Get the free Marriage License Application - Lassen County, California - old lassencounty
Show details
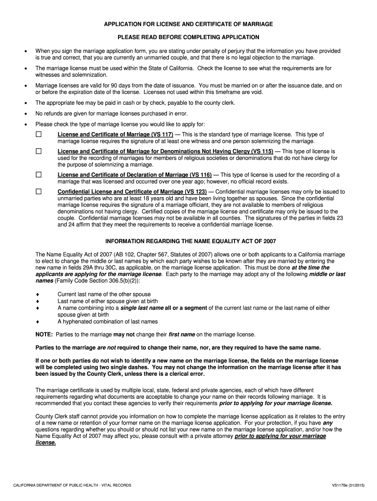
APPLICATION FOR LICENSE AND CERTIFICATE OF MARRIAGE PLEASE READ BEFORE COMPLETING APPLICATION When you sign the marriage application form, you are stating under penalty of perjury that the information
We are not affiliated with any brand or entity on this form
Get, Create, Make and Sign marriage license application
Edit your marriage license application form online
Type text, complete fillable fields, insert images, highlight or blackout data for discretion, add comments, and more.
Add your legally-binding signature
Draw or type your signature, upload a signature image, or capture it with your digital camera.
Share your form instantly
Email, fax, or share your marriage license application form via URL. You can also download, print, or export forms to your preferred cloud storage service.
How to edit marriage license application online
Use the instructions below to start using our professional PDF editor:
1
Register the account. Begin by clicking Start Free Trial and create a profile if you are a new user.
2
Simply add a document. Select Add New from your Dashboard and import a file into the system by uploading it from your device or importing it via the cloud, online, or internal mail. Then click Begin editing.
3
Edit marriage license application. Rearrange and rotate pages, add new and changed texts, add new objects, and use other useful tools. When you're done, click Done. You can use the Documents tab to merge, split, lock, or unlock your files.
4
Save your file. Select it from your list of records. Then, move your cursor to the right toolbar and choose one of the exporting options. You can save it in multiple formats, download it as a PDF, send it by email, or store it in the cloud, among other things.
With pdfFiller, it's always easy to work with documents. Try it out!
Uncompromising security for your PDF editing and eSignature needs
Your private information is safe with pdfFiller. We employ end-to-end encryption, secure cloud storage, and advanced access control to protect your documents and maintain regulatory compliance.
How to fill out marriage license application
How to Fill Out Marriage License Application:
01
Obtain the application form: Contact the local marriage bureau or county clerk's office to acquire the marriage license application form. In some cases, the form may be available online for download.
02
Provide personal information: Start by entering your personal details, including your full name, date of birth, current address, and contact information. You may also be required to provide identifying documents such as a valid ID or birth certificate.
03
Fill in additional details: The application form will typically ask for information about your future spouse. Enter their full name, date of birth, address, and contact details. Be prepared to provide information about any previous marriages or divorces if applicable.
04
Arrange for witnesses: Many jurisdictions require witnesses to be present during the marriage ceremony. Ensure that you understand the specific requirements regarding witness signatures on the application form and make arrangements accordingly.
05
Understand any legal requirements: Some jurisdictions may have additional legal requirements or specific rules for filling out a marriage license application. It is crucial to review and understand these guidelines to avoid any delays or issues.
Who Needs a Marriage License Application:
01
Couples planning to get married: Marriage license applications are necessary for individuals who are engaged and wish to legally marry their partner. It is a vital step in the process of legally recognizing a union.
02
Different-sex or same-sex couples: Marriage license applications are available for both different-sex and same-sex couples, as marriage equality is recognized in many countries and regions.
03
Individuals considering a civil partnership or domestic partnership: In some cases, individuals who are opting for a civil partnership or domestic partnership may also need to fill out a similar application form to have their relationship recognized by law.
Remember to always verify the specific requirements and procedures with your local marriage bureau or county clerk's office as they may vary depending on your jurisdiction.
Fill
form
: Try Risk Free
For pdfFiller’s FAQs
Below is a list of the most common customer questions. If you can’t find an answer to your question, please don’t hesitate to reach out to us.
How can I edit marriage license application on a smartphone?
The pdfFiller mobile applications for iOS and Android are the easiest way to edit documents on the go. You may get them from the Apple Store and Google Play. More info about the applications here. Install and log in to edit marriage license application.
How do I fill out the marriage license application form on my smartphone?
Use the pdfFiller mobile app to complete and sign marriage license application on your mobile device. Visit our web page (https://edit-pdf-ios-android.pdffiller.com/) to learn more about our mobile applications, the capabilities you’ll have access to, and the steps to take to get up and running.
How do I complete marriage license application on an Android device?
Use the pdfFiller app for Android to finish your marriage license application. The application lets you do all the things you need to do with documents, like add, edit, and remove text, sign, annotate, and more. There is nothing else you need except your smartphone and an internet connection to do this.
What is marriage license application?
Marriage license application is a legal document that must be completed by individuals who wish to get married.
Who is required to file marriage license application?
Both parties who intend to get married are required to file the marriage license application.
How to fill out marriage license application?
Marriage license application can be filled out at the local county clerk's office by providing personal information such as name, age, address, and proof of identification.
What is the purpose of marriage license application?
The purpose of marriage license application is to legally authorize and record the marriage between two individuals.
What information must be reported on marriage license application?
Information such as full names, dates of birth, current addresses, and social security numbers of both parties must be reported on the marriage license application.
Fill out your marriage license application online with pdfFiller!
pdfFiller is an end-to-end solution for managing, creating, and editing documents and forms in the cloud. Save time and hassle by preparing your tax forms online.
Marriage License Application is not the form you're looking for?Search for another form here.
Relevant keywords
Related Forms
If you believe that this page should be taken down, please follow our DMCA take down process
here
.
This form may include fields for payment information. Data entered in these fields is not covered by PCI DSS compliance.