Form preview

Get the free The RER is used to support the expenses which cannot be conveniently issued official

Get Form
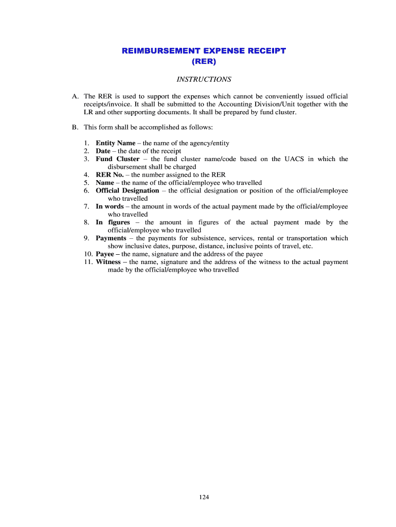
REIMBURSEMENT EXPENSE RECEIPT (RER) INSTRUCTIONS A. The RER is used to support the expenses which cannot be conveniently issued official receipts×invoice. It shall be submitted to the Accounting
We are not affiliated with any brand or entity on this form

Get, Create, Make and Sign form rer is used

Edit
Edit your form rer is used form online
Type text, complete fillable fields, insert images, highlight or blackout data for discretion, add comments, and more.
Add
Add your legally-binding signature
Draw or type your signature, upload a signature image, or capture it with your digital camera.
Share
Share your form instantly
Email, fax, or share your form rer is used form via URL. You can also download, print, or export forms to your preferred cloud storage service.

Editing form rer is used online

9.5
Ease of Setup
pdfFiller User Ratings on G2
9.0
Ease of Use
pdfFiller User Ratings on G2
Follow the steps below to take advantage of the professional PDF editor:
1
Create an account. Begin by choosing Start Free Trial and, if you are a new user, establish a profile.
2
Upload a document. Select Add New on your Dashboard and transfer a file into the system in one of the following ways: by uploading it from your device or importing from the cloud, web, or internal mail. Then, click Start editing.
3
Edit form rer is used. Rearrange and rotate pages, add and edit text, and use additional tools. To save changes and return to your Dashboard, click Done. The Documents tab allows you to merge, divide, lock, or unlock files.
4
Get your file. When you find your file in the docs list, click on its name and choose how you want to save it. To get the PDF, you can save it, send an email with it, or move it to the cloud.
With pdfFiller, it's always easy to work with documents.

Uncompromising security for your PDF editing and eSignature needs

Your private information is safe with pdfFiller. We employ end-to-end encryption, secure cloud storage, and advanced access control to protect your documents and maintain regulatory compliance.
GDPR
AICPA SOC 2
PCI
HIPAA
CCPA
FDA

How to fill out form rer is used

Illustration

How to fill out form rer is used:

01
Start by carefully reading the instructions provided with the form rer. Make sure you understand the purpose of the form and the information it requires.
02
Gather all the necessary documents and information before you begin filling out the form rer. This may include personal identification, relevant financial records, or any other supporting documentation.
03
Begin by filling out the necessary personal information fields on the form rer. This may include your full name, address, contact details, and any other requested personal details.
04
Follow the instructions on the form rer to provide any additional information or answer specific questions. Take your time to accurately provide the required details and ensure you do not miss anything.
05
Double-check all the entries you have made on the form rer before submitting it. Ensure that all information provided is accurate, legible, and up-to-date.
06
If there are any sections or fields on the form rer that you are unsure about or do not apply to your situation, seek clarification from the relevant authorities or consult any supplementary guidance that may be available.

Who needs form rer:

01
Individuals or businesses involved in the transportation or shipping industry may need form rer. This form is specifically used for reporting exports of hazardous materials.
02
Companies or individuals engaged in international trade and shipping goods classified as dangerous goods may be required to complete form rer. It is essential for complying with regulations and ensuring the safe transportation of hazardous materials.
03
Professionals responsible for shipping, logistics, or compliance within an organization may also need to familiarize themselves with form rer. This includes individuals working in freight forwarding companies, logistics departments of corporations, or transport management roles.
It is important to note that the need for form rer may vary depending on the specific jurisdiction and regulations in place. Therefore, it is advisable to consult the appropriate regulatory body or seek professional advice to determine if form rer is required in a particular situation.
Fill form : Try Risk Free
Users Most Likely To Recommend - Summer 2025
Grid Leader in Small-Business - Summer 2025
High Performer - Summer 2025
Regional Leader - Summer 2025
Easiest To Do Business With - Summer 2025
Best Meets Requirements- Summer 2025
Rate the form
4.1
Satisfied
56 Votes

For pdfFiller’s FAQs

Below is a list of the most common customer questions. If you can’t find an answer to your question, please don’t hesitate to reach out to us.

pdfFiller and Google Docs can be used together to make your documents easier to work with and to make fillable forms right in your Google Drive. The integration will let you make, change, and sign documents, like form rer is used, without leaving Google Drive. Add pdfFiller's features to Google Drive, and you'll be able to do more with your paperwork on any internet-connected device.
pdfFiller not only allows you to edit the content of your files but fully rearrange them by changing the number and sequence of pages. Upload your form rer is used to the editor and make any required adjustments in a couple of clicks. The editor enables you to blackout, type, and erase text in PDFs, add images, sticky notes and text boxes, and much more.
You can easily create and fill out legal forms with the help of the pdfFiller mobile app. Complete and sign form rer is used and other documents on your mobile device using the application. Visit pdfFiller’s webpage to learn more about the functionalities of the PDF editor.
Form RER is used for reporting specified foreign financial assets.
Individuals who meet the filing requirements for specified foreign financial assets must file Form RER.
Form RER should be filled out according to the instructions provided by the IRS, including providing information about the foreign financial assets.
The purpose of Form RER is to report specified foreign financial assets to the IRS.
Information about specified foreign financial assets must be reported on Form RER, including the type of asset, its value, and where it is held.
Fill out your form rer is used online with pdfFiller!

pdfFiller is an end-to-end solution for managing, creating, and editing documents and forms in the cloud. Save time and hassle by preparing your tax forms online.

Get started now
Form preview
If you believe that this page should be taken down, please follow our DMCA take down process here .
This form may include fields for payment information. Data entered in these fields is not covered by PCI DSS compliance.