Get the free Massage - Foster Wellness
Show details
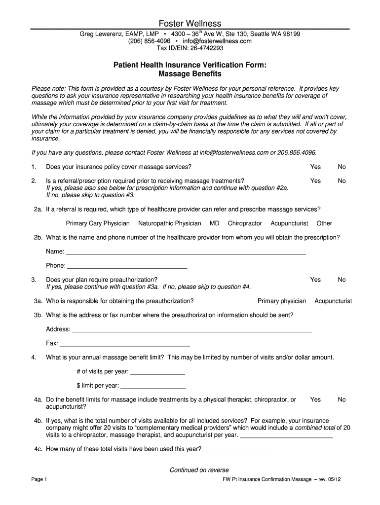
Foster Wellness TH Greg Learn, CAMP, LMP 4300 36 Ave W, Ste 130, Seattle WA 98199 ×206× 8564096 info fosterwellness.com Tax ID×EIN: 264742293 Patient Health Insurance Verification Form: Massage
We are not affiliated with any brand or entity on this form
Get, Create, Make and Sign massage - foster wellness
Edit your massage - foster wellness form online
Type text, complete fillable fields, insert images, highlight or blackout data for discretion, add comments, and more.
Add your legally-binding signature
Draw or type your signature, upload a signature image, or capture it with your digital camera.
Share your form instantly
Email, fax, or share your massage - foster wellness form via URL. You can also download, print, or export forms to your preferred cloud storage service.
Editing massage - foster wellness online
Follow the guidelines below to use a professional PDF editor:
1
Register the account. Begin by clicking Start Free Trial and create a profile if you are a new user.
2
Prepare a file. Use the Add New button. Then upload your file to the system from your device, importing it from internal mail, the cloud, or by adding its URL.
3
Edit massage - foster wellness. Rearrange and rotate pages, add new and changed texts, add new objects, and use other useful tools. When you're done, click Done. You can use the Documents tab to merge, split, lock, or unlock your files.
4
Save your file. Select it from your list of records. Then, move your cursor to the right toolbar and choose one of the exporting options. You can save it in multiple formats, download it as a PDF, send it by email, or store it in the cloud, among other things.
With pdfFiller, it's always easy to deal with documents.
Uncompromising security for your PDF editing and eSignature needs
Your private information is safe with pdfFiller. We employ end-to-end encryption, secure cloud storage, and advanced access control to protect your documents and maintain regulatory compliance.
How to fill out massage - foster wellness
How to Fill out Massage - Foster Wellness:
01
Begin by preparing the massage area. Make sure the room is clean, comfortable, and free from distractions. Dim the lights, play soothing music, and adjust the temperature to create a relaxing atmosphere.
02
Communicate with the person receiving the massage. Ask about their preferences, any specific areas they want you to focus on, and if they have any health conditions or injuries that may require modifications to the massage techniques.
03
Warm up your hands and apply a small amount of massage oil or lotion to facilitate smooth movement and prevent friction on the skin.
04
Start the massage by using long, flowing strokes known as effleurage to introduce relaxation and warm up the muscles. This technique helps to increase blood flow and prepare the body for deeper work.
05
Gradually progress to kneading and compression techniques, such as petrissage, to release tension and promote muscle relaxation. Focus on areas of stress or discomfort, but remember to always apply appropriate pressure and adjust as needed.
06
Incorporate techniques like friction, tapotement, and vibration to further stimulate circulation, relieve muscle tension, and enhance overall well-being. These techniques can vary based on personal preference and the specific needs of the person receiving the massage.
07
Pay attention to non-verbal cues and adjust your approach accordingly. If the person appears uncomfortable or experiences pain, modify your techniques or discontinue the massage in that area.
08
Finish the massage with gentle, soothing strokes to calm the body and bring the session to a close. Allow the person time to relax and provide any post-massage care instructions, such as drinking water to stay hydrated.
Who Needs Massage - Foster Wellness:
01
Individuals experiencing physical discomfort or pain due to muscle tension, injuries, or chronic conditions like arthritis or fibromyalgia can benefit from massage therapy to reduce pain, increase range of motion, and promote healing.
02
People who lead sedentary lifestyles or have desk jobs often experience muscle stiffness and tension. Regular massage can help alleviate these issues, improve posture, and increase overall mobility.
03
Athletes and individuals engaged in physical activities can enhance their performance and prevent injuries by incorporating massage therapy into their wellness routine. Massage helps to optimize muscle function, promote flexibility, and speed up recovery.
04
Individuals dealing with stress, anxiety, or mental health conditions may find massage therapy beneficial in promoting relaxation, reducing anxiety levels, and improving overall mental well-being.
05
Older adults can greatly benefit from massage therapy as it can help alleviate age-related conditions like arthritis, joint stiffness, and poor circulation. It promotes better sleep, reduces stress, and enhances overall quality of life.
06
Pregnant women also benefit from prenatal massage to relieve the discomforts associated with pregnancy, such as back pain, swelling, and muscle tension. It can also help improve sleep and reduce stress during this transformative time.
Remember, it is always important to consult with a qualified massage therapist or healthcare professional to determine the appropriateness and safety of massage therapy for individual needs.
Fill
form
: Try Risk Free
For pdfFiller’s FAQs
Below is a list of the most common customer questions. If you can’t find an answer to your question, please don’t hesitate to reach out to us.
How can I fill out massage - foster wellness on an iOS device?
Install the pdfFiller iOS app. Log in or create an account to access the solution's editing features. Open your massage - foster wellness by uploading it from your device or online storage. After filling in all relevant fields and eSigning if required, you may save or distribute the document.
How do I edit massage - foster wellness on an Android device?
With the pdfFiller Android app, you can edit, sign, and share massage - foster wellness on your mobile device from any place. All you need is an internet connection to do this. Keep your documents in order from anywhere with the help of the app!
How do I fill out massage - foster wellness on an Android device?
Complete your massage - foster wellness and other papers on your Android device by using the pdfFiller mobile app. The program includes all of the necessary document management tools, such as editing content, eSigning, annotating, sharing files, and so on. You will be able to view your papers at any time as long as you have an internet connection.
What is massage - foster wellness?
Massage - foster wellness is a therapeutic practice aimed at promoting physical and mental well-being through the manipulation of muscles and soft tissues.
Who is required to file massage - foster wellness?
Massage therapists and wellness centers that offer massage services are required to file massage - foster wellness.
How to fill out massage - foster wellness?
Massage - foster wellness forms can be filled out online or submitted in person at the designated government office.
What is the purpose of massage - foster wellness?
The purpose of massage - foster wellness is to promote relaxation, reduce stress, relieve muscle tension, and improve overall health and well-being.
What information must be reported on massage - foster wellness?
Information such as the type of massage offered, number of clients served, duration of sessions, and any special techniques used must be reported on massage - foster wellness forms.
Fill out your massage - foster wellness online with pdfFiller!
pdfFiller is an end-to-end solution for managing, creating, and editing documents and forms in the cloud. Save time and hassle by preparing your tax forms online.
Massage - Foster Wellness is not the form you're looking for?Search for another form here.
Relevant keywords
Related Forms
If you believe that this page should be taken down, please follow our DMCA take down process
here
.
This form may include fields for payment information. Data entered in these fields is not covered by PCI DSS compliance.