
Get the free Online Flyers (Peachjar) - Newport Mesa Unified School District
Show details
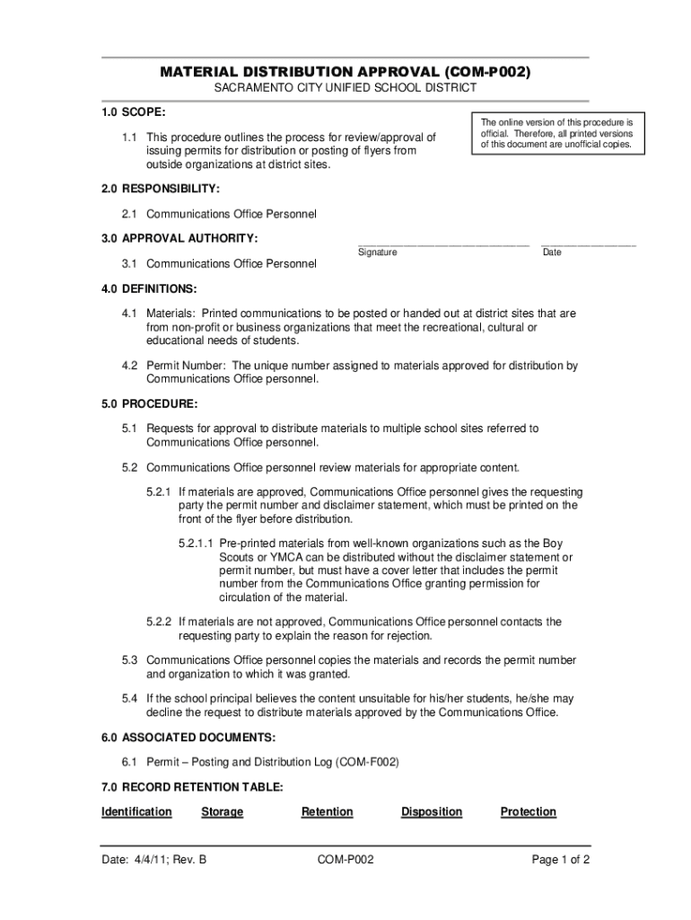
MATERIAL DISTRIBUTION APPROVAL (COMP002) SACRAMENTO CITY UNIFIED SCHOOL DISTRICT 1.0 SCOPE: 1.1 This procedure outlines the process for review/approval of issuing permits for distribution or posting
We are not affiliated with any brand or entity on this form
Get, Create, Make and Sign online flyers peachjar

Edit your online flyers peachjar form online
Type text, complete fillable fields, insert images, highlight or blackout data for discretion, add comments, and more.

Add your legally-binding signature
Draw or type your signature, upload a signature image, or capture it with your digital camera.

Share your form instantly
Email, fax, or share your online flyers peachjar form via URL. You can also download, print, or export forms to your preferred cloud storage service.
Editing online flyers peachjar online
Use the instructions below to start using our professional PDF editor:
1
Register the account. Begin by clicking Start Free Trial and create a profile if you are a new user.
2
Prepare a file. Use the Add New button. Then upload your file to the system from your device, importing it from internal mail, the cloud, or by adding its URL.
3
Edit online flyers peachjar. Add and change text, add new objects, move pages, add watermarks and page numbers, and more. Then click Done when you're done editing and go to the Documents tab to merge or split the file. If you want to lock or unlock the file, click the lock or unlock button.
4
Save your file. Select it from your list of records. Then, move your cursor to the right toolbar and choose one of the exporting options. You can save it in multiple formats, download it as a PDF, send it by email, or store it in the cloud, among other things.
With pdfFiller, it's always easy to work with documents.
Uncompromising security for your PDF editing and eSignature needs
Your private information is safe with pdfFiller. We employ end-to-end encryption, secure cloud storage, and advanced access control to protect your documents and maintain regulatory compliance.
How to fill out online flyers peachjar

How to fill out online flyers peachjar:
01
Visit the Peachjar website and create an account if you don't have one already.
02
Log in to your Peachjar account and navigate to the "Create" or "Upload Flyers" section.
03
Click on the "Create New Flyer" or "Upload New Flyer" button.
04
Fill out the required information for the flyer, such as the title, description, and contact information.
05
Use the provided templates or design your own flyer by uploading images and customizing the layout.
06
Make sure to include all necessary details and relevant information that you want to convey in the flyer.
07
Once you are satisfied with the design and content of your flyer, click on the "Save" or "Submit" button to finalize it.
08
Review the flyer and make any necessary edits before publishing it.
09
After reviewing and editing, choose the distribution lists or schools you want your flyer to be sent to.
10
Pay the necessary fees for flyer distribution, if applicable.
11
Submit your flyer for approval, and once approved, it will be sent out to the selected distribution lists or schools.
Who needs online flyers Peachjar:
01
Schools and educational institutions: Online flyers Peachjar is a useful tool for schools to distribute important information and announcements to students, parents, and staff members.
02
Non-profit organizations: Non-profit organizations can utilize online flyers Peachjar to spread awareness about their events, fundraisers, and initiatives to a wider audience.
03
Local businesses and service providers: By using online flyers Peachjar, local businesses and service providers can promote their products, services, and special offers to the community and target specific schools or districts.
Fill
form
: Try Risk Free
For pdfFiller’s FAQs
Below is a list of the most common customer questions. If you can’t find an answer to your question, please don’t hesitate to reach out to us.
Where do I find online flyers peachjar?
The premium subscription for pdfFiller provides you with access to an extensive library of fillable forms (over 25M fillable templates) that you can download, fill out, print, and sign. You won’t have any trouble finding state-specific online flyers peachjar and other forms in the library. Find the template you need and customize it using advanced editing functionalities.
How do I fill out online flyers peachjar using my mobile device?
The pdfFiller mobile app makes it simple to design and fill out legal paperwork. Complete and sign online flyers peachjar and other papers using the app. Visit pdfFiller's website to learn more about the PDF editor's features.
Can I edit online flyers peachjar on an iOS device?
Yes, you can. With the pdfFiller mobile app, you can instantly edit, share, and sign online flyers peachjar on your iOS device. Get it at the Apple Store and install it in seconds. The application is free, but you will have to create an account to purchase a subscription or activate a free trial.
What is online flyers peachjar?
Online flyers peachjar is a platform used to distribute digital flyers and announcements to parents and students in schools.
Who is required to file online flyers peachjar?
School administrators or authorized personnel are required to file online flyers peachjar for their respective schools.
How to fill out online flyers peachjar?
To fill out online flyers peachjar, one must create an account on the platform, upload their digital flyer, and select the recipients for distribution.
What is the purpose of online flyers peachjar?
The purpose of online flyers peachjar is to streamline the process of distributing information to parents and students in a digital format.
What information must be reported on online flyers peachjar?
Online flyers peachjar typically require information such as event details, contact information, and any relevant attachments or links.
Fill out your online flyers peachjar online with pdfFiller!
pdfFiller is an end-to-end solution for managing, creating, and editing documents and forms in the cloud. Save time and hassle by preparing your tax forms online.

Online Flyers Peachjar is not the form you're looking for?Search for another form here.
Relevant keywords
Related Forms
If you believe that this page should be taken down, please follow our DMCA take down process
here
.
This form may include fields for payment information. Data entered in these fields is not covered by PCI DSS compliance.