Search Warrant is not the form you're looking for?Search for another form here.
Relevant keywords
Related Forms
If you believe that this page should be taken down, please follow our DMCA take down process
here
.
This form may include fields for payment information. Data entered in these fields is not covered by PCI DSS compliance.