Get the free Electronic Filing Instructions
Show details
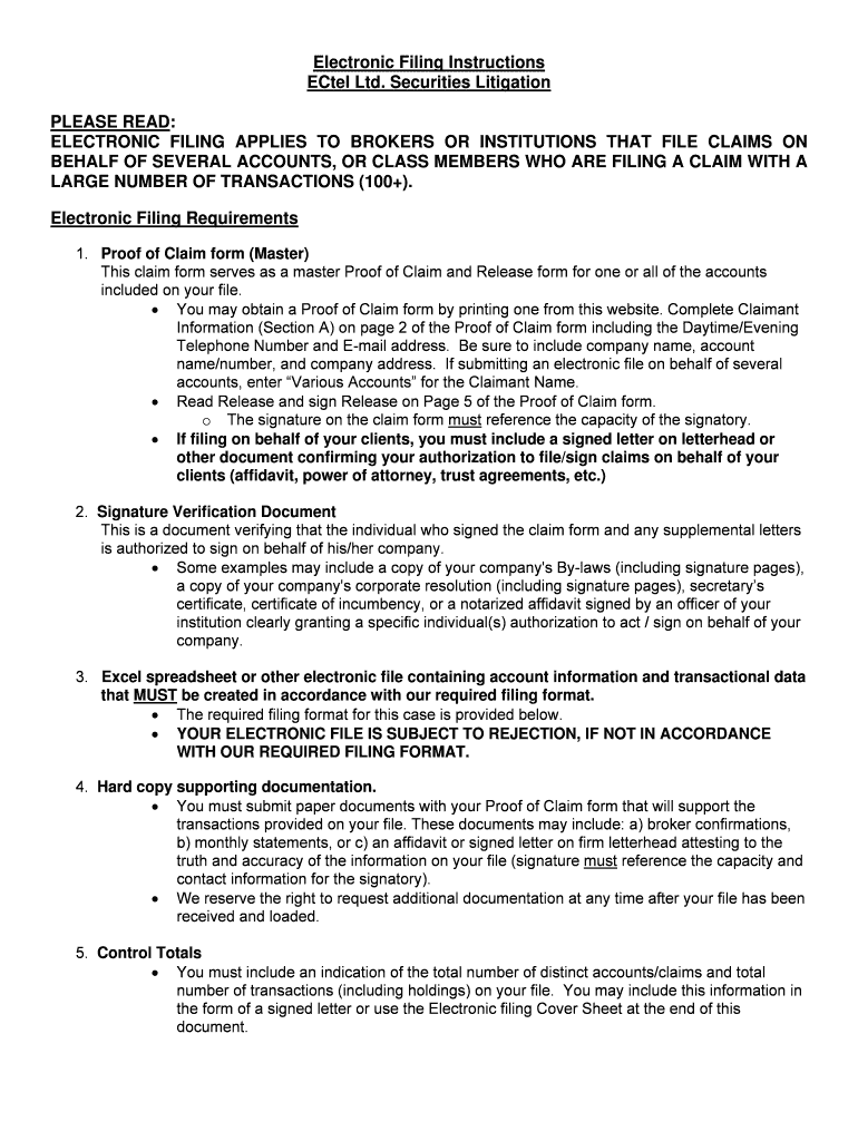
This document provides detailed electronic filing instructions for brokers or institutions filing claims on behalf of multiple accounts or class members with numerous transactions.
We are not affiliated with any brand or entity on this form
Get, Create, Make and Sign electronic filing instructions
Edit your electronic filing instructions form online
Type text, complete fillable fields, insert images, highlight or blackout data for discretion, add comments, and more.
Add your legally-binding signature
Draw or type your signature, upload a signature image, or capture it with your digital camera.
Share your form instantly
Email, fax, or share your electronic filing instructions form via URL. You can also download, print, or export forms to your preferred cloud storage service.
Editing electronic filing instructions online
Use the instructions below to start using our professional PDF editor:
1
Register the account. Begin by clicking Start Free Trial and create a profile if you are a new user.
2
Prepare a file. Use the Add New button to start a new project. Then, using your device, upload your file to the system by importing it from internal mail, the cloud, or adding its URL.
3
Edit electronic filing instructions. Rearrange and rotate pages, add and edit text, and use additional tools. To save changes and return to your Dashboard, click Done. The Documents tab allows you to merge, divide, lock, or unlock files.
4
Save your file. Select it from your list of records. Then, move your cursor to the right toolbar and choose one of the exporting options. You can save it in multiple formats, download it as a PDF, send it by email, or store it in the cloud, among other things.
pdfFiller makes working with documents easier than you could ever imagine. Register for an account and see for yourself!
Uncompromising security for your PDF editing and eSignature needs
Your private information is safe with pdfFiller. We employ end-to-end encryption, secure cloud storage, and advanced access control to protect your documents and maintain regulatory compliance.
How to fill out electronic filing instructions
How to fill out Electronic Filing Instructions
01
Gather all necessary documents and information required for electronic filing.
02
Visit the electronic filing website or platform designated for submissions.
03
Create or log into your user account.
04
Select the appropriate form or filing type you need to complete.
05
Fill out each section of the form with accurate details as specified in the instructions.
06
Review all information for accuracy and completeness.
07
Attach any required supporting documents in the specified format.
08
Submit the form electronically and save a copy of the confirmation receipt.
Who needs Electronic Filing Instructions?
01
Individuals filing their personal tax returns.
02
Businesses submitting tax filings or compliance documents.
03
Tax professionals assisting clients with electronic submissions.
04
Organizations that need to file reports with regulatory agencies electronically.
Fill
form
: Try Risk Free
People Also Ask about
Does the IRS require electronic filing?
As of tax year 2023, if you have 10 or more information returns, you must file them electronically. This includes Forms W-2, e-filed with the Social Security Administration. Find details on the final e-file regulations and requirements for Forms W-2.
How to make an electronic filing system?
How do you implement a computerized filing system? Decide who will have ownership of your filing system. Get organized. Use subfolders. Decide on a naming convention and stick to it. Integrate paper and electronic documents. Create a plan for file backup and data recovery. Train your team on how the filing system works.
What are the 5 basic filing systems?
Tips for Organizing Your Computer Filing System To make an efficient filing system, consider what files you need to organize. Choose a location, such as your desktop or Documents folder. Create folders to separate your files based on usage, type, importance, or other. Keep your files backed up regularly.
Who signs the ero signature?
The ERO prints Form 8879, the IRS e-file Signature Authorization, and the Practitioner or Self-Select PIN Consent to Disclosure form. The taxpayer/spouse needs to sign Form 8879 (IRS e-file Signature Authorization).
What are the 5 simple steps for filing taxes?
So, let's walk step by step through how to file taxes — with zero worry. Step 1: Check Whether You Need to File. First things first: Do you even have to file taxes? Step 2: Gather Your Tax Documents. Step 3: Pick a Filing Status. Step 4: Take Advantage of Deductions and Credits. Step 5: File Your Taxes.
Does the IRS have an electronic filing system?
Filing your return electronically is faster, safer, and more accurate than mailing your tax return because it's transmitted electronically to the IRS computer systems.
How to create a digital filing system?
How do you implement a computerized filing system? Decide who will have ownership of your filing system. Get organized. Use subfolders. Decide on a naming convention and stick to it. Integrate paper and electronic documents. Create a plan for file backup and data recovery. Train your team on how the filing system works.
For pdfFiller’s FAQs
Below is a list of the most common customer questions. If you can’t find an answer to your question, please don’t hesitate to reach out to us.
What is Electronic Filing Instructions?
Electronic Filing Instructions are guidelines provided to assist individuals or organizations in submitting their documents electronically to tax authorities or other regulatory bodies.
Who is required to file Electronic Filing Instructions?
Typically, businesses and individuals who are mandated by tax authorities to submit their tax forms electronically must file Electronic Filing Instructions.
How to fill out Electronic Filing Instructions?
To fill out Electronic Filing Instructions, one must carefully follow the provided guidelines, including entering accurate information, providing the necessary documentation, and ensuring compliance with the specific format required by the regulatory authority.
What is the purpose of Electronic Filing Instructions?
The purpose of Electronic Filing Instructions is to streamline the process of submitting documents electronically, reducing errors and improving efficiency in the filing process.
What information must be reported on Electronic Filing Instructions?
Information that must be reported typically includes taxpayer identification details, the type of forms being filed, financial data relevant to the filing, and any other required supplementary information specified by the regulatory authority.
Fill out your electronic filing instructions online with pdfFiller!
pdfFiller is an end-to-end solution for managing, creating, and editing documents and forms in the cloud. Save time and hassle by preparing your tax forms online.
Electronic Filing Instructions is not the form you're looking for?Search for another form here.
Relevant keywords
Related Forms
If you believe that this page should be taken down, please follow our DMCA take down process
here
.
This form may include fields for payment information. Data entered in these fields is not covered by PCI DSS compliance.