
Get the free Application for Assistance Dog Permit
Show details
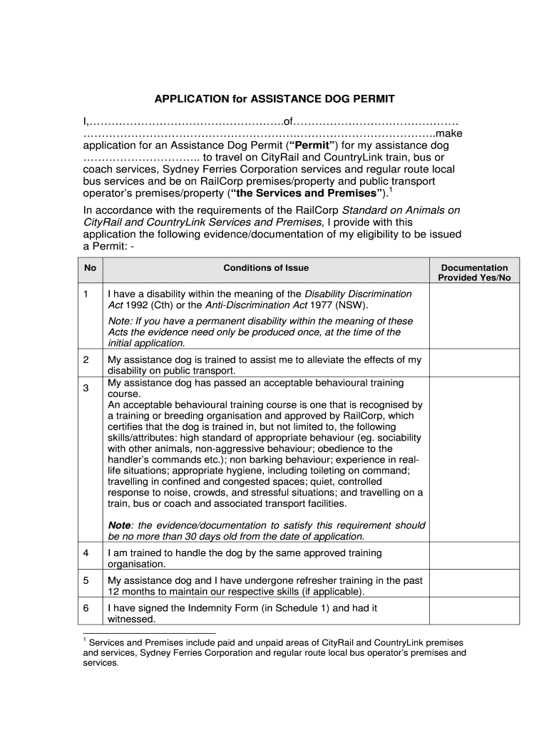
APPLICATION for ASSISTANCE DOG PERMIT
I, .of
...make
application for an Assistance Dog Permit (Permit) for my assistance dog. To travel on Trail and Countryside train, bus or
coach services, Sydney
We are not affiliated with any brand or entity on this form
Get, Create, Make and Sign application for assistance dog

Edit your application for assistance dog form online
Type text, complete fillable fields, insert images, highlight or blackout data for discretion, add comments, and more.

Add your legally-binding signature
Draw or type your signature, upload a signature image, or capture it with your digital camera.

Share your form instantly
Email, fax, or share your application for assistance dog form via URL. You can also download, print, or export forms to your preferred cloud storage service.
How to edit application for assistance dog online
Here are the steps you need to follow to get started with our professional PDF editor:
1
Register the account. Begin by clicking Start Free Trial and create a profile if you are a new user.
2
Prepare a file. Use the Add New button. Then upload your file to the system from your device, importing it from internal mail, the cloud, or by adding its URL.
3
Edit application for assistance dog. Rearrange and rotate pages, add and edit text, and use additional tools. To save changes and return to your Dashboard, click Done. The Documents tab allows you to merge, divide, lock, or unlock files.
4
Save your file. Select it in the list of your records. Then, move the cursor to the right toolbar and choose one of the available exporting methods: save it in multiple formats, download it as a PDF, send it by email, or store it in the cloud.
With pdfFiller, it's always easy to work with documents.
Uncompromising security for your PDF editing and eSignature needs
Your private information is safe with pdfFiller. We employ end-to-end encryption, secure cloud storage, and advanced access control to protect your documents and maintain regulatory compliance.
How to fill out application for assistance dog

How to fill out an application for an assistance dog:
01
Research assistance dog organizations: Start by researching different assistance dog organizations in your area or online. Look for reputable organizations that have a history of successfully matching individuals with appropriate assistance dogs.
02
Review application requirements: Each organization may have slightly different application requirements. Review these requirements carefully to ensure you meet the eligibility criteria. Some common requirements may include proof of a disability or medical condition that requires the assistance of a dog, a letter of recommendation from a healthcare professional, and a commitment to attending training sessions.
03
Gather necessary documents: Collect all the necessary documents required for the application. This may include medical records, a letter of recommendation, and any other supporting documentation that proves your need for an assistance dog.
04
Complete the application form: Fill out the application form provided by the assistance dog organization. Be thorough and provide accurate information about yourself, your disability or medical condition, your living situation, and any previous experience with dogs or assistance animals.
05
Submit supporting documents: Attach all the supporting documents to your application form as instructed by the organization. Make sure to include any additional information that may help the organization evaluate your suitability for an assistance dog.
06
Submit the application: Follow the instructions provided by the organization to submit your application. This may involve mailing it, emailing it, or submitting it through an online portal. Double-check that you have included all the required documents and that the application is filled out accurately.
Who needs an application for an assistance dog?
01
Individuals with disabilities: An application for an assistance dog is typically needed by individuals who have a disability or a medical condition that would benefit from the help of a trained dog. This can include physical disabilities, sensory impairments, psychiatric conditions, or medical conditions that require assistance with tasks or emotional support.
02
People in need of specific assistance: An application for an assistance dog is necessary for those who require specific tasks or support that can be provided by a trained dog. For example, someone with mobility limitations may need an assistance dog to help with tasks such as picking up objects, opening doors, or providing balance support.
03
Individuals seeking emotional support: Some people may require an assistance dog for emotional support, such as individuals with mental health conditions like anxiety or post-traumatic stress disorder (PTSD). These dogs can provide comfort, reduce anxiety, and help manage symptoms associated with these conditions.
Overall, an application for an assistance dog is needed by individuals who can benefit from the specialized training and support that these animals provide. By following the proper application process, you can increase your chances of being matched with an assistance dog that suits your needs and improve your quality of life.
Fill
form
: Try Risk Free
For pdfFiller’s FAQs
Below is a list of the most common customer questions. If you can’t find an answer to your question, please don’t hesitate to reach out to us.
How do I modify my application for assistance dog in Gmail?
It's easy to use pdfFiller's Gmail add-on to make and edit your application for assistance dog and any other documents you get right in your email. You can also eSign them. Take a look at the Google Workspace Marketplace and get pdfFiller for Gmail. Get rid of the time-consuming steps and easily manage your documents and eSignatures with the help of an app.
How can I send application for assistance dog to be eSigned by others?
To distribute your application for assistance dog, simply send it to others and receive the eSigned document back instantly. Post or email a PDF that you've notarized online. Doing so requires never leaving your account.
Can I create an electronic signature for the application for assistance dog in Chrome?
You certainly can. You get not just a feature-rich PDF editor and fillable form builder with pdfFiller, but also a robust e-signature solution that you can add right to your Chrome browser. You may use our addon to produce a legally enforceable eSignature by typing, sketching, or photographing your signature with your webcam. Choose your preferred method and eSign your application for assistance dog in minutes.
What is application for assistance dog?
An application for assistance dog is a formal request for a trained dog that helps individuals with disabilities in their daily tasks.
Who is required to file application for assistance dog?
Individuals with disabilities who would benefit from the assistance of a trained dog are required to file an application for assistance dog.
How to fill out application for assistance dog?
To fill out an application for an assistance dog, individuals need to provide personal information, details about their disability, and reasons for needing an assistance dog.
What is the purpose of application for assistance dog?
The purpose of the application for assistance dog is to assess the needs of individuals with disabilities and match them with a suitable trained dog to improve their quality of life.
What information must be reported on application for assistance dog?
Information such as personal details, medical history, disability documentation, and references may be required on the application for assistance dog.
Fill out your application for assistance dog online with pdfFiller!
pdfFiller is an end-to-end solution for managing, creating, and editing documents and forms in the cloud. Save time and hassle by preparing your tax forms online.

Application For Assistance Dog is not the form you're looking for?Search for another form here.
Relevant keywords
Related Forms
If you believe that this page should be taken down, please follow our DMCA take down process
here
.
This form may include fields for payment information. Data entered in these fields is not covered by PCI DSS compliance.