
Get the free Assurances - non-construction programs please do not bb - Grantsgov - apply07 grants
Show details
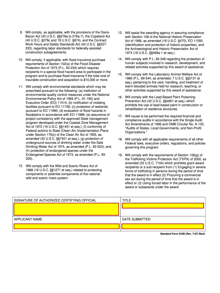
PLEASE DO NOT RETURN YOUR COMPLETED FORM TO THE OFFICE OF MANAGEMENT AND BUDGET. SEND. IT TO THE ... Act of 1970 (P.L. 91-616), as amended, relating to ... accepted accounting standards or agency
We are not affiliated with any brand or entity on this form
Get, Create, Make and Sign assurances - non-construction programs

Edit your assurances - non-construction programs form online
Type text, complete fillable fields, insert images, highlight or blackout data for discretion, add comments, and more.

Add your legally-binding signature
Draw or type your signature, upload a signature image, or capture it with your digital camera.

Share your form instantly
Email, fax, or share your assurances - non-construction programs form via URL. You can also download, print, or export forms to your preferred cloud storage service.
How to edit assurances - non-construction programs online
Follow the steps below to benefit from a competent PDF editor:
1
Log in. Click Start Free Trial and create a profile if necessary.
2
Prepare a file. Use the Add New button. Then upload your file to the system from your device, importing it from internal mail, the cloud, or by adding its URL.
3
Edit assurances - non-construction programs. Rearrange and rotate pages, add and edit text, and use additional tools. To save changes and return to your Dashboard, click Done. The Documents tab allows you to merge, divide, lock, or unlock files.
4
Save your file. Choose it from the list of records. Then, shift the pointer to the right toolbar and select one of the several exporting methods: save it in multiple formats, download it as a PDF, email it, or save it to the cloud.
pdfFiller makes working with documents easier than you could ever imagine. Create an account to find out for yourself how it works!
Uncompromising security for your PDF editing and eSignature needs
Your private information is safe with pdfFiller. We employ end-to-end encryption, secure cloud storage, and advanced access control to protect your documents and maintain regulatory compliance.
How to fill out assurances - non-construction programs

How to fill out assurances - non-construction programs:
01
Start by reading the instructions: Before you begin filling out assurances for non-construction programs, it is important to thoroughly read and understand the instructions provided. This will ensure that you provide the necessary and accurate information.
02
Gather all required documentation: To properly fill out assurances for non-construction programs, you will need certain supporting documents. These may include financial statements, tax returns, organizational charts, or other relevant paperwork. Make sure you have these documents handy before you begin the process.
03
Complete the required fields: The assurances form will typically have various fields that need to be completed. These may include general information about your organization, such as name, address, and contact details. Additionally, there may be specific questions about your program's objectives, budget, or previous accomplishments. Take your time and provide accurate information in each field.
04
Review and proofread: Once you have filled out all the required fields, it is essential to review and proofread your responses. Double-check for any errors or omissions that may have occurred during the process. It is important to ensure that all the information provided is correct and that there are no mistakes that could negatively impact your application.
05
Seek guidance if needed: If you are unsure about any aspect of filling out the assurances for non-construction programs, don't hesitate to seek guidance. Reach out to the program administrators or consult any provided resources or FAQs. It is better to clarify any doubts before submitting the form to avoid potential errors or delays.
Who needs assurances - non-construction programs?
Assurances for non-construction programs are required by various organizations or entities involved in funding or supporting such programs. Some common examples of those who need assurances for non-construction programs include:
01
Non-profit organizations: Non-profit organizations often rely on grants or funding from government agencies or private foundations to support their non-construction programs. As a part of the application process, they are required to provide assurances stating their commitment to complying with regulations, meeting program objectives, and ensuring proper use of funds.
02
Government agencies: Government agencies responsible for administering non-construction programs may require assurances from organizations that they fund. These assurances ensure that the funded organizations will adhere to the program guidelines, fiscal responsibility, and legal requirements.
03
Education institutions: Universities, colleges, and schools that receive funding for non-construction programs, such as research projects or educational initiatives, may need to provide assurances. By doing so, they assure the funding agencies or sponsors that they will use the funds appropriately and achieve the intended outcomes.
In summary, filling out assurances for non-construction programs involves carefully reading the instructions, gathering necessary documents, completing the required fields accurately, and reviewing the form before submission. These assurances are typically required by non-profit organizations, government agencies, and educational institutions involved in non-construction programs.
Fill
form
: Try Risk Free
For pdfFiller’s FAQs
Below is a list of the most common customer questions. If you can’t find an answer to your question, please don’t hesitate to reach out to us.
How can I send assurances - non-construction programs for eSignature?
Once your assurances - non-construction programs is ready, you can securely share it with recipients and collect eSignatures in a few clicks with pdfFiller. You can send a PDF by email, text message, fax, USPS mail, or notarize it online - right from your account. Create an account now and try it yourself.
Where do I find assurances - non-construction programs?
It's simple using pdfFiller, an online document management tool. Use our huge online form collection (over 25M fillable forms) to quickly discover the assurances - non-construction programs. Open it immediately and start altering it with sophisticated capabilities.
How can I fill out assurances - non-construction programs on an iOS device?
Download and install the pdfFiller iOS app. Then, launch the app and log in or create an account to have access to all of the editing tools of the solution. Upload your assurances - non-construction programs from your device or cloud storage to open it, or input the document URL. After filling out all of the essential areas in the document and eSigning it (if necessary), you may save it or share it with others.
What is assurances - non-construction programs?
Assurances - non-construction programs are commitments or promises made by an organization or individual to ensure compliance with certain requirements or standards in non-construction related programs.
Who is required to file assurances - non-construction programs?
Certain organizations or individuals receiving funding or participating in non-construction programs may be required to file assurances to guarantee compliance with program requirements.
How to fill out assurances - non-construction programs?
Assurances for non-construction programs can typically be filled out electronically or on paper, depending on the requirements of the program. It is important to carefully read and follow instructions provided.
What is the purpose of assurances - non-construction programs?
The purpose of assurances for non-construction programs is to ensure that recipients of funding or participants in programs meet specific requirements, standards, or commitments.
What information must be reported on assurances - non-construction programs?
Information reported on assurances for non-construction programs may include details about how funds will be used, compliance with regulations, organizational commitments, and other relevant information.
Fill out your assurances - non-construction programs online with pdfFiller!
pdfFiller is an end-to-end solution for managing, creating, and editing documents and forms in the cloud. Save time and hassle by preparing your tax forms online.

Assurances - Non-Construction Programs is not the form you're looking for?Search for another form here.
Relevant keywords
Related Forms
If you believe that this page should be taken down, please follow our DMCA take down process
here
.
This form may include fields for payment information. Data entered in these fields is not covered by PCI DSS compliance.