
Get the free Witness Disclosure Form - docs house
Show details
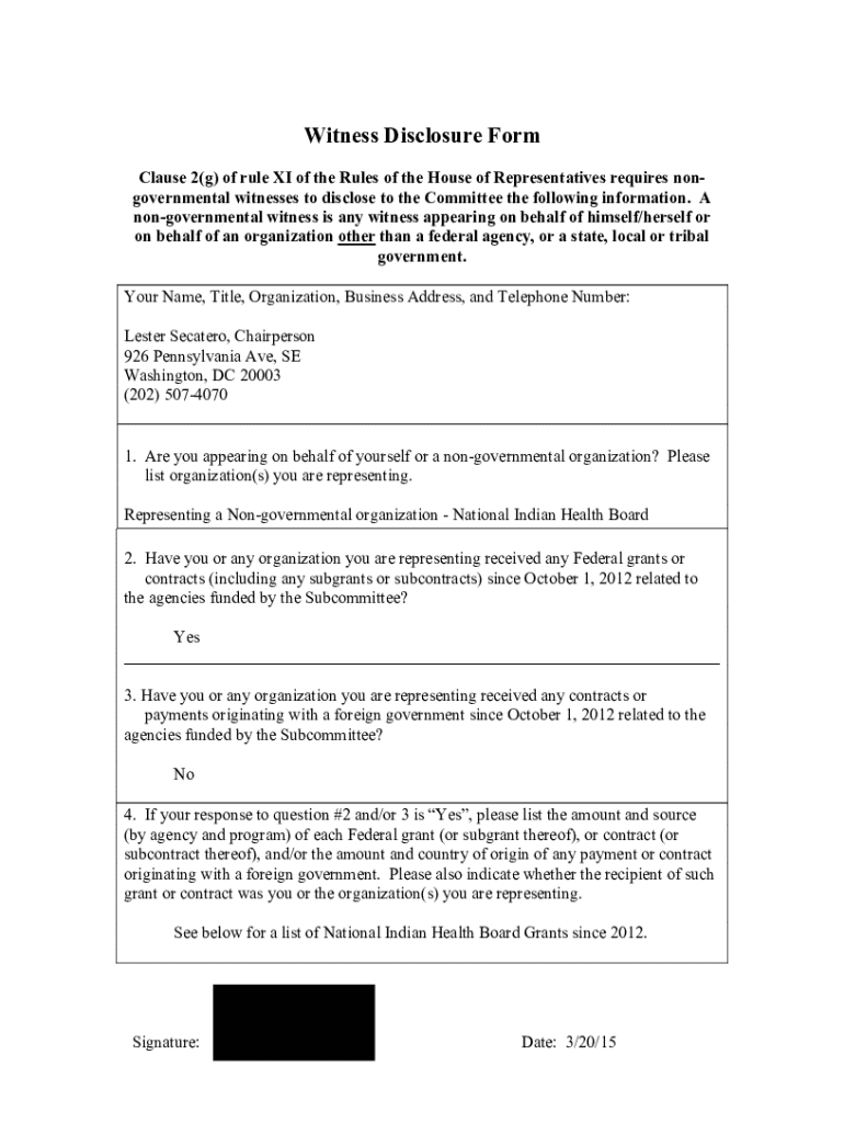
This form is required for non-governmental witnesses appearing before the Committee, detailing their representation, federal grants received, and affiliations. It ensures compliance with Clause 2(g) of rule XI of the Rules of the House of Representatives.
We are not affiliated with any brand or entity on this form
Get, Create, Make and Sign witness disclosure form

Edit your witness disclosure form form online
Type text, complete fillable fields, insert images, highlight or blackout data for discretion, add comments, and more.

Add your legally-binding signature
Draw or type your signature, upload a signature image, or capture it with your digital camera.

Share your form instantly
Email, fax, or share your witness disclosure form form via URL. You can also download, print, or export forms to your preferred cloud storage service.
How to edit witness disclosure form online
Follow the guidelines below to use a professional PDF editor:
1
Log in to your account. Click Start Free Trial and sign up a profile if you don't have one.
2
Upload a document. Select Add New on your Dashboard and transfer a file into the system in one of the following ways: by uploading it from your device or importing from the cloud, web, or internal mail. Then, click Start editing.
3
Edit witness disclosure form. Replace text, adding objects, rearranging pages, and more. Then select the Documents tab to combine, divide, lock or unlock the file.
4
Get your file. When you find your file in the docs list, click on its name and choose how you want to save it. To get the PDF, you can save it, send an email with it, or move it to the cloud.
With pdfFiller, it's always easy to work with documents. Check it out!
Uncompromising security for your PDF editing and eSignature needs
Your private information is safe with pdfFiller. We employ end-to-end encryption, secure cloud storage, and advanced access control to protect your documents and maintain regulatory compliance.
How to fill out witness disclosure form

How to fill out witness disclosure form
01
Obtain the witness disclosure form from the relevant authority or court website.
02
Fill in the title of the case at the top of the form.
03
Provide your name and contact information in the designated fields.
04
List the names and contact details of each witness you are disclosing.
05
Briefly describe each witness's expected testimony or relevance to the case.
06
Sign and date the form to certify the information is complete and accurate.
07
Submit the completed form to the appropriate court or legal representative by the deadline.
Who needs witness disclosure form?
01
Parties involved in legal proceedings, such as plaintiffs and defendants.
02
Lawyers representing clients in court cases.
03
Individuals required to disclose witness information as part of the legal process.
Fill
form
: Try Risk Free
For pdfFiller’s FAQs
Below is a list of the most common customer questions. If you can’t find an answer to your question, please don’t hesitate to reach out to us.
How can I send witness disclosure form to be eSigned by others?
To distribute your witness disclosure form, simply send it to others and receive the eSigned document back instantly. Post or email a PDF that you've notarized online. Doing so requires never leaving your account.
Where do I find witness disclosure form?
It's simple using pdfFiller, an online document management tool. Use our huge online form collection (over 25M fillable forms) to quickly discover the witness disclosure form. Open it immediately and start altering it with sophisticated capabilities.
How do I complete witness disclosure form on an iOS device?
In order to fill out documents on your iOS device, install the pdfFiller app. Create an account or log in to an existing one if you have a subscription to the service. Once the registration process is complete, upload your witness disclosure form. You now can take advantage of pdfFiller's advanced functionalities: adding fillable fields and eSigning documents, and accessing them from any device, wherever you are.
What is witness disclosure form?
A witness disclosure form is a legal document that parties in a lawsuit must complete to disclose the identities of individuals they plan to call as witnesses during court proceedings.
Who is required to file witness disclosure form?
Typically, both parties in a lawsuit are required to file a witness disclosure form as part of the pre-trial procedures to ensure that all relevant witnesses are identified.
How to fill out witness disclosure form?
To fill out a witness disclosure form, a party must provide detailed information about each witness, including their name, contact information, and a brief description of their expected testimony.
What is the purpose of witness disclosure form?
The purpose of the witness disclosure form is to promote transparency in the legal process by ensuring that all parties are aware of who will testify and what the witnesses will discuss.
What information must be reported on witness disclosure form?
The information that must be reported typically includes the names, addresses, telephone numbers of the witnesses, and a summary of the testimony or evidence they are expected to provide.
Fill out your witness disclosure form online with pdfFiller!
pdfFiller is an end-to-end solution for managing, creating, and editing documents and forms in the cloud. Save time and hassle by preparing your tax forms online.

Witness Disclosure Form is not the form you're looking for?Search for another form here.
Relevant keywords
Related Forms
If you believe that this page should be taken down, please follow our DMCA take down process
here
.
This form may include fields for payment information. Data entered in these fields is not covered by PCI DSS compliance.